Is Quifenadine an antihistamine of the first generation? Do we know everything…
- Authors: Sychev D.A.1, Nenasheva N.M.1, Sebekina O.V.1,2, Peredelskaya M.Y.1,2
-
Affiliations:
- Russian Medical Academy of Continuous Professional Education
- City Clinical Hospital No. 24
- Issue: Vol 20, No 2 (2023)
- Pages: 201-209
- Section: Reviews
- Submitted: 24.05.2023
- Accepted: 01.06.2023
- Published: 09.07.2023
- URL: https://rusalljournal.ru/raj/article/view/11546
- DOI: https://doi.org/10.36691/RJA11546
- ID: 11546
Cite item
Full Text
Abstract
Quifenadine was developed in the 1970s in the laboratory of M.D. Mashkovsky and is one of the first examples of the creation of a new class of non-sedative antihistamine with polyfunctional action that combines high selective activity to block histamine receptor type 1 and the ability to block serotonin action and increase tissue histaminase activity.
There is a large experience in the use of quifenadine (based on scientific clinical studies and real clinical practice). The total number of patients involved in the trials reached approximately 2000. The studies evaluated the quifenadipharmacokinetics, pharmacodynamics, clinical efficacy, and safety of the grug. The results of a clinical study of quiphenadine showed high therapeutic efficacy in a variety of allergic diseases (allergic rhinitis, atopy and atom-atopic dermatitis, chronic urticaria).
Quiphenadine meets the current requirements for antihistamines, however, the question remains open, which generation of drugs can be classified as quinuclidine, taking into account all its characteristics and clinical effects.
Full Text
ВВЕДЕНИЕ
Антигистаминные препараты (АГП) применяются при большинстве аллергических заболеваний. Многие представители данной группы относятся к безрецептурным лекарственным средствам, которые пациенты могут использовать не только по назначению врача, но и зачастую методом «самоназначения». АГП известны давно и являются достаточно хорошо изученной группой лекарственных препаратов. Гистамин ― один из первых описанных биогенных аминов, фармакологическое действие которого наиболее исследовано в медицине. В 1931 году Т. Watanabe и соавт. подтвердили его медиаторную роль в развитии анафилаксии. Гистамин образуется в различных типах клеток (начиная от тучных клеток до нейронов и хондроцитов) и опосредует своё действие через связывание с четырьмя типами рецепторов (Н1–Н4), принадлежащих G-белкам (рис. 1) [1].
Рис. 1. Обзор основных функций гистаминовых рецепторов (адаптировано из [1]). / Fig. 1. Overview of the main functions of histamine receptors (adapted from [1]).
В 1937 году был открыт рецептор к гистамину Н1, и тогда началось создание первых синтетических противогистаминных веществ (Daniel Bovet) [2, 3]. Впервые в эксперименте на животных было показано противогистаминное действие синтезированных соединений, что подготовило «почву» для дальнейшего рационального синтеза и испытания фармакологически активных веществ. В 1942 году появился первый противогистаминный препарат фенбензамин (Антерган), созданный французским учёным H. Halpern, затем ― пириламин малеат (Нео-Антерган), а с 1950 года положено начало широкому применению дифенгидрамина (Димедрол) [4]. История использования АГП насчитывает уже более 70 лет: за это время создано большое количество различных молекул, которые в настоящее время принято делить на два поколения. Условно все созданные и используемые лекарственные препараты делят на I и II поколение, каждое из которых обладает определёнными признаками и удовлетворяет ряду требований. Каждый из АГП имеет свои особенности действия и преимущества перед другими препаратами своей группы, что позволяет выбирать препараты при различных клинических ситуациях.
