The role of modern emollients in prophylaxis of atopic dermatitis exacerbation during pollination season
- Authors: Litovkina A.O.1,2, Smolnikov E.V.1,2,3, Elisyutina O.G.1,2, Fedenko E.S.1
-
Affiliations:
- National Research Center ― Institute of Immunology
- Peoples’ Friendship University of Russia
- National Research Nuclear University MEPhI (Moscow Engineering Physics Institute)
- Issue: Vol 20, No 1 (2023)
- Pages: 41-51
- Section: Original studies
- Submitted: 09.02.2023
- Accepted: 03.03.2023
- Published: 06.04.2023
- URL: https://rusalljournal.ru/raj/article/view/4136
- DOI: https://doi.org/10.36691/RJA4136
- ID: 4136
Cite item
Full Text
Abstract
BACKGROUND: Skin epidermal barrier impairment in patients with atopic dermatitis facilitates percutaneous penetration of allergens and leads to persistent skin inflammation in sensitized patients and even primary sensitization to the allergens. We hypothesized that the use of skincare products that restore the structure of the skin barrier may positively affect the disease course in patients with atopic dermatitis and pollen sensitization during the pollen season.
AIMS: This study aimed to investigate the clinical efficacy and safety of La Roche Posay formulas, i.e., Lipikar Syndet and Lipikar Baume AP+M, in the prevention of atopic dermatitis exacerbations in children and adults sensitized to different pollen allergens during the pollination season.
MATERIALS AND METHODS: Sixty patients aged 5–60 years with a clinical history of mild-to-moderate atopic dermatitis sensitized to different pollen allergens were enrolled in a single-center, simple, open, prospective comparative study, and they were divided into two groups. The main group used Lipikar Syndet and Baume AP+M daily together with standard atopic dermatitis treatment for 28 days during the pollen season of their clinically significant allergens. The control group received only standard therapy without any use of moisturizers. The study required three visits. At each visit, the severity of atopic dermatitis (SCORing atopic dermatitis [SCORAD] index), quality of life (Dermatology Life Quality Index/and Children’s Dermatology Life Quality Index), pruritus intensity (numerical rating scale), and corneometry were assessed. SCORAD changes were considered the primary endpoint of the study.
RESULTS: A significant decrease in SCORAD in the main group was registered by day 14 of the study (p <0.0001), whereas no significant changes in the SCORAD index were noted in the control group even by day 28. The SCORAD index in the main group was significantly lower than that in the control group (p=0.005) by day 28. For the secondary endpoints, the quality of life significantly improved by day 28 (p=0.0005), the intensity of pruritus significantly decreased (p <0.0001), and the level of skin hydration increased (p <0.0001) by day 14 in the main group compared with those in the control group. No adverse events were reported during the study.
CONCLUSIONS: Daily use of Lipikar Syndet and Lipikar Baume AP+M by patients with atopic dermatitis and pollen allergy during the pollen season significantly improved the atopic dermatitis course, reducing skin itching and improving skin hydration and patients’ quality of life. The use of these skincare products together with atopic dermatitis therapy helped reduce atopic dermatitis severity associated with direct skin contact with pollen allergens. This indicates a protective effect of Lipikar skincare products on the epidermal barrier function.
Keywords
Full Text
ОБОСНОВАНИЕ
Атопический дерматит (АтД) ― мультифакторное генетически детерминированное воспалительное заболевание кожи, характеризующееся зудом, хроническим рецидивирующим течением, возрастными особенностями локализации и морфологии очагов поражения [1, 2]. Распространённость АтД у взрослых колеблется от 2,1 до 4,9% в разных странах, у детей распространённость выше ― от 1,7 до 32,8% [3, 4].
Ведущую роль в патогенезе АтД играют генетически детерминированные нарушения функции кожного барьера (мутация гена филаггрина) [5], активация Т2-иммунного воспаления различными антигенами, формирование IgE-специфической сенсибилизации к аллергенам [6, 7] и воздействие факторов внешней среды [8].
Аэроаллергены, наряду с пищевыми, бактериальными и грибковыми аллергенами, являются важным триггерным фактором в развитии обострений АтД. Попадая в организм, аллергены могут активировать врождённый и адаптивный иммунитет [9], а также участвовать в разрушении эпидермального барьера посредством собственной ферментативной активности аллергена при непосредственном контакте с кожей [10] и напрямую активировать клетки врождённого иммунитета при проникновении через повреждённый кожный барьер [11, 12]. Активация иммунного воспаления аллергенами может привести к выработке множества цитокинов, включая ИЛ-4 и ИЛ-13, а также к локальной продукции стромального тимического лимфопоэтина, ИЛ-25, ИЛ-33 и гранулоцитарно-макрофагального колониестимулирующего фактора, которые способствуют воспалению кожи и зуду [13].
