Age-related features of sensitization to chicken egg white in children with allergic diseases
- Authors: Snovskaya M.A.1, Semikina E.L.1, Makarova S.G.1, Ereshko O.A.1, Yasakov D.S.1, Galimova A.A.1
-
Affiliations:
- National Medical Research Center for Children’s Health
- Issue: Vol 19, No 4 (2022)
- Pages: 460-471
- Section: Original studies
- Submitted: 18.07.2022
- Accepted: 16.12.2022
- Published: 05.12.2022
- URL: https://rusalljournal.ru/raj/article/view/1565
- DOI: https://doi.org/10.36691/RJA1565
- ID: 1565
Cite item
Full Text
Abstract
BACKGROUND: International studies have shown that egg allergy is one of the main causes of IgE-mediated food allergies in children.
THIS STUDY AIMED TO analyze the frequency and rate of sensitization to white egg of Russian children, depending on the sex and age.
MATERIALS AND METHODS: Anti-egg white-specific IgE antibodies were measured in children with symptoms of food allergy, such as nausea, vomiting, stool disorder developing after eating, mucosal edema, upper respiratory tract edema, urticaria, and exacerbation of eczema (4981 patients aged 6 months to 18 years). The frequency and degree of sensitization in various age groups were analyzed.
RESULTS: In this study, 29.5% of the children had anti-egg white IgE antibodies. Low (31.6%, IgE=0.35–0.69 kU/L) and moderate (40.2%, IgE=0.70–3.5 kU/L) sensitizations were the most common. An extremely high level of anti-egg white antibodies (IgE >50.0 kU/L) was observed in 6.2% of the patients. In the first year of life, sensitization was detected in 39% of the cases. In older age groups, the frequency of positive responses decreased. compared with those in the younger groups. The dependence of sensitization frequencies on sex was found in children aged >12 years. Frequencies of egg sensitization in girls aged 12–14 and 14–18 were statistically significantly lower than those in boys of the same age. The dependence of the response severity on the patient’s age was also noted: a decrease in the frequency of highly positive responses and an increase in proportion of patients with medium or low IgE levels in the older group. The severity of the IgE response decreased by age 12 and 14 years in girls and boys, respectively.
CONCLUSION: The detection frequency of specific IgE antibodies to the extract of allergens of chicken egg white was the highest in children in the first year of life. These parameters decrease in older children; аfter the age of 12, the response severity and frequency were associated with the patient’s sex. The tendency of the number of patients with chicken egg white allergen-specific IgE antibodies and their quantitative level in adolescence to decrease may be evidence of the development of tolerance to this food product.
Full Text
ОБОСНОВАНИЕ
Пищевая аллергия к куриному яйцу ― одна из актуальных проблем детской аллергологии, которая, согласно результатам исследований по всему миру, является одной из основных причин IgE-опосредованной пищевой аллергии у детей [1, 2]. Изучение иммунного ответа на аллергены и установление профиля сенсибилизации могут быть полезным инструментом для выявления лиц, подверженных риску развития стойкой аллергии на яйца [3]. Представленные в исследовании HealthNuts сведения о распространённости сенсибилизации к различным аллергенам у детей первого года жизни демонстрируют высокую частоту пищевой аллергии у детей данного возраста [4]. По данным литературы, аллергия к куриному яйцу занимает второе место среди причин пищевой аллергии у детей раннего возраста после аллергии к белкам коровьего молока [5, 6]. Имеются также сообщения, что в последние десятилетия распространённость пищевой аллергии растёт, и заболевание наиболее часто встречается у детей, чем у взрослых пациентов. Наиболее значимым источником пищевых аллергенов являются арахис, орехи, рыба, моллюски, яйца, молоко, пшеница, соя [7].
Пищевая аллергия к яйцу является также одной из ведущих причин тяжёлых форм атопического дерматита, одним из триггеров анафилактических реакций: до 7–12% всех случаев анафилаксии у детей связаны с употреблением куриного яйца [8, 9]. Кроме того, сенсибилизация к аллергенам куриного яйца в раннем возрасте является предиктором последующего развития бронхиальной астмы [10, 11].
Для данного типа пищевой аллергии характерны спонтанное разрешение заболевания у пациентов и развитие толерантности на белок куриного яйца с возрастом [2]. Однако у части детей, не развивших толерантность, сохраняются выраженные клинические проявления аллергии во взрослом возрасте (рвота, боль в животе, диарея, крапивница), что значительно ухудшает качество их жизни, а также увеличивает риск жизнеугрожающих реакций [3]. Согласно данным многолетних проспективных исследований, латентная сенсибилизация (т.е. выявление в сыворотке крови пациента аллергенспецифических IgE при отсутствии клинических проявлений аллергии) во многих случаях предшествует развитию аллергического заболевания в последующей жизни [12, 13].