Деление АГП на два поколения основано, помимо хронологического принципа, на наличии или отсутствии седативного эффекта, в связи чем предлагается делить препараты на седативные и неседативные [5]. Оба поколения АГП активно используются в современной клинической практике, каждый из них имеет определённое место и показания для применения. Антигистаминное действие, которое оказывают эти препараты, не является единственным. На основании экспериментов in vitro и на животных было показано наличие дополнительных фармакологических свойств. Большинство препаратов I поколения обладает антихолинергическим, седативным, местноанестезирующим и анти-5-HT действием. Такие препараты могут благоприятно влиять на симптомы аллергического ответа, но также способствуют появлению побочных эффектов. Эти дополнительные свойства неравномерно распределены среди АГП. У препаратов II поколения также задокументированы действия, не связанные с основным антигистаминным эффектом. Азатадин, например, ингибирует in vitro IgE-опосредованное высвобождение гистамина и лейкотриена из тучных клеток и базофилов. В человеческих моделях терфенадин, азатадин и лоратадин снижают IgE-опосредованное высвобождение гистамина. Цетиризин уменьшает эозинофильную инфильтрацию в месте воздействия антигена ― в коже и в меньшей степени в слизистой оболочке полости носа [6]. Препарат хифенадин, помимо основного действия на гистаминовые рецепторы, обладает эффектом блокирования серотониновых рецепторов и способностью к активации диаминоксидазы ― фермента, разрушающего гистамин [7]. Знание и понимание этих дополнительных свойств во многом помогают подбору АГП в зависимости от основных и дополнительных целей терапии.
ХИФЕНАДИН: ИСТОРИЯ СОЗДАНИЯ И МЕХАНИЗМ ДЕЙСТВИЯ
Препарат хифенадин был создан в конце 1970-х годов в лаборатории М.Д. Машковского. В настоящее время это ОАО «Центр по химии лекарственных средств» ― старейшая в России ведущая научно-исследовательская организация по созданию, доклиническому исследованию и внедрению в производство высокоэффективных синтетических лекарственных средств. В этой лаборатории было создано более 70 оригинальных препаратов и воспроизведено более 170 лекарственных средств (дженериков)1.
Хифенадин является производным хинуклидина. Хинуклидиновые производные уменьшают содержание гистамина в тканях путём ускорения его разрушения диаминоксидазой (гистаминазой), которая расщепляет до 30% эндогенного гистамина, уменьшая его содержание в тканях и создавая у пациентов дополнительную противоаллергическую активность [8]. Хифенадин быстро абсорбируется из желудочно-кишечного тракта (45% за 30 минут), сразу же проникает в ткани и достигает максимальной концентрации через час. Обладает низкой липофильностью, в связи с чем плохо проникает через гематоэнцефалический барьер (концентрация в головном мозге самая низкая ― 0,05%, что объясняет отсутствие угнетающего влияния на центральную нервную систему)2. Хифенадин метаболизируется в печени, метаболиты выводятся почками и кишечником, из кишечника выводится неабсорбированная часть препарата. Самое высокое содержание активного вещества определяется в печени и несколько меньше ― в лёгких и почках3.
Как АГП, хифенадин высокоэффективен в отношении основных проявлений действия гистамина при аллергической реакции. Помимо прямого действия, у хифенадина есть уникальное свойство ― активация диаминоксидазы (гистаминазы), фермента, инактивирующего гистамин, за счёт чего усиливается скорость снижения гистамина в тканях и достигается выраженный противоаллергический эффект. Кроме того, важным действием хифенадина является блокада серотониновых рецепторов. Как известно, серотонин играет свою роль в механизме развития аллергического ответа и, в частности, зуда. Так, например, в крысиных моделях было показано, что внутрикожное введение серотонина в морду животного вызывает расчёсывание [9]. Серотонин (и его рецепторы) является важным нейротрансмиттером в центральной нервной системе, но также может высвобождаться тучными клетками независимо от гистамина. При нанесении на кожу человека или мыши в высоких дозах 5-HT (серотонин) вызывает как боль, так и зуд, тогда как более низкие дозы 5-HT (100 мкМ) вызывают только зуд. Серотонин играет свою роль в развитии кожного зуда при атопическом дерматите [10].