Круглогодичные аэроаллергены, такие как эпидермальные аллергены животных и аллергены клещей домашней пыли, доказано ухудшают течение АтД у сенсибилизированных лиц [14–16], однако данные об эффективности элиминационных мероприятий, направленных на снижение концентрации аллергенов в окружающей среде, в качестве профилактики обострений и улучшения течения АтД остаются противоречивыми [17].
Контакт с пыльцевыми аллергенами также может ухудшать течение АтД [18], при этом воспалительное поражение открытых участков кожи, контактирующих с пыльцой, более выражено [19]. Это может быть обусловлено как прямым повреждением кожного барьера протеолитическими ферментами пыльцы [20], так и индукцией иммунного T2-ответа липидами пыльцы (ассоциированные с пыльцой липидные медиаторы) из-за их структурного и химического сходства с лейкотриенами и простагландинами [21].
Рекомендации, направленные на избегание контакта с пыльцой с целью профилактики обострений АтД в сезон цветения причинно-значимых аллергенов, такие как ношение закрытой одежды, ограничение времени пребывания на улице, смена климатической зоны, использование очистителей воздуха в помещении, не имеют доказанной эффективности, однако могут существенно менять привычную жизнь пациентов и увеличивать их финансовые затраты, тем самым усиливая бремя АтД [22].
Мы предположили, что использование пациентами с АтД и пыльцевой сенсибилизацией в сезон пыления причинно-значимых аллергенов ухаживающих средств, восстанавливающих структуру кожного барьера, может быть эффективным способом профилактики сезонных обострений АтД и оказывать положительный эффект на течение заболевания.
Цель исследования ― изучить клиническую эффективность и безопасность косметических средств марки La Roche Posay (Франция), серии Lipikar ― средства для мытья Lipikar Syndet (Липикар Синдет, далее крем-гель) и эмолента Lipikar Baume AP+M (Липикар Бальзам АП+М, далее бальзам) ― в профилактике обострений АтД у детей и взрослых, сенсибилизированных к пыльцевым аллергенам, в сезон цветения различных растений.
МАТЕРИАЛЫ И МЕТОДЫ
Дизайн исследования
Проведено интервенционное одноцентровое проспективное сравнительное рандомизированнное исследование.
Для исследования эффективности и безопасности косметических ухаживающих средств в профилактике обострений АтД у детей и взрослых в сезон цветения различных растений было отобрано 60 пациентов с АтД и другими аллергическими заболеваниями, сенсибилизированных к пыльцевым аллергенам.
Все пациенты соответствовали перечисленным ниже критериям включения/исключения.
Критерии соответствия
Критерии включения: пациенты с АтД лёгкой и средней степени тяжести и подтверждённой сенсибилизацией к аллергенам пыльцы деревьев / злаковых / сорных трав; пациенты мужского и женского пола в возрасте от 2 до 60 лет; согласие следовать инструкциям по ежедневному уходу за кожей, а именно: использовать только выданные средства согласно инструкции и воздерживаться от применения других моющих и увлажняющих средств ― для пациентов основной группы; применение любых привычных моющих средств в виде гелей и отказ от использования эмолентов и других увлажняющих средств в период исследования, возможность и согласие добровольца следовать графику исследования, в том числе посещать все визиты по протоколу, ― для пациентов контрольной группы.
Критерии исключения: АтД, осложнённый вторичной инфекцией; тяжёлый АтД; отказ добровольца от участия в исследовании; непереносимость компонентов исследуемых средств; возникновение в ходе исследования иных причин, препятствующих проведению исследования согласно протоколу; применение системной терапии АтД (системные глюкокортикостероиды, циклоспорин, дупилумаб) за 2 недели до и в течение всего периода исследования.
Условия проведения
Исследование проведено на базе клиники ФГБУ ГНЦ «Институт иммунологии» ФМБА России в сезон цветения деревьев и злаковых трав. Во время исследования все участники находились на территории Москвы или Московской области.
Продолжительность исследования
Общая продолжительность исследования составила 2 месяца 2 недели (с 22.04.2022 по 11.07.2022). Продолжительность исследования для каждого участника составляла 28 дней. В ходе исследования было запланировано по три визита.