В настоящее время наличие пищевой аллергии устанавливается на основании анамнеза, клинической картины заболевания, данных специфического аллергологического обследования с пищевыми аллергенами, а также результатов провокационных проб и/или исчезновения симптомов при назначении элиминационной диеты [4, 7]. Важным методом диагностики IgE-опосредованной пищевой аллергии является in vitro-тестирование, наиболее актуальное при отсутствии чёткого указания на причинно-значимый фактор, множественной пищевой аллергии, невозможности применения элиминационной диеты или её ограниченной функциональности [3].
Цель исследования. Возрастная динамика IgE-ответа на различные пищевые продукты ранее была рассмотрена нами в отношении аллергенов злаков, овощей, мяса животных, и было показано, что уровень антител изотипа IgE к экстрактам аллергенов различных источников отличается у детей разных возрастов [14]. Однако в связи с отсутствием в литературе однозначных данных о распространённости и возрастных особенностях сенсибилизации к куриному яйцу у детей российской популяции целью данной работы стал анализ распространённости и степени сенсибилизации детей к белку куриного яйца в зависимости от пола и возраста пациентов.
МАТЕРИАЛЫ И МЕТОДЫ
Дизайн исследования
Нами проведено одноцентровое сравнительное ретроспективное исследование частоты выявления сенсибилизации к белку куриного яйца в когорте пациентов из России, имеющих пищевую аллергию. В исследование включены дети в возрасте от 6 месяцев до 18 лет, выбранные из регистра ФГАУ «НМИЦ здоровья детей» Минздрава России, которые имели симптомы пищевой аллергии, были консультированы аллергологом и направлены на определение в сыворотке крови уровня аллергенспецифических IgE к широкой панели аллергенов для выявления триггерного фактора.
Критерии соответствия
Критерии включения: наличие пищевой аллергии, подтверждённой в соответствии с принятыми стандартами диагностики; подписанное законными представителями пациента информированное согласие о проведении обследования.
Критерии исключения: наличие сопутствующего инфекционно-воспалительного процесса; отсутствие информированного согласия на проведение исследования.
Условия проведения
Исследование выполнено на базе ФГАУ «НМИЦ здоровья детей» Минздрава России (Москва).
Продолжительность исследования
Сбор и анализ полученных данных проводили с июля 2018 г. по март 2022 г.
Описание медицинского вмешательства
В ходе исследования осуществлён ретроспективный анализ данных; медицинского вмешательства не проводилось.
Основной исход исследования
Определена возрастная динамика IgE-ответа на экстракт аллергенов белка куриного яйца у детей с пищевой аллергией. Выделены возрастные диапазоны, в которых частота выявления положительных ответов не изменяется. Выделены группы пациентов, показавших наибольшую частоту и выраженность IgE-ответа на аллергены белка куриного яйца. Проведён анализ влияния возраста и пола пациентов на частоту положительных ответов и их выраженность.
Анализ в подгруппах
Пациенты, включённые в исследование (n=4981), были разделены на 9 групп в зависимости от возраста. Каждая возрастная группа была разделена на 2 группы по половому признаку.
В группах проведён описательный и сравнительный анализы по следующим параметрам: количество пациентов с положительным IgE-ответом на экстракт аллергенов белка куриного яйца; количество пациентов с низкой, умеренной, средней, высокой, очень высокой, предельно высокой концентрацией антител изотипа IgE.
Методы регистрации исходов
Нами проанализированы все амбулаторные карты пациентов с диагнозом пищевой аллергии, прошедших обследование и лечение в ФГАУ «НМИЦ здоровья детей». Иммунологическое обследование пациентов было проведено методом непрямой иммунофлуоресценции (анализатор Phadia250, Thermo Fisher Scientific, США) в соответствии с инструкцией производителя тест-системы. У всех пациентов был определён уровень иммуноглобулинов класса Е (IgE) к экстракту аллергенов белка куриного яйца. Результат тестирования считался положительным (уровень антител клинически значимым) при концентрации IgE ≥0,35 кЕ/л. В интерпретации полученных результатов использовалось также разделение их на классы сенсибилизации согласно данным производителя тест-системы. Так, при концентрации 0,01–0,34 кЕ/л уровень антител изотипа IgE считался диагностически незначимым (0-й класс); при концентрации антител, равной 0,35–0,69 кЕ/л, уровень антител соответствовал слабой сенсибилизации (I класс); при концентрации антител 0,70–3,49 кЕ/л сенсибилизация пациента считалась умеренной (II класс); концентрация антител 3,5–17,49 кЕ/л соответствовала среднему уровню сенсибилизации (III класс), 17,5–49,9 кЕ/л ― высокому уровню (IV класс), 50,0–99,90 кЕ/л ― очень высокому уровню (V класс), более 100 кЕ/л ― предельно высокому уровню сенсибилизации (VI класс).
Этическая экспертиза
На заседании локального независимого этического комитета ФГАУ «НМИЦ здоровья детей» принято консенсусное решение одобрить материалы статьи «Сенсибилизация к белку куриного яйца у детей с аллергической патологией в различные возрастные периоды» для публикации в «Российском аллергологическом журнале» (Протокол № 6 от 07.07.2022).