Интересным и важным дополнительным свойством хифенадина является его противоаритмическая активность. Так, в исследовании, опубликованном в Американском терапевтическом журнале (American Journal of Therapeutics), было показано противоаритмическое действие препарата. Проведено рандомизированное контролируемое исследование по безопасности и эффективности хифенадина по сравнению с амиодароном в отношении сердечного ритма у детей с частыми преждевременными сокращениями. В исследовании участвовали 104 пациента с желудочковыми (n=65), суправентрикулярными (n=39) экстрасистолами, которые были случайным образом распределены в соотношении 1:1 в группу хифенадина (n=54) или амиодарона (n=50). Хифенадин оказался более эффективным в отношении суправентрикулярных экстрасистол, чем желудочковых [11].
Примечательно, что монотерапия классическими антиаритмическими препаратами вызывает развитие нежелательных явлений в 40% случаев. В исследовании О.Н. Солдатовой и соавт. [12] было показано, что при комбинированном использовании хифенадина и антиаритмиков частота нежелательных явлений была всего 10%.
Интересное свойство хифенадина было продемонстрировано в исследовании S.R. Ismailov [13], в котором изучалось влияние препарата на активность пищеварительных ферментов поджелудочной железы у белых крыс с индуцированной пищевой анафилаксией, на фоне которой происходят значительные изменения активности пищеварительных ферментов (комплекс протеаз, липаз и альфа-амилаз), приводящие к нарушениям расщепления и усвоения белков, жиров и углеводов. Хифенадин уменьшал негативные изменения в системе секреции пищеварительных ферментов поджелудочной железы.
Влияние антигистаминных препаратов на сон
Важным аспектом в использовании АГП является уровень седативного эффекта, на основе чего предложена их классификация.
Хифенадин является уникальным лекарственным средством, который традиционно относят к I поколению АГП, однако его седативный эффект в исследовании M. Bukovskis и соавт. был сопоставим с плацебо [14]. В работе, кроме хифенадина, с плацебо сравнивались седативные эффекты левоцетиризина, клемастина, сехифенадина и дезлоратадина. Седативный эффект оценивался с помощью Стэндфордской шкалы сонливости (Stanford Sleepiness Scale, SSS); рис. 2.
Рис. 2. Уровень седативного эффекта антигистаминных препаратов по Стенфордской шкале сна (адаптировано из [14]). / Fig. 2. The level of sedative effect of antihistamines according to the Stanford Sleepiness Scale (adapted from [14]).
В клинических исследованиях, проведённых у больных аллергическим ринитом и хронической рецидивирующей крапивницей, было показано, что хифенадин благодаря своей низкой липофильности плохо проникает через гематоэнцефалический барьер и не вызывает выраженного седативного действия [15, 16].
Несмотря на то, что седативный эффект хифенадина сопоставим с плацебо, его исторически относят к I поколению АГП. По мнению Л.В. Лусс [17], это произошло в связи с тем, что во время создания хинуклидинов классификация АГП ещё отсутствовала. Хифенадин ― один из первых примеров создания неседативных АГП.
Клиническая эффективность
За историю существования хифенадина накоплен большой опыт применения препарата как в условиях реальной клинической практики, так и по данным научных клинических исследований. Общее число пациентов, участвовавших в исследованиях по хифенадину, составило около 2000 человек. В исследованиях были оценены фармакокинетика, фармакодинамика, клиническая эффективность, безопасность препарата и его нежелательные эффекты. Результаты клинического изучения хифенадина показали высокую терапевтическую эффективность препарата при различных аллергических заболеваниях (аллергический ринит, атопический дерматит, хроническая крапивница) [18].