На первом визите (День 0) всем пациентам были разъяснены цели и процедуры исследования. После подписания пациентом или его законным представителем формы информированного согласия врач-исследователь собирал у пациента анамнез заболевания, проводил физикальный осмотр. У всех пациентов была проведена оценка степени тяжести АтД согласно индексу SCORAD (SCORing Atopic Dermatitis ― индекс оценки тяжести АтД) [1, 23]; оценена интенсивность зуда с помощью шкалы NRS (Numerous Rating Scale ― цифровая рейтинговая шкала) [1]; проведён тест самооценки по анкете качества жизни DLQI (Dermatologic Life Quality Index ― дерматологический индекс качества жизни) для совершеннолетних пациентов и по анкете CDLQI (Children’s Dermatology Life Quality Index) ― для несовершеннолетних [1, 24]. Всем пациентам была проведена корнеометрия ― инструментальная оценка содержания влаги в роговом слое с помощью прибора Aramo Smart Wizard модель ASW-300 (Арам Хьювис Ко., Лтд, Корея). Далее пациенты были рандомизированы и разделены на две группы: основную (Группа 1) и контрольную (Группа 2).
Во время второго визита (День 14) врач-исследователь проводил оценку нежелательных явлений, возникших в период исследования, и физикальный осмотр всех пациентов. Пациентам обеих групп была проведена оценка степени тяжести АтД согласно индексу SCORAD; оценка интенсивности зуда по шкале NRS; тест самооценки по анкете качества жизни (DLQI/CDLQI). Всем пациентам была проведена корнеометрия. По показаниям проводилась коррекция наружной терапии.
Во время третьего визита (День 28) врач-исследователь проводил оценку нежелательных явлений за период исследования и физикальный осмотр всех пациентов. Пациентам обеих групп была проведена оценка степени тяжести АтД согласно индексу SCORAD; оценка интенсивности зуда по шкале NRS; тест самооценки по анкете качества жизни (DLQI/CDLQI). Всем пациентам была проведена корнеометрия. По показаниям проводилась коррекция наружной терапии. Пациенты завершали исследование.
Описание медицинского вмешательства
Всем пациентам основной группы на первом визите (День 0) было выдано по 2000 г препарата Липикар Бальзам АП+М и 2000 г препарата Липикар Синдет и даны рекомендации по их применению: очищение всей поверхности кожи средством Липикар Синдет 2 раза/день и нанесение в достаточном количестве на всю поверхность кожи тела эмолента Липикар Бальзам АП+М 3 раза/день. Пациенты были проинструктированы о необходимости воздержаться от применения других моющих и увлажняющих средств на протяжении исследования. В случае превышения расхода выданных препаратов до завершения исследования пациент должен был обратиться к врачу-исследователю за дополнительным объёмом средств.
Пациентам контрольной группы было рекомендовано использовать привычные для них моющие средства в виде гелей (т.к. время экспозиции моющего геля на коже краткосрочно, он не оказывает существенного влияния на характеристики кожного барьера) и воздержаться от использования моющих средств в виде масел, кремов, гидрофильных плиток. Пациентам контрольном группы было рекомендовано воздержаться от использования каких-либо эмолентов и других увлажняющих косметических средств во время проведения исследования, однако все пациенты были предупреждены о том, что в случае ухудшения течения заболевания и появления дискомфортных ощущений, связанных с сухостью кожи, они могут в любое время прекратить участие в исследовании. Всем пациентам обеих групп были назначены наружные средства для терапии АтД по показаниям.
В течение периода наблюдения в зависимости от установленного диагноза и степени его тяжести все пациенты получали фармакотерапию. Пациенты с АтД и другими аллергическими заболеваниями могли принимать антигистаминные препараты (хлоропирамин, хифенадин, лоратадин, цетиризин, левоцетиризин) по потребности в соответствующей возрасту дозировке. Все пациенты с АтД получали наружную терапию: топические глюкокортикостероиды различной степени активности (метилпреднизолона ацепонат 0,1% крем, гидрокортизона бутират 0,1%, 1–2 раза/день), топические ингибиторы кальциневрина (такролимус 0,03% мазь для детей в возрасте до 15 лет, такролимус 0,1% мазь, пимекролимус 1% крем, 1–2 раза/день). Пациенты с аллергическим ринитом получали мометазона фуроат по 50–100 мкг 1 раз/день, водно-солевые растворы для назального душа; пациенты с бронхиальной астмой ― будесонид микронизированный и формотерола фумарата дигидрат по 80/4,5 мкг.
Основной исход исследования
Первичной конечной точкой исследования эффективности и безопасности косметических средств (крем-геля и бальзама) в профилактике обострений АтД в сезон цветения различных растений было изменение индекса SCORAD в течение периода исследования у детей и взрослых основной и контрольной групп. Положительным исходом исследования считали достоверное снижение индекса SCORAD внутри группы по сравнению с первым визитом (День 0).
Вторичными конечными точками исследования были изменения показателей индекса DLQI/CDLQI (оценка качества жизни пациентов), оценки интенсивности кожного зуда (баллы NRS), содержания влаги в роговом слое кожи (условные корнеометрические единицы) в течение периода исследования у пациентов основной и контрольной групп.