Статистический анализ
Описательный и сравнительный статистический анализ данных выполнен с помощью программного обеспечения IBM SPSS (США) и программы Microsoft Office Excel (США), результаты представлены в виде сводных таблиц и графиков. Сравнительный анализ количественных данных производили с использованием U-критерия Манна– Уитни. Критический уровень значимости при проверке статистических гипотез (p) в данном исследовании принимался равным 0,05.
РЕЗУЛЬТАТЫ
Объекты (участники) исследования
В исследование включены данные регистра 4981 пациента с симптомами пищевой аллергии, такими как тошнота, рвота, расстройство стула, развивающиеся после приёма пищи, отёки слизистых, отёки верхних дыхательных путей, крапивница, обострение экземы (2698 девочек, 2283 мальчиков). Распределение детей по возрастным группам и полу представлено в табл. 1.
Таблица 1. Сенсибилизация к белку куриного яйца у детей разных возрастов, имеющих клинические проявления пищевой аллергии
Table 1. Sensitization to white egg allergens in children of various ages with clinical manifestations of food allergies
Возраст, лет | Число детей, всего | Девочки, n | Мальчики, n | Выявленна сенсибилизация, n | Положительные ответы, n | Положительные ответы, % | |||
Девочки | Мальчики | Всего положительных ответов (вне зависимости от пола) | Положительные ответы в группе девочек | Положительные ответы в группе мальчиков | |||||
6–12 мес | 349 | 127 | 222 | 136 | 47 | 89 | 38,97 | 37,01 | 40,09 |
1–2 | 762 | 334 | 428 | 270 | 112 | 158 | 35,43 | 33,53 | 36,92 |
2–4 | 1343 | 609 | 734 | 466 | 197 | 269 | 34,70 | 32,35 | 36,65 |
4–6 | 913 | 417 | 496 | 283 | 126 | 157 | 31,00 | 30,22 | 31,65 |
6–8 | 582 | 286 | 296 | 133 | 61 | 72 | 22,85 | 21,33 | 24,32 |
8–10 | 371 | 185 | 186 | 75 | 39 | 36 | 20,22 | 21,08 | 19,35 |
10–12 | 261 | 122 | 139 | 50 | 24 | 26 | 19,16 | 19,67 | 18,71 |
12–14 | 171 | 85 | 86 | 27 | 10 | 18 | 16,37 | 11,76 | 20,93 |
14–18 | 229 | 118 | 111 | 29 | 11 | 18 | 12,66 | 9,32 | 16,22 |
Всего | 4981 | 2283 | 2698 | 1469 | 626 | 843 | - | - | - |
Основные результаты исследования
Аллергенспецифические IgE к экстракту аллергенов белка куриного яйца в клинически значимых уровнях выявлены у 1470 (29,5%) детей, из них у 843 (36,9%) мальчиков и 627 (23,2%) девочек.
Отмечено зависимое от возраста изменение частоты сенсибилизации. У пациентов первого года жизни выявлена наибольшая частота сенсибилизации ― 39%. У детей старших возрастных групп отмечено уменьшение частоты положительных ответов при тестировании. В группе детей в возрасте 1–2 и 2–4 лет положительный результат тестирования выявлен в 35,4 и 34,7% случаев, в группе детей 4–6 лет ― в 31,0%, в группах 6–8, 8–10 и 10–12 лет ― в 22,8, 20,2 и 19,2% соответственно, у детей 12–14 лет ― в 16,37%. Наименьшая частота выявления аллергенспецифических антител наблюдалась у детей старше 14 лет ― 12,7%. Результаты тестирования детей разных возрастов представлены в табл. 1.
Частота сенсибилизации к белку куриного яйца у детей первого года жизни была статистически значимо выше по сравнению с детьми старше 4 лет (критерий Манна–Уитни, р=0,007 для группы 4–6 лет и р=0,000 для всех групп детей старше 6 лет). Частота сенсибилизации у детей 1–2, 2–4 и 4–6 лет была статистически значимо выше по сравнению с детьми из групп старше 6 лет (критерий Манна–Уитни, р=0,001 для всех групп детей старше 6 лет). Статистически значимое различие в частоте сенсибилизации детей в возрасте 6–8 лет было выявлено в сравнении с группами 12–14 и 14–18 лет (критерий Манна–Уитни, р=0,047 и р=0,001 соответственно), а для детей 8–10 лет ― с детьми старше 14 лет (критерий Манна–Уитни, р=0,018). Выявлено также статистически значимое различие в частоте сенсибилизации к белку куриного яйца между детьми возрастных групп 10–12 и 14–18 лет (критерий Манна–Уитни, р=0,050). В то же время отсутствовала статистически значимая разница в частоте сенсибилизации детей 12–14 и 14–18 лет. Данные о значимости выявленных статистических различий приведены в табл. 2.