Ключевым симптомом, существенно влияющим на качество жизни больных аллергическим ринитом, атопическим дерматитом и крапивницей, является зуд. Противозудная активность хифенадина показана во многих исследованиях. Так, например, в исследовании Э.Б. Белан [18] на когорте пациентов с хронической крапивницей выявлено достоверное уменьшение выраженности зуда. Оценка проводилась по 10-балльной шкале, и было показано, что к 10-му дню лечения интенсивность зуда уменьшилась с 7 баллов в первый день до 0,7 балла. Хифенадин показал свою противозудную эффективность не только у пациентов с крапивницей, при которой основным медиатором является гистамин, но и у пациентов с атопическим дерматитом. В исследовании Е.В. Орлова и соавт. [4], в котором изучалась клиническая эффективность и безопасность антигистаминных производных хинуклидина у пациентов с острыми и хроническими неинфекционными дерматозами, сопровождаемыми кожным зудом (в том числе атопическим дерматитом), были получены данные о быстром и выраженном клиническом эффекте (противозудный, противоаллергический, противовоспалительный). Отмечена также хорошая переносимость препарата. При приёме хифенадина интенсивность зуда на 7-й день лечения снизилась на 69,7% (с 7,1±0,06 до 2,15±0,08), оценка проводилась по 10-балльной шкале зуда [4]. Аналогичные результаты были получены при назначении этого препарата взрослым пациентам с аллергическими заболеваниями кожи (атопический дерматит и хроническая крапивница): по данным Е.С. Феденко [19], «отличный» и «хороший» эффект отмечен уже через 30 дней приёма препарата.
Согласно исследованию Л.А. Яшиной и соавт. [20], при включении хифенадина в терапию аллергического ринита (100 мг/сут, 10 дней) состояние больных улучшалось уже через 24 часа и было максимально выраженным к 10-м суткам. Положительная динамика коррелировала с улучшением показателей риноманометрии и снижением количества эозинофилов в назальном секрете.
Особенности фармакокинетики
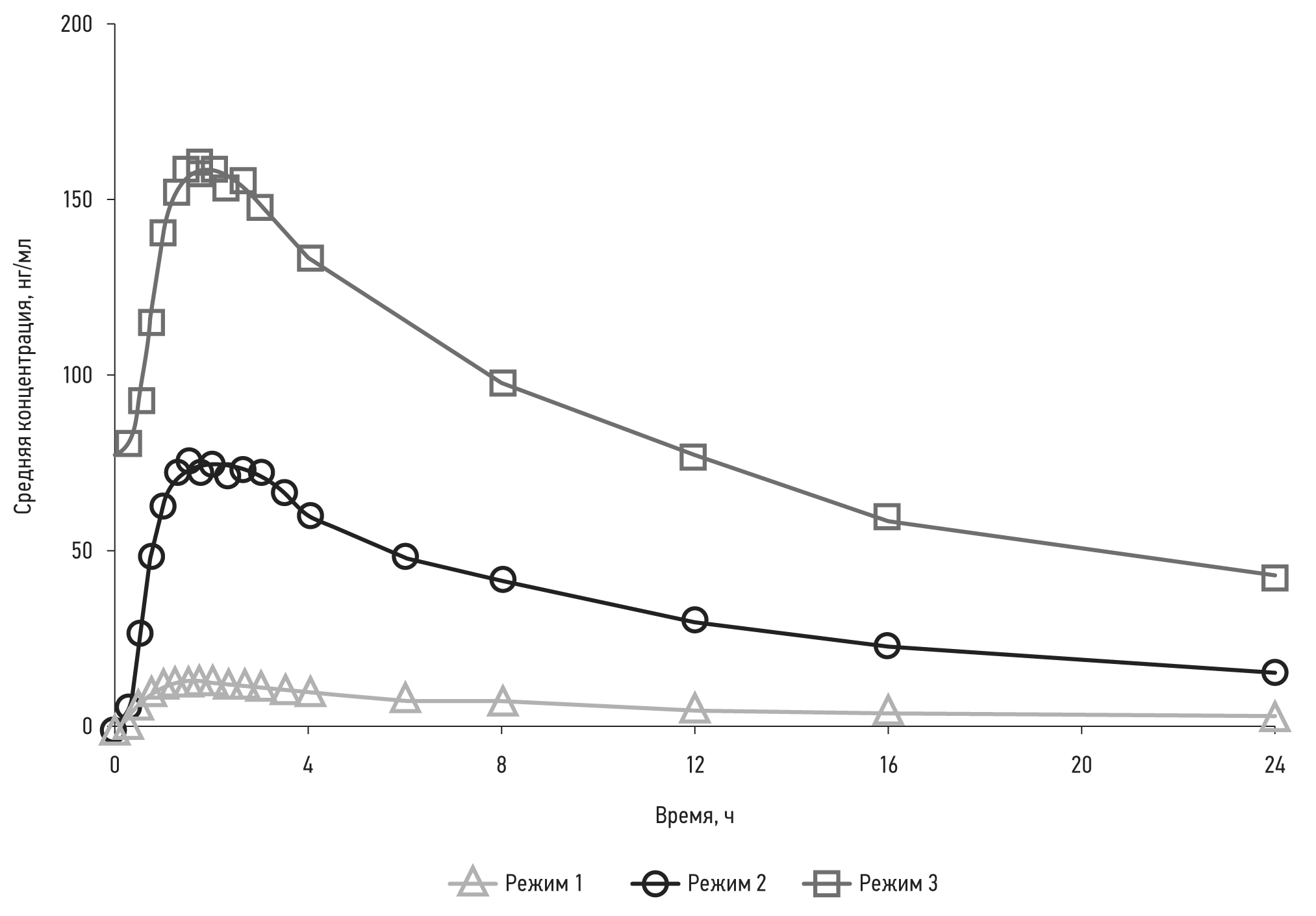
Одним из требований, предъявляемых в настоящее время к АГП, является длительность (не менее 24 часов) «блокады» гистаминовых рецепторов. В проведённом в 2021 году исследовании I фазы оценивалась фармакокинетика хифенадина при условии приёма пищи пациентами. По результатам исследования было показано, что хифенадин (Фенкарол) в форме таблеток дозировкой 10 мг и 50 мг хорошо переносился здоровыми добровольцами. Профили зависимости концентрации в плазме от времени имеют практически одинаковую форму вариантов приёма препарата. Большинство зависимостей концентрации в плазме крови от времени имеют один основной пик, за которым следует экспоненциальное снижение (рис. 3).