Анализ в подгруппах
В ходе исследования были сформированы две группы пациентов, сопоставимые по полу, возрасту и основным клиническим характеристикам. Рандомизация пациентов осуществлялась методом случайной выборки.
Методы регистрации исходов
Степень тяжести АтД оценивали согласно индексу SCORAD. Методика оценки проявлений и степени тяжести АтД по индексу SCORAD включает комплексную оценку трёх информационных блоков: распространённость кожных поражений (А), их выраженность или интенсивность (В) и субъективные симптомы (С). Для определения распространённости поражения кожных покровов (А) врач полностью осматривает кожу пациента и на картинке-трафарете наносит контуры зон поражения. Затем каждой зоне даёт оценку в баллах и суммирует их (сумма баллов по передней поверхности + сумма баллов по задней поверхности). Общая сумма округляется с точностью до 5 баллов. Общая сумма может составлять от 0 (отсутствие кожных поражений) до 100 баллов (для детей старше 2 лет и взрослых) при тотальном (максимальном) поражении кожи.
Интенсивность клинических проявлений АтД (B, объективные симптомы) оценивается по 6 симптомам: эритема, отёк/папула, корки/мокнутие, экскориации, лихенификация, сухость кожи. Каждый признак оценивается от 0 до 3 баллов (0 ― отсутствие, 1 ― лёгкий, 2 ― средний, 3 ― тяжёлый). Оценки в баллах выставляются в специальной оценочной таблице. Субъективные симптомы (C) ― зуд и нарушение сна, связанное с кожными поражениями и зудом, оцениваются у детей старше 7 лет. Пациенту или его родителям предлагается указать точку в пределах 10-сантиметровой линейки, соответствующую выраженности зуда и нарушению сна, усреднённую за последние трое суток. Каждый субъективный симптом оценивается в диапазоне от 0 до 10 баллов, баллы суммируются. Сумма баллов субъективных симптомов может колебаться в диапазоне от 0 до 20.
Индекс SCORAD рассчитывается по формуле: SCORAD=А/5+7×B/2+C, где А ― площадь поражённой кожи (в %); B ― сумма баллов объективных признаков (эритема, отёк, мокнутие, экскориации, лихенификация, сухость); С ― сумма баллов субъективных признаков (зуд, потеря сна).
Качество жизни пациентов оценивали с использованием дерматологического индекса качества жизни (DLQI). Индекс DLQI представляет собой анкету-опросник из 10 вопросов по качеству жизни пациентов с дерматологическими заболеваниями. Пациент выбирает один из четырёх предложенных ответов на вопрос. Далее каждому ответу присваивается балл по шкале от 0 до 3, где ответу «совсем нет/ко мне не относится» соответствует 0 баллов, ответу «незначительно» ― 1 балл, ответу «сильно» ― 2 балла, ответу «очень сильно» ― 4 балла. Минимальное значение индекса DLQI составляет 0 баллов, максимальное ― 30 баллов.
Несовершеннолетние пациенты заполняли опросник CDLQI, построенный аналогичным образом.
Интенсивность кожного зуда оценивали при помощи цифровой рейтинговой шкалы NRS. Шкала NRS представляет собой последовательность цифр от 0 до 10, расположенных горизонтально, где 0 ― отсутствие зуда, а 10 ― сильнейший зуд, который можно только представить. Во время тестирования пациента просят выбрать число от 0 до 10, которое соответствует его ощущениям (интенсивности зуда). Пациенту предлагают оценить интенсивность зуда ― текущую и наибольшую ― в течение последних 24 ч. Минимальное значение оценки по шкале NRS составляет 0 баллов, максимальное ― 10 баллов.
Степень увлажнённости кожного покрова (содержание влаги в роговом слое) оценивали с помощью корнеометрии с использованием прибора Aramo Smart Wizard модель ASW-300 (Арам Хьювис Ко., Лтд, Корея). Содержание влаги в поверхностном слое кожи количественно определялось в условиях прохождения электрического тока. Электропроводность и сила тока между щупами датчика, непосредственно касающимися поверхности кожи, преобразуются в цифровую форму для выполнения последовательных и непоследовательных измерений. Чем выше содержание влаги в кератиноцитах, тем выше коэффициент электропроводности. Результаты измерений были представлены в условных (корнеометрических) единицах.
Оценка переносимости и безопасности. В течение всего периода исследования проводилась регистрация нежелательных явлений и их интенсивности. Нежелательные явления ― это любая реакция, побочный эффект или другое неблагоприятное явление, случающееся в ходе клинического исследования, независимо от того, связано ли оно с исследуемым методом или нет. В случае развития нежелательных явлений пациенты незамедлительно сообщали о них врачу-исследователю в письменной (по электронной почте) или устной (по контактному телефону) форме.