Таблица 2. Сравнение частоты позитивных IgE-ответов у детей разных возрастов
Table 2. Comparison of the frequencies of positive IgE-responses in children of different ages
Возраст, лет | Сравниваемые группы | р1 |
6–12 мес | Для всех групп младше 4 лет | >0,050 |
4–6 лет | 0,007 | |
Для всех групп старше 6 лет | 0,001 | |
1–2 | Для всех групп 6–12 мес, 2–4 лет | >0,050 |
4–6 лет | 0,050 | |
Для всех групп старше 6 лет | 0,001 | |
2–4 | Для всех групп младше 2 лет | >0,050 |
4–6 лет | >0,050 | |
Для всех групп старше 6 лет | 0,001 | |
4–6 | 6–12 мес | 0,007 |
1–2 года | 0,050 | |
2–4 года | >0,050 | |
Для всех групп старше 6 лет | 0,001 | |
6–8 | Для всех групп младше 6 лет | 0,001 |
Для всех групп 8–10 и 10–12 лет | >0,050 | |
12–14 лет | 0,047 | |
Дети старше 14 лет | 0,001 | |
8–10 | Для всех групп младше 6 лет | 0,001 |
6–8, 10–12 и 12–14 лет | >0,050 | |
Дети старше 14 лет | 0,018 | |
10–12 | Для всех групп младше 6 лет | 0,001 |
12–14 лет | >0,050 | |
Для всех групп старше 14 лет | 0,050 | |
12–14 | Для всех групп младше 6 лет | 0,001 |
6–8 лет | 0,047 | |
Для всех групп старше 8 лет | >0,050 | |
14–18 | Для всех групп младше 8 лет | 0,001 |
8–10 лет | 0,018 | |
10–12 лет | 0,050 | |
12–14 лет | >0,050 |
Примечание. 1 U-критерий Манна–Уитни. Полужирным шрифтом выделены статистически значимые показатели.
Note: 1 Mann–Whitney U test. Statistically significant indicators are highlighted in bold.
Динамику снижения частоты сенсибилизации иллюстрирует рис. 1.
Рис. 1. Возрастная динамика выявления клинически значимого уровня IgE-антител к экстракту аллергенов белка куриного яйца.
При сравнении IgE-ответа на экстракт аллергенов белка куриного яйца у девочек и мальчиков в каждой возрастной группе нами было выявлено, что частота сенсибилизации связана с полом у детей старших возрастных диапазонов. У девочек 12–14 и 14–18 лет частота выявления аллергенспецифических IgE была статистически значимо ниже, чем у мальчиков того же возраста: 11,8 и 9,3% у девочек, 20,9 и 16,2% у мальчиков 12–14 и 14–18 лет соответственно (критерий Манна–Уитни, р=0,001 для обеих групп). Выявленные различия показаны на рис. 2.
Рис. 2. Частота IgE-позитивного ответа на экстракт аллергенов белка куриного яйца в зависимости от пола пациента.
Статистически значимой разницы в частоте сенсибилизации девочек и мальчиков младших возрастных диапазонов (младше 12 лет) не выявлено. При общей динамике снижения количества положительных результатов с возрастом более выраженное снижение показано в группе девочек. Среди девочек первого года жизни, включённых в исследование, IgE к экстракту аллергенов белка куриного яйца выявлены в 37,0% случаев, в возрастном периоде 6–12 лет частота сенсибилизации снижалась до 19–21%, а в возрасте старше 12 лет антитела выявлены только у 11,76% пациентов.
У мальчиков первого года жизни исследованные IgE-антитела выявлены в 40,1% случаев, а к возрасту 4–6 лет это значение снижалось до 31,7%. В возрастном периоде 6–12 лет частота выявления сенсибилизации снизилась до 18–24%. В отличие от девочек, у мальчиков 12–14 и 14–18 лет частота сенсибилизации была в 1,5–2 раза выше. К 14–18 годам 16,2% мальчиков имели IgE к экстракту аллергенов белка куриного яйца.
Нами выделены возрастные диапазоны, в течение которых частота выявления сенсибилизации к белку куриного яйца существенно не изменялась: для девочек это первый год жизни, 1–6, 6–12 и старше 12 лет; для мальчиков ― первый год жизни, 1–6, 6–14 и старше 14 лет.
При анализе выраженности IgE-ответа на экстракт аллергенов белка куриного яйца среди обследованных пациентов нами показано, что наиболее часто встречался низкий (31,6% всех положительных результатов) и умеренный (40,2%) уровень сенсибилизации, при котором концентрация IgE не превышала значения 3,5 кЕ/л (I–II класс). У 15,8% обследованных детей выявлен средний уровень сенсибилизации (III класс), при котором концентрация IgE находится в диапазоне 3,5–17,49 кЕ/л, а у 6,2% детей ― IV класс сенсибилизации (высокий уровень, 17,5–49,9 кЕ/л), в то же время V и VI классы сенсибилизации (очень высокий и предельно высокий уровни, IgE >50,0 кЕ/л) встречались редко (у 3,3 и 2,9% детей соответственно).