Рис. 3. Средняя концентрация хифенадина (Фенкарол) в различных режимах приёма: режим 1 ― однократный пероральный приём дозы 10 мг; режим 2 ― однократный пероральный приём дозы 50 мг; режим 3 ― пероральный приём одной таблетки 50 мг с 200 мл воды при условии приёма внутрь 2 раза в день в течение 4 дней (приём препарата продолжался до утра пятого дня, всего 9 доз). Адаптировано из [21]. / Fig. 3. The average concentration of the drug in different modes of taking the drug. Mode 1 ― a single oral dose of 10 mg of hifenadine (Fencarol); mode 2 ― a single oral dose of hifenadine (Fencarol) at a dose of 50 mg; mode 3 ― oral intake of one tablet of 50 mg with 200 ml of water, provided ingestion twice a day for four days (Taking the drug lasted until the morning of the fifth day, 9 doses in total). Adapted from [21].
Оценка проб плазмы крови до приёма лекарства и после режима многократного приёма показала достижение устойчивой концентрации до введения 7-й дозы. В исследовании режима однократного приёма препарата (в дозе 10 мг и 50 мг) было показано, что максимальная концентрация хифенадина в плазме крови достигается через 1,75 часа (медиана 0,75–2,67 ч) после однократного приёма 10 мг и через 1,50 часа (медиана 0,75–3,50 ч) после однократного приёма 50 мг. Интенсивность экспозиции описывается в терминах Cmax и достигает 15,33 нг/мл и 90,79 нг/мл после приёма хифенадина в дозе 10 мг и 50 мг соответственно. Объём экспозиции, определённый с использованием AUC(0-t), составляет 235,55 ч•нг/мл и 1273,27 ч•нг/мл после приёма хифенадина в дозе 10 мг и 50 мг соответственно. Оценки параметров фармакокинетики с нормализацией дозы указывают на нелинейную закономерность, т.е. клиренс хифенадина не является постоянным и изменяется с дозой. Профили концентрации–времени для обоих уровней дозы (10 мг и 50 мг) следуют экспоненциальному спаду с терминальным периодом полувыведения 20,76 и 20,03 часов для доз 10 мг и 50 мг соответственно. Среднее время пребывания хифенадина после приёма дозы 10 мг и 50 мг составляет соответственно 21,32 и 19,66 часов.