Этическая экспертиза
Проведение исследования одобрено локальным этическим комитетом ФГБУ ГНЦ «Институт иммунологии» ФМБА России (выписка из протокола № 6 от 21.04.2022). До начала исследования всем пациентам были разъяснены цели и процедуры исследования. В случаях соответствия критериям включения и отсутствия критериев исключения, а также согласия на участие в исследовании пациенты или их законные представители подписывали форму информированного согласия.
Статистический анализ
Размер выборки рассчитывался исходя из имеющейся базы данных пациентов, удовлетворявших критериям включения/исключения. Для сбора и хранения данных использовали индивидуальные регистрационные карты. Обработка данных проводилась с использованием методов описательной статистики. Количественные данные были представлены в виде медианы и интерквартильного размаха (Ме [Q1; Q3]) или среднего и его стандартного отклонения (M±Sd). Группы сравнивали с использованием непараметрического критерия Вилкоксона (для парных сравнений внутри группы) и U-критерия Манна–Уитни (для сравнения показателей между двумя независимыми группами) и пакета прикладных программ GraphPad Prism for Windows v. 9.2.0 GraphPadSoftware USA (США). Различия считали достоверными при p <0,05.
РЕЗУЛЬТАТЫ
Объекты (участники) исследования
Из 60 отобранных для исследования пациентов с АтД и другими аллергическими заболеваниями, сенсибилизированных к пыльцевым аллергенам, были сформированы две группы. Основная группа (Группа 1; n=30; 16 женщин и 14 мужчин, из них 11 детей в возрасте от 6 до 15 лет; средний возраст больных 20,93±11,09 лет) ― пациенты с диагнозом АтД лёгкой и средней степени тяжести, которые использовали средства по уходу (крем-гель и бальзам) в сезон цветения деревьев, луговых и сорных трав в течение 28 дней. Контрольная группа (Группа 2; n=30; 15 женщин и 15 мужчин, из них 8 детей в возрасте от 7 до 15 лет; средний возраст больных 26,7±14,31 лет) ― пациенты с диагнозом АтД лёгкой и средней степени тяжести, которые не использовали какие-либо эмоленты в течение 28 дней.
Подробная клинико-демографическая характеристика участников исследования представлена в табл. 1.
Таблица 1. Клинико-демографические данные пациентов групп 1 (основная) и 2 (контрольная) до начала исследования, n=60
Table 1. Clinical and demographical data of patients from Group 1 (main group) and Group 2 (control group) before the study, n=60
Показатель | Группа 1, n=30 | Группа 2, n=30 |
Возраст, M±Sd | 20,93±11,09 | 26,7±14,31 |
Пол: | ||
• мужской | 14 | 15 |
• женский | 16 | 15 |
Заболевание: | ||
• атопический дерматит | 30 | 30 |
• бронхиальная астма | 15 | 12 |
• аллергический риноконъюнктивит | 26 | 26 |
Спектр сенсибилизации: | ||
• к аллергенам пыльцы деревьев | 23 | 21 |
• к аллергенам пыльцы злаковых трав | 18 | 16 |
• к аллергенам пыльцы сорных трав | 11 | 12 |
• к эпидермальным аллергенам | 22 | 17 |
• к аллергенам домашней пыли | 25 | 22 |
Основные результаты исследования
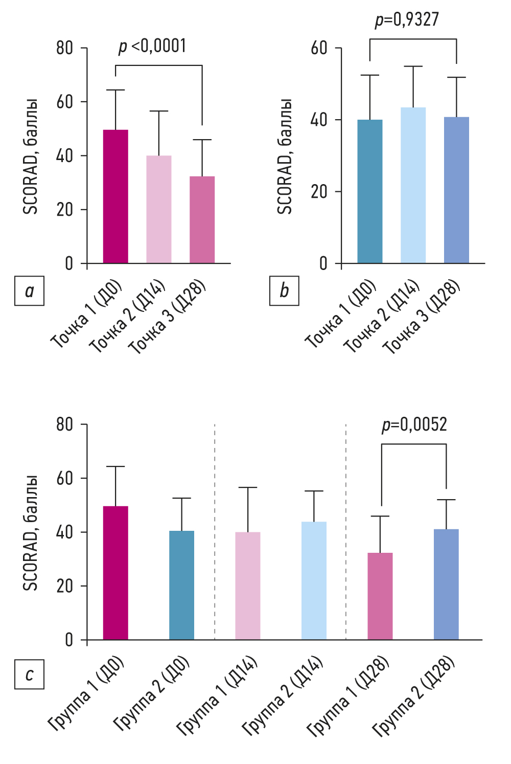
Оценку индекса SCORAD проводили пациентам обеих групп в трёх точках исследования. В первой точке исследования достоверного различия между показателями индекса SCORAD в основной и контрольной группах не выявлено (p=0,515). В основной группе (Группа 1, n=30) отмечалось достоверное снижение индекса SCORAD уже к 14-му дню исследования (p <0,0001). В контрольной группе (Группа 2, n=30) достоверного изменения индекса SCORAD к 14-му и 28-му дню исследования не отмечалось. При сравнении динамики индекса SCORAD в основной и контрольной группах отмечено, что достоверной разницы в показателях индекса SCORAD к 14-му дню не было (p=0,1391), однако к 28-му дню индекс SCORAD в основной группе был достоверно ниже, чем в контрольной (p=0,0052). На рис. 1 представлены динамика показателей индекса SCORAD в основной и контрольной группах, а также сравнение показателей индекса SCORAD в трёх точках исследования.