Выраженность IgE-ответа зависела от возраста. У пациентов старшего возраста отмечено уменьшение частоты высокопозитивных результатов и увеличение доли пациентов со средним или низким уровнем аллергенспецифических IgE (позитивный ответ, не превышающий 3,5 кЕ/л). У детей старше 12 лет не наблюдались ответы, соответствующие предельно высокому уровню сенсибилизации (VI класс, IgE >100,0 кЕ/л), а у детей старше 14 лет уровень IgE не превышал 50,0 кЕ/л (V класс).
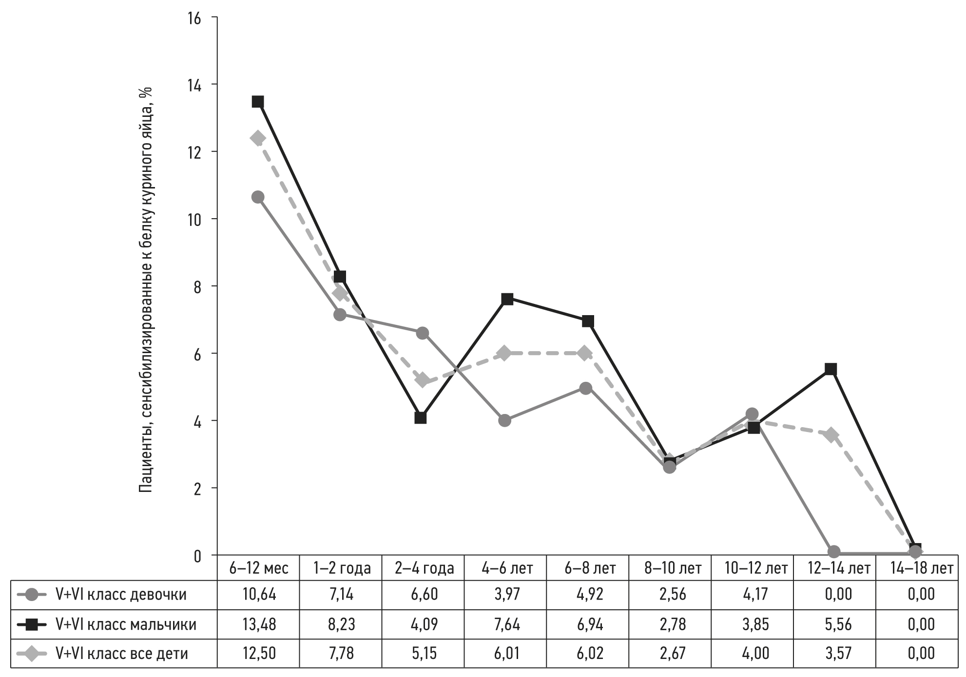
Отмечено также различие в степени сенсибилизации у девочек и мальчиков старших возрастных групп. Так, у девочек наблюдается постепенное снижение IgE-ответа к возрасту 12 лет, в то же время у мальчиков снижение выраженности IgE-ответа наблюдается после 14 лет. Данные представлены на рис. 3.
Рис. 3. Выраженность сенсибилизации к белку куриного яйца у детей разных возрастов: а ― девочки; b ― мальчики.
С нашей точки зрения, наибольший интерес вызывает выявление пациентов с максимальным уровнем сенсибилизации. Мы выделили в отдельную группу высокоположительные и предельно высокие результаты (V и VI классы), при которых IgE >50,0 кЕ/л. У детей первого года жизни и возраста 1–2 лет отмечена наибольшая частота высокопозитивных ответов в сравнении с другими возрастными группами (критерий Манна–Уитни, р=0,001 для сравниваемых групп). Наименьшая частота высокопозитивных ответов выявлена у детей старше 12 лет. Значимого различия частоты встречаемости высокопозитивного ответа у мальчиков и девочек не выявлено. Данные проиллюстрированы на рис. 4.
Рис. 4. Частота высокопозитивного IgE-ответа на экстракт аллергенов белка куриного яйца у детей разных возрастов (процент от общего количества позитивных ответов).
Таким образом, выявлено увеличение доли пациентов с низким и средним уровнем антител к куриному белку с 53,7 до 82,8% у детей к возрасту 14 лет при уменьшении доли высокосенсибилизированных пациентов.
ОБСУЖДЕНИЕ
При изучении IgE-ответа на экстракт аллергенов белка куриного яйца нами выявлено, что 29,5% детей, имеющих клинические симптомы аллергического заболевания (тошнота, рвота, расстройство стула, развивающиеся после приёма пищи; отёки слизистых, верхних дыхательных путей; крапивница; обострение экземы), сенсибилизированы к данному источнику аллергенов. Из литературных источников известно, что пищевая аллергия, обусловленная белками куриного яйца, является распространённым заболеванием. По данным различных исследователей, до 15% детей развивают клинические симптомы аллергии, обусловленные сенсибилизацией к куриному яйцу [1, 15, 16].