Из исследования многократного приёма дозы показано, что после достижения устойчивой концентрации максимальная концентрация хифенадина в плазме крови достигается через 1,75 часа (медиана 1,00–3,00 ч). Объём экспозиции (AUC(0-τ)) составляет 1363,02 ч•нг/мл, что в 2,3 раза выше AUC(0–12 ч) после однократного приёма дозы 50 мг. Интенсивность экспозиции (Cmax, ss) достигает уровня 172,13 нг/мл, что в 1,9 раза выше уровня Cmax после однократного приёма дозы 50 мг. Профили концентрации–времени в установившемся состоянии следуют экспоненциальному спаду с терминальным периодом полувыведения 24,43 часа. Среднее время пребывания препарата в устойчивой концентрации оценивается как 23,81 часа.
Таким образом, при соблюдении пациентом режима дозирования концентрация препарата, а значит, и терапевтический эффект будут сохраняться в течение суток, что особенно важно в аспекте терапии пациентов с хроническими аллергическими заболеваниями, когда эффект от терапии должен сохраняться максимально длительное время. При среднем времени пребывания препарата в устойчивой концентрации равном 24 часам отсутствует необходимость дополнительного приёма препарата и поддержания его терапевтического эффекта в течение суток [21].
По данным многочисленных исследований, у хифенадина не наблюдалось снижения терапевтической эффективности при длительном применении. В своих исследованиях Е.В. Орлов и соавт. [4] в периоде 3–4-недельной терапии не зарегистрировали тахифилаксии, Е.С. Феденко в течение 30-дневного периода лечения также не отметила данного побочного эффекта [19].
ЗАКЛЮЧЕНИЕ
Таким образом, хифенадин является уникальным АГП, который обладает широким спектром противовоспалительной и противоаллергической активности. Он эффективно действует на гистаминовые рецепторы, переводя их в неактивное состояние, активирует гистаминазу и обладает антисеротониновой активностью, при этом практически не вызывает сонливости и не развивает феномена тахифилаксии. В отличие от других АГП, производное хинуклидина обладает антиаритмическим действием. Важной характеристикой препарата, продемонстрированной в недавнем исследовании фармакокинетики, являются быстрое достижение устойчивой концентрации в плазме крови (в среднем через 1,75 часа) и, что ещё более значимо, длительное среднее время пребывания препарата в устойчивой концентрации (24 часа), т.е. среднее время пребывания препарата в плазме и, соответственно, его лечебное воздействие сохраняется в течение суток.
Хифенадин обладает высокой терапевтической эффективностью при лечении аллергических заболеваний, в том числе аллергического ринита, атопического дерматита, крапивницы. Учитывая быстрое достижение максимальной концентрации в плазме крови, препарат может быть использован для купирования острых симптомов заболевания (например, при крапивнице, укусах и ужалениях насекомых, кожных реакциях, лекарственной гиперчувствительности).
Препарат характеризуется хорошей переносимостью, отсутствием побочных эффектов, характерных для АГП I поколения (сонливость, сухость во рту) и высоким профилем безопасности, а его седативный эффект, что особенно важно, сопоставим с плацебо. Помимо этого, хифенадин доступен для парентерального введения. Это единственный препарат, не обладающий седативным эффектом, который доступен в инъекционной форме для пациентов старше 18 лет. Согласно инструкции, хифенадин (Фенкарол) в таблетированной форме можно использовать у детей с трёхлетнего возраста, а также у пожилых пациентов. Таким образом, хифенадин может быть рекомендован к применению в широкой лечебной практике (как в стационарных, так и амбулаторных условиях).
ДОПОЛНИТЕЛЬНАЯ ИНФОРМАЦИЯ
Источник финансирования. Авторы заявляют об отсутствии внешнего финансирования при проведении поисково-аналитической работы.
Конфликт интересов. Авторы декларируют отсутствие явных и потенциальных конфликтов интересов, связанных с публикацией настоящей статьи.