Рис. 1. Изменение показателей индекса SCORAD в трёх точках исследования: а ― у пациентов Группы 1; b ― у пациентов Группы 2; с ― сравнение показателей в группах 1 и 2. Д0, Д14, Д28 ― дни исследования 0; 14 и 28-й.
Fig. 1. SCORAD dynamics at three timepoints: а ― in patients of Group 1; b ― in patients of Group 2; с ― comparison of indicators in groups 1 and 2. Д0, Д14, Д28 ― study days 0; 14th and 28th.
Дополнительные результаты исследования
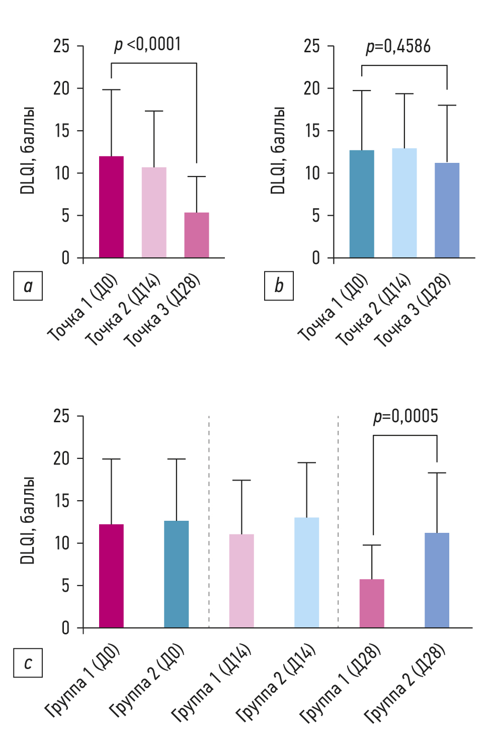
Качество жизни пациентов оценивали с использованием дерматологического индекса качества жизни (DLQI). При оценке динамики показателя внутри каждой группы отмечено достоверное снижение индекса DLQI в Группе 1 к 28-му дню, тогда как в Группе 2 достоверных изменений индекса DLQI не наблюдалось. При сравнении показателей данного индекса между группами к 14-му дню исследования достоверных различий между группами не отмечалось (p=0,1704), однако к 28-му дню индекс DLQI в Группе 1 был достоверно ниже, чем в Группе 2 (p=0,0005). На рис. 2 представлены динамика показателей индекса DLQI в основной и контрольной группах и сравнение показателей индекса DLQI в трёх точках исследования.
Рис. 2. Изменение показателей индекса DLQI в трёх точках исследования: а ― у пациентов Группы 1; b ― у пациентов Группы 2; с ― сравнение показателей в группах 1 и 2. Д0, Д14, Д28 ― дни исследования 0; 14 и 28-й.
Fig. 2. DLQI dynamics at three timepoints: а ― in patients of Group 1; b ― in patients of Group 2; с ― comparison of indicators in groups 1 and 2. Д0, Д14, Д28 ― study days 0; 14th and 28th.
Оценку интенсивности кожного зуда проводили с помощью цифровой рейтинговой шкалы NRS. При сравнении значений данного показателя внутри каждой группы отмечалось его достоверное снижение уже к 14-му дню исследования в Группе 1 (p <0,0001), в то время как в Группе 2 данный показатель оставался без значимой динамики даже к 28-му дню исследования. При сравнении значений данного показателя между двумя группами интенсивность зуда в Группе 1 к 14-му и 28-му дню исследования была достоверно ниже, чем в Группе 2 (p <0,0001). На рис. 3 представлено сравнение показателей интенсивности кожного зуда в баллах NRS в трёх точках исследования в группах 1 и 2.
Рис. 3. Сравнение показателей интенсивности кожного зуда в баллах NRS в трёх точках исследования в группах 1 и 2. Д0, Д14, Д28 ― дни исследования 0; 14 и 28-й.
Fig. 3. Comparison of skin itch intensity (NRS points) in Group 1 and Group 2 at three timepoints. Д0, Д14, Д28 ― study days 0; 14th and 28th.