При анализе возрастных особенностей образования аллергенспецифических IgE нами отмечена высокая частота сенсибилизации у детей первых лет жизни. Эти результаты согласуются с данными, что симптомы аллергии могут появиться уже после первого употребления яиц в пищу, что связано с развитием сенсибилизации в процессе грудного вскармливания или внутриутробно [17]. В то же время нами отмечена отчётливая тенденция к уменьшению числа пациентов с позитивным ответом на куриное яйцо к подростковому возрасту. В ряде научных исследований, посвящённых изучению эволюции аллергии на яйца, показано, что большинство детей «перерастают» пищевую аллергию, но разрешение происходит постепенно, в течение многих лет [16]. В ряде работ высказывается мнение, что более поздние сроки развития толерантности к куриному яйцу отмечаются при сочетанной сенсибилизации к нескольким аллергенам, а также при наличии сопутствующих аллергических заболеваний, таких как бронхиальная астма, аллергический ринит [18, 19]. Таким образом, снижение частоты сенсибилизации к куриному яйцу у пациентов старших возрастных групп может быть свидетельством развития толерантности к данному пищевому продукту с возрастом.
Нами отмечено, что сенсибилизация к куриному белку не только различается у детей российской популяции в зависимости от возраста, но у детей старше 12 лет зависит также от пола пациента. У детей первого года жизни наблюдаются максимальная частота сенсибилизации и наибольшее число пациентов с максимальной степенью сенсибилизации. Эти результаты согласуются с данными работы P. Xepapadaki и соавт. [20], в которой показано, что аллергия к белкам куриного яйца чаще всего манифестирует в течение первых 2 лет жизни ребёнка.
Мы обнаружили, что с возрастом частота сенсибилизации к куриному белку значительно снижается: у девочек к 12 годам, у мальчиков ― к 14. До 12 лет частота сенсибилизации к куриному белку не зависит от пола, однако после 12 лет у девочек снижение частоты сенсибилизации значимо больше, чем у мальчиков.
Отмечены также возрастные диапазоны, в которых частота выявления позитивных ответов существенно не меняется: 1–6 и 6–12 лет для девочек, 1–6 и 6–14 лет для мальчиков. В возрастном диапазоне 1–6 лет процент детей с выявленными антителами одинаков независимо от пола и составляет 32,0±1,7% у девочек и 35,2±3,0% у мальчиков. Аналогичное наблюдение сделано для детей старшего возрастного диапазона: среди девочек 6–12 лет 20,9±0,9% сенсибилизированы к куриному белку, а среди мальчиков 6–14 лет ― 21,5±2,5%. Для девочек старше 12 лет частота выявления IgE к экстракту аллергенов белка куриного яйца снижается до 10,3±1,7%, у мальчиков старше 14 лет ― до 16,2%.
Нами установлено, что у большинства детей (71,8%) IgE-ответ соответствовал I–II классу сенсибилизации (IgE <3,5 кЕ/л). Мы провели поиск клинически значимого уровня IgE к экстракту аллергенов белка куриного яйца в доступных литературных источниках. Так, в работе T.T. Perry и соавт. [21] предложена граница 2 кЕ/л, при превышении которой сенсибилизация пациентов считается клинически значимой и ассоциирована с клиническими симптомами пищевой аллергии. В то же время в работе H.A. Sampson [22] сообщается о границе 6 кЕ/л для IgE к куриному белку, при которой получено 95% прогностическое значение параметра, т.е. пациенты с уровнем IgE >6,0 кЕ/л имеют клинически подтверждённую пищевую аллергию, обусловленную куриным яйцом. При этом в ряде других работ исследовался уровень IgE к куриному белку, при котором пациенты не развивали толерантность к данному аллергену с возрастом. Порог 50,0 кЕ/л расценивается рядом авторов не только как маркер клинически значимой аллергии, но и как один из предикторов персистирующего течения аллергии к куриному яйцу, т.е. невозможность развития толерантности с возрастом [19].
В нашем исследовании средняя частота предельно высоких значений IgE у детей была низкая (у 6,3% детей IgE >50,0 кЕ/л), при этом, рассматривая каждую возрастную группу в отдельности, мы обнаружили, что доля детей первого года жизни с высоким и предельно высоким уровнем аллергенспецифических IgE составила 12,5%. Таким образом, дети первого года жизни не только наиболее часто показывали позитивный IgE-ответ на аллергены белка куриного яйца, но также имели более высокие уровни антител изотипа IgE в сравнении с детьми других возрастных диапазонов. При этом дети старше 12 лет демонстрировали не только сниженную частоту позитивных ответов, но и меньшую степень сенсибилизации.