Вклад авторов. Все авторы подтверждают соответствие своего авторства международным критериям ICMJE (все авторы внесли существенный вклад в разработку концепции, проведение работы и подготовку статьи, прочли и одобрили финальную версию перед публикацией). Наибольший вклад распределён следующим образом: Д.А. Сычев ― формирование идеи, формулировка или развитие ключевых целей и задач, утверждение окончательного варианта статьи; Н.Н. Ненашева ― формирование идеи, формулировка или развитие ключевых целей и задач, критический пересмотр интеллектуального содержания с внесением ценного замечания, утверждение окончательного варианта статьи; М.Ю. Передельская, О.В. Себекина ― составление черновика рукописи или его критический пересмотр с внесением ценного замечания, написание текста статьи.
ADDITIONAL INFORMATION
Funding source. This article was not supported by any external sources of funding.
Competing interests. The authors declare that they have no competing interests.
Authors’ contribution. All authors made a substantial contribution to the conception of the work, acquisition, analysis, interpretation of data for the work, drafting and revising the work, final approval of the version to be published and agree to be accountable for all aspects of the work. D.A. Sychev ― idea formation, formulation or development of key goals and objectives, approval of the final version of the article; N.N. Nenasheva ― idea formation, formulation or development of key goals and objectives, critical revision with valuable comments, intellectual content approval of the final version of the article; M.Yu. Peredelskaya, O.V. Sebekina ― drafting of the manuscript or its critical revision with the introduction of a valuable remark of intellectual content, writing a text.
1 ru.wikipedia.org/wiki/ [интернет]. Центр по химии лекарственных средств. Материал из Википедии — свободной энциклопедии. Режим доступа: https://ru.wikipedia.org/wiki/Центр_по_химии_лекарственных_средств.
2 grls.minzdrav.gov.ru/ [интернет]. Государственный реестр лекарственных средств. Официальная инструкция к препарату Фенкарол. Режим доступа: rosminzdrav.ru.
3 Там же.
About the authors
Dmitry A. Sychev
Russian Medical Academy of Continuous Professional Education
Email: sychevda@rmapo.ru
ORCID iD: 0000-0002-4496-3680
SPIN-code: 4525-7556
Scopus Author ID: 7801389135
MD, Dr. Sci. (Med.), Professor, Academician of the Russian Academy of Sciences
Россия, 2/1 Barrikadnaya street, 125993 MoscowNatalia M. Nenasheva
Russian Medical Academy of Continuous Professional Education
Email: 1444031@gmail.com
ORCID iD: 0000-0002-3162-2510
SPIN-code: 3363-6170
MD, Dr. Sci. (Med.), Professor
Россия, 2/1 Barrikadnaya street, 125993 MoscowOksana V. Sebekina
Russian Medical Academy of Continuous Professional Education; City Clinical Hospital No. 24
Email: Sebekin1@mail.ru
ORCID iD: 0000-0002-3508-9602
SPIN-code: 2922-9398
Scopus Author ID: 6503913655
MD, Cand. Sci. (Med.)
Россия, 2/1 Barrikadnaya street, 125993 Moscow; MoscowMarina Yu. Peredelskaya
Russian Medical Academy of Continuous Professional Education; City Clinical Hospital No. 24
Author for correspondence.
Email: concy1984@gmail.com
ORCID iD: 0000-0003-2682-8108
SPIN-code: 3363-5507
Scopus Author ID: 57210586164
MD, Cand. Sci. (Med.)
Россия, 2/1 Barrikadnaya street, 125993 Moscow; MoscowReferences
- Tiligada E, Ennis M. Histamine pharmacology: From Sir Henry Dale to the 21st century. Br J Pharmacol. 2020;177(3):469–489. doi: 10.1111/bph.14524
- Bovet D, Staub AM. Action protective de ethers phenoliques au cours de l’ntoxication histaminique. Compt Rend Soc Biol. 1937;(124):547–549.
- Staub AM, Bovet D. Action de la thymoxyethyldiethylamine (925 F) et des ethers phenoliquers sur le choc anaphylactique du cobaye. Com Rend Soc Biol. 1937;(125):818–823.