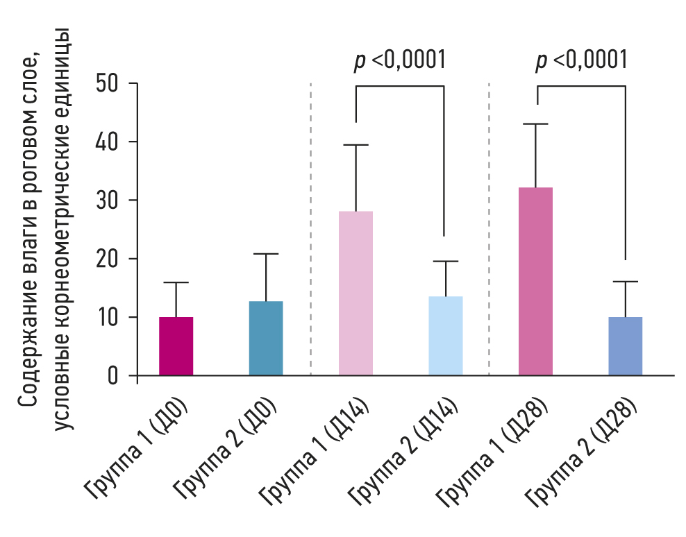
Оценку степени увлажнённости кожного покрова (содержание влаги в роговом слое) проводили с помощью корнеометрии. Результаты были представлены в условных корнеометрических единицах. При сравнении динамики данного показателя внутри каждой группы достоверное увеличение содержания влаги в роговом слое к 14-му и 28-му дню исследования отмечалось в Группе 1 (p <0,0001), в Группе 2 достоверного изменения данного показателя не отмечалось. При сравнении показателя корнеометрии между двумя группами данный показатель был достоверно выше к 14-му и 28-му дню исследования в Группе 1. На рис. 4 представлено сравнение показателей содержания влаги в роговом слое кожи в трёх точках исследования.
Рис. 4. Сравнение показателей содержания влаги в роговом слое кожи в трёх точках исследования в группах 1 и 2. Д0, Д14, Д28 ― дни исследования 0; 14 и 28-й.
Fig. 4. Comparison of skin hydration levels (corneometry) in Group 1 and Group 2 at three timepoints. Д0, Д14, Д28 ― study days 0; 14th and 28th.
Нежелательные явления
В ходе проведения исследования нежелательных явлений не зарегистрировано.
ОБСУЖДЕНИЕ
Резюме основного результата исследования
В ходе проведённого исследования нами была изучена клиническая эффективность и безопасность ухаживающих средств (крем-гель и бальзам) в профилактике обострений АтД у детей и взрослых, сенсибилизированных к пыльцевым аллергенам, в сезон цветения различных растений.
Применение в комплексной терапии больных АтД, сенсибилизированных к пыльцевым аллергенам, средств по уходу в сезон цветения причинно-значимых аллергенов привело к достоверному уменьшению степени тяжести АтД (снижение индекса SCORAD) и увеличению содержания влаги в роговом слое кожи (показатели корнеометрии) у пациентов основной группы по сравнению с группой контроля. Применение данных средств продемонстрировало достоверное и более быстрое снижение интенсивности кожного зуда (шкала NRS) и улучшение качества жизни (индекс DLQI) у пациентов основной группы по сравнению с контролем.
Обсуждение основного результата исследования
Полученные нами данные соотносятся с проведёнными ранее исследованиями со схожей тематикой. Не вызывает сомнения тот факт, что использование эмолентов в комплексной терапии АтД уменьшает воспаление кожи, улучшает её барьерную функцию и увеличивает период ремиссии АтД [25, 26].
Единичные исследования, изучающие влияние применения эмолентов на проникновение пыльцевых аллергенов в кожу, были проведены на животных или in vitro, однако они косвенно подтверждают полученные нами результаты. В исследовании M.C. Meinke и соавт. [27] было показано, что нанесение эмолентов на кожу ушей свиней уменьшало проникновение пыльцевых аллергенов через волосяные фолликулы. Аналогичный результат был получен и в исследовании J. Lademann и соавт. [28], в ходе которого изучали проникновение пыльцевых аллергенов через волосяные фолликулы в in vitro модели кожи уха свиньи и человеческой кожи. В исследовании C. Billmann-Eberwein и соавт. [29] показано, что использование обогащённого жирными кислотами эмолента перед аппликационным патч-тестом с пыльцевыми аллергенами предотвращало или уменьшало развитие воспаления кожи у больных АтД.