Опираясь на данные работ A. Urisu и соавт. [19], T.T. Perry и соавт. [21] и H.A. Sampson [22], а также результаты собственного исследования о преобладании низких и средних уровней антител изотипа IgE к экстракту аллергенов белка куриного яйца у обследованных детей, можно предположить, что количество детей, у которых с возрастом сохранится пищевая аллергия на куриное яйцо, относительно невелико. Более чем для 70% пациентов с позитивным ответом на белок куриного яйца сенсибилизация может быть клинически незначима, и только у 6% ожидается персистирующая пищевая аллергия (отсутствие толерантности с возрастом).
ЗАКЛЮЧЕНИЕ
Обнаруженная нами зависимость выраженности IgE-ответа от возраста, а для детей старше 12 лет ― также и от пола, может свидетельствовать об изменении течения заболевания у пациентов к пубертатному возрасту. У пациентов старших возрастных диапазонов значительно снижается доля высокопозитивного IgE-ответа, и возрастает доля пациентов со средним и низким уровнем сенсибилизации к белку куриного яйца. Мы полагаем, что в снижение выраженности IgE-ответа на аллергены белка куриного яйца существенный вклад вносят не только возрастные изменения, но и длительность периода элиминации аллергенного продукта. Полученные нами данные свидетельствуют о снижении лабораторных признаков сенсибилизации к куриному белку у детей с возрастом и позволяют предположить развитие толерантности к данному источнику аллергенов у большинства детей старше 12 лет.
ДОПОЛНИТЕЛЬНАЯ ИНФОРМАЦИЯ
Источник финансирования. Авторы заявляют об отсутствии внешнего финансирования при проведении исследования.
Конфликт интересов. Авторы декларируют отсутствие явных и потенциальных конфликтов интересов, связанных с публикацией настоящей статьи.
Вклад авторов. Все авторы подтверждают соответствие своего авторства международным критериям ICMJE (все авторы внесли существенный вклад в разработку концепции, проведение исследования и подготовку статьи, прочли и одобрили финальную версию перед публикацией). Наибольший вклад распределён следующим образом: М.А. Сновская, Е.Л. Семикина, С.Г. Макарова ― концепция и дизайн исследования; М.А. Сновская, О.А. Ерешко, Д.С. Ясаков, А.А. Галимова ― сбор материала; М.А. Сновская ― обработка материала, статистический анализ, написание текста рукописи; Е.Л. Семикина, С.Г. Макарова ― редактирование текста рукописи.
ADDITIONAL INFORMATION
Funding source. This publication was not supported by any external sources of funding.
Competing interests. The authors declare that they have no competing interests.
Authors’ contribution. All authors made a substantial contribution to the conception of the work, acquisition, analysis, interpretation of data for the work, drafting and revising the work, final approval of the version to be published and agree to be accountable for all aspects of the work. M.A. Snovskaya, E.L. Semikina, S.G. Makarova ― study concept and design; M.A. Snovskaya, O.A. Ereshko, D.S. Yasakov, A.A. Galimova ― data collection; M.A. Snovskaya ― data processing, statistical analysis, writing the text; E.L. Semikina, S.G. Makarova ― editing.
About the authors
Marina A. Snovskaya
National Medical Research Center for Children’s Health
Author for correspondence.
Email: snows@inbox.ru
ORCID iD: 0000-0002-5263-6743
SPIN-code: 9899-1095
MD, Cand. Sci. (Med.), Leading Research Associate
Россия, MoscowElena L. Semikina
National Medical Research Center for Children’s Health
Email: semikinaelena@yandex.ru
ORCID iD: 0000-0001-8923-4652
SPIN-code: 3647-4967
MD, Dr. Sci. (Med.)
Россия, MoscowSvetlana G. Makarova
National Medical Research Center for Children’s Health
Email: sm27@yandex.ru
ORCID iD: 0000-0002-3056-403X
SPIN-code: 2094-2840
MD, Dr. Sci. (Med.), Professor
Россия, MoscowOksana A. Ereshko
National Medical Research Center for Children’s Health
Email: ksenya2005@inbox.ru
ORCID iD: 0000-0002-1650-652X
SPIN-code: 3893-9946
MD, Cand. Sci. (Med.)
Россия, MoscowDmitry S. Yasakov
National Medical Research Center for Children’s Health
Email: dmyasakov@mail.ru
ORCID iD: 0000-0003-1330-2828
SPIN-code: 4715-0974
MD, Cand. Sci. (Med.)
Россия, MoscowAlbina A. Galimova
National Medical Research Center for Children’s Health
Email: albina86@yandex.ru
ORCID iD: 0000-0002-6701-3872
SPIN-code: 2960-6185
Россия, Moscow
References
- Wei-Liang Tan J, Valerio C, Barnes EH, et al. A randomized trial of egg introduction from 4 months of age in infants at risk for egg allergy. J Allergy Clin Immunol. 2017;139(5):1621–1628. doi: 10.1016/j.jaci.2016.08.035
- Savage JH, Matsui EC, Skripak JM, et al. The natural history of egg allergy. J Allergy Clin Immunol. 2007;120(6):1413–1417. doi: 10.1016/j.jaci.2007.09.040
- Dang TD, Peters RL, Koplin JJ, et al. Egg allergen specific IgE diversity predicts resolution of egg allergy in the population cohort Health Nuts. Allergy. 2019;74(2):318–326. doi: 10.1111/all.13572
- Peters RL, Koplin JJ, Gurrin LC, et al. The prevalence of food allergy and other allergic diseases in early childhood in a population-based study: HealthNuts age 4-year follow-up. J Allergy Clin Immunol. 2017;140(1):1451–1453. doi: 10.1016/j.jaci.2017.02.019
- Pampura AN, Varlamov EE, Konjukova NG. Food allergy in infants. Pediatriya. Zhurnal im. G.N. Speranskogo. 2016;95(3):152–157. (In Russ).