- Orlov EV, Merkulova TB, Konnov PE. Clinical experience of using antihistamine quinuclidine derivatives in combination therapy of itching dermatosis. Klinicheskaya Dermatologiya i Venerologiya. 2014;12(6):74–81. (In Russ).
- Goryachkina LA, Peredkova EV. Antihistamines. Textbook. Moscow; 2004. 24 р. (In Russ).
- Baroody FM, Naclerio RM. Antiallergic effects of H1-receptor antagonists. Allergy. 2000;55(Suppl 64):17–27. doi: 10.1034/j.1398-9995.2000.00803.x
- Reznichenko NY, Reznichenko GI, Kauke YI. Results of a clinical study comparing the efficacy and safety of hifenadine and desloratadine in patients with allergodermatoses. Dermatol Venereol. 2018;1(1):56–66. (In Russ).
- Mashkovsky MD, Mutina ES, Kaminka ME. Fencarol and its application in the therapy of allergic diseases. Clin Med. 1978;(11): 22–28. (In Russ).
- Moser HR, Giesler GJ. Itch elicited by intradermal injection of serotonin, intracisternal injection of morphine, and their synergistic interactions in rats. Neurosci. 2014;(274):119–127. doi: 10.1016/j.neuroscience.2014.05.025
- Dong X, Dong X. Peripheral and central mechanisms of itch. Neuron. 2018;98(3):482–494. doi: 10.1016/j.neuron.2018.03.023
- Makarov L, Balykova L, Soldatova O, et al. The antiarrhythmic properties of quifenadine, H1-histamine receptor blocker in children with premature beats: A randomized controlled pilot trial. Am J Ther. 2010;17(4):396–401. doi: 10.1097/MJT.0b013e3181a86987
- Soldatova ON, Balykova LA, Makarov LM, et al. The effectiveness of fencarol in combination with traditional antiarrhythmic agents for extrasystole in children. Bulletin of Peoples’ Friendship University of Russia. 2008;(3):46–51. (In Russ).
- Ismailov SR. Effect of phencarol on pancreatic digestive enzymes in food anaphylaxis. Eksp Klin Farmakol. 2001;64(3):48–49.
- Bukovskis M, Tirzīte M, Strazda G, et al. H1-antihistamines suppress wheal-and-flare reaction and skin blood perfusion measured by laser doppler flowmetry: Randomized, double-blind, placebo-controlled, crossover design study. Proceedings Latvian Acad Sci. 2010;64(5-6):175–181. doi: 10.2478/v10046-011-0001-9
- Luss LV, Tuzlukova EB, Grebenchenko EI. Investigation of antihistamine and sedative effects of Histaphene in patients with allergic rhinoconjunctivitis. Doktor.Ru. 2010;(2):24–29. (In Russ).
- Danilycheva IV. Sekhifenadine (histaphene) in the treatment of chronic idiopathic urticaria. Are there any advantages? Russ Allergy J. 2008;(4):66–73. (In Russ).
- Luss LV. The use of antihistamines in the clinical practice of a doctor. Therapeutic Archive. 2014;86(8):106–109. (In Russ).
- Belan EB, Gutov MV. Antihistamine derivatives of quinuclidines. Clin Dermatol Venereol. 2010;8(5):76–83. (In Russ).
- Fedenko EC. Fencarol in the complex therapy of atopic dermatitis and chronic urticaria. Allergy Asthma Clin Immunol. 2003;(6):10–12. (In Russ).
- Yashina LA, Feshchenko YI, Ignatieva VA, et al. Fencarol is an effective anti-inflammatory agent in the treatment of persistent allergic rhinitis of mild and moderate severity. Asthma Allergy. 2004;(1-2):41–48. (In Russ).
- Clinical study report [Internet]. Quinta No. 741/19 A Phase I, open-label study in healthy male and female subjects under fed condition to assess the pharmacokinetics of Fenkarol 10 mg and 50 mg tablets after single dose oral administration using a randomised, two-arm, parallel-group design and to investigate the multiple-dose pharmacokinetics of Fenkarol 50 mg administered orally after reaching steady stat [2021 Dec 22]. EudraCT number: 2019-004032-40. Data on file.
Supplementary files