- Fedotova MM, Fedorova OS, Konovalova UV, et al. Hen’s egg allergy: an update. Bulletin of Siberian Medicine. 2018;17(2):156–166. (In Russ). doi: 10.20538/1682-0363-2018-2-156-166
- Sicherer SH, Sampson HA. Food allergy: A review and update on epidemiology, pathogenesis, diagnosis, prevention, and management. J Allergy Clin Immunol. 2018;141(1):41–58. doi: 10.1016/j.jaci.2017.11.003
- Fernandes RA, Regateiro F, Pereira C, et al. Anaphylaxis in a food allergy outpatient department: One-year review. Eur Ann Allergy Clin Immunol. 2018;50(2):81–88. doi: 10.23822/EurAnnACI.1764-1489.45
- Liew WK, Williamson E, Tang ML. Anaphylaxis fatalities and admissions in Australia. J Allergy Clin Immunol. 2009;123(2): 434–442. doi: 10.1016/j.jaci.2008.10.049
- Somanunt S, Chinratanapisit S, Pacharn P, et al. The natural history of atopic dermatitis and its association with atopic march. Asian Pac J Allergy Immunol. 2017;35(3):137–143. doi: 10.12932/AP0825
- Christiansen ES, Kjaer HF, Eller E, et al. Early-life sensitization to hen’s egg predicts asthma and rhinoconjunctivitis at 14 years of age. Pediatr Allergy Immunol. 2017;28(8):776–783. doi: 10.1111/pai.12815
- Anto JM, Pinart M, Akdis M, et al. Understanding the complexity of IgE-related phenotypes from childhood to young adulthood: Mechanisms of the Development of Allergy (MeDALL) seminar. J Allergy Clin Immunol. 2012:129(4):943−954. doi: 10.1016/j.jaci.2012.01.047
- Bousquet J, Gern JE, Martinez FD, et al. Birth cohorts in asthma and allergic diseases: Report of a NIAID/NHLBI/MeDALL joint workshop. J Allergy Clin Immunol. 2014;133(6):1535−1546. doi: 10.1016/j.jaci.2014.01.018
- Snovskaya MA, Namazova-Baranova LS, Semikina EL, et al. Age-specific epidemiology of the antibody response prevalence in children with food allergy. Annals of the Russian Academy of Medical Sciences. 2016;71(1):68–76. (In Russ). doi: 10.15690/vramn637
- Rona RJ, Keil T, Summers C, et al. The prevalence of food allergy: A meta-analysis. J Allergy Clin Immunol. 2007;120(3):638–646. doi: 10.1016/j.jaci.2007.05.026
- Anagnostou А. Optimizing patient care in egg allergy diagnosis and treatment. J Asthma Allergy. 2021;14:621–628. doi: 10.2147/JAA.S283307
- Vance GH, Lewis SA, Grimshaw KE, et al. Exposure of the fetus and infant to hens’ egg ovalbumin via the placenta and breast milk in relation to maternal intake of dietary egg. Clin Exp Allergy. 2005;35(10):1318–1326. doi: 10.1111/j.1365-2222.2005.02346.x
- Varlamov EE, Pampura AN, Okuneva TS. Prognostic indicators of the development of food tolerance in children with food allrgy. Russian Journal of Perinatology and Pediatrics. 2008;53(6):88–93. (In Russ).
- Urisu A, Kondo Y, Tsuge I. Hen’s egg allergy. Chem Immunol Allergy. 2015;101:124–130. doi: 10.1159/000375416
- Xepapadaki P, Fiocchi A, Grabenhenrich L, et al. Incidence and natural history of hen’s egg allergy in the first 2 years of life-the EuroPrevall birth cohort study. Allergy. 2016;71(3):350–357. doi: 10.1111/all.12801
- Perry TT, Matsui EC, Conover-Walker MK, et al. The relationship of allergen-specific IgE levels and oral food challenge outcome. J Allergy Clin Immunol. 2004;114(1):144–149. doi: 10.1016/j.jaci.2004.04.009
- Sampson HA. Utility of food-specific IgE concentrations in predicting symptomatic food allergy. J Allergy Clin Immunol. 2001; 107(5):891–896. doi: 10.1067/mai.2001.114708
Supplementary files