Ограничения исследования
Главным ограничением нашего исследования было отсутствие группы плацебо-контроля из-за невозможности изготовления плацебо, аналогичного по внешним свойствам исследуемым средствам; также невозможно было отследить индивидуальную экспозицию пыльцевых аллергенов у пациентов обеих групп. Дизайн исследования предполагал минимальную интервенцию в жизнь пациентов, поэтому мы не ограничивали перемещения пациентов в течение исследования. Хотя все пациенты находились в Москве и Московской области в период исследования, концентрация пыльцевых аллергенов могла существенно отличаться для пациентов, проживающих за городом или выезжавших на дачу. Мы не ограничивали и не учитывали также количество часов в сутки, проведённых участниками исследования на улице, где воздействие пыльцы более выражено, чем в помещении. Данный показатель мог существенно отличаться у участников исследования, однако сформированные группы были сопоставимы по полу и возрасту участников, что позволило нам предположить схожий образ жизни участников исследования и не включать данный показатель в анализ.
Целесообразно проведение дальнейших исследований в этой области, так как АтД является экономически и социально значимым заболеванием, распространённость которого неуклонно растёт, а сенсибилизация к пыльцевым аллергенам (мажорный аллерген пыльцы берёзы Bet v 1) является доминирующей в России и обнаруживается даже у здоровых индивидуумов [30].
ЗАКЛЮЧЕНИЕ
В ходе проведённого исследования эффективности и безопасности косметических средств известной французской марки в профилактике обострений АтД у детей и взрослых в сезон цветения различных растений нами были проанализированы объективные (оценка степени тяжести АтД согласно индексу SCORAD, содержание влаги в роговом слое кожи ― корнеометрия) и субъективные (оценка интенсивности кожного зуда и оценка качества жизни пациентов) показатели. Применение средств по уходу в комплексе с медикаментозной терапией не только хорошо переносилось больными АтД, но и способствовало уменьшению степени тяжести АтД, связанного с контактным воздействием пыльцевых аллергенов на кожу больных, что свидетельствует о протективном влиянии средств данной серии на функцию эпидермального барьера.
Применение ухаживающих косметических средств в комплексе с медикаментозной терапией может быть рекомендовано с профилактической и лечебной целью детям и взрослым с АтД, сенсибилизированным к пыльцевым аллергенам, в сезон цветения причинно-значимых аллергенов.
Полученные нами результаты не противоречат результатам проведённых ранее исследований эффективности и безопасности применения эмолентов у детей и взрослых с АтД, однако исследований, изучающих применение эмолентов с целью профилактики развития обострений АтД у сенсибилизированных больных в сезон цветения причинно-значимых аллергенов, ранее не проводилось.
ДОПОЛНИТЕЛЬНАЯ ИНФОРМАЦИЯ
Источник финансирования. Исследование и подготовка публикации проведены при поддержке компании La Roche Posay.
Конфликт интересов. Авторы декларируют отсутствие явных и потенциальных конфликтов интересов, связанных с публикацией настоящей статьи.
Вклад авторов. Все авторы подтверждают соответствие своего авторства международным критериям ICMJE (все авторы внесли существенный вклад в разработку концепции, проведение исследования и подготовку статьи, прочли и одобрили финальную версию перед публикацией). Наибольший вклад распределён следующим образом: А.О. Литовкина ― дизайн и проведение клинического исследования, анализ данных, обзор литературы, сбор и анализ литературных источников, написание текста статьи; Е.В. Смольников ― проведение клинического исследования, написание текста статьи; О.Г. Елисютина ― дизайн и проведение клинического исследования, анализ данных, анализ литературных источников, редактирование статьи; Е.С. Феденко ― дизайн и проведение клинического исследования, редактирование текста статьи.
ADDITIONAL INFORMATION
Funding source. This work was supported by La Roche Posay.
Competing interests. The authors declare that they have no competing interests.
Authors’ contribution. All authors made a substantial contribution to the conception of the work, acquisition, analysis, interpretation of data for the work, drafting and revising the work, final approval of the version to be published and agree to be accountable for all aspects of the work. A.O. Litovkina, E.V. Smolnikov, O.G. Elisyutina ― designed the study; A.O. Litovkina, E.V. Smolnikov, O.G. Elisyutina, E.S. Fedenko ― performed clinical work; A.O. Litovkina, O.G. Elisyutina ― analyzed data; A.O. Litovkina, E.V. Smolnikov, O.G. Elisyutina, E.S. Fedenko ― wrote the manuscript with input from all authors.
About the authors
Alla O. Litovkina
National Research Center ― Institute of Immunology; Peoples’ Friendship University of Russia
Author for correspondence.
Email: dr.litovkina@gmail.com
ORCID iD: 0000-0002-5021-9276
SPIN-code: 2337-7930
Россия, Moscow; Moscow
Evgeniy V. Smolnikov
National Research Center ― Institute of Immunology; Peoples’ Friendship University of Russia; National Research Nuclear University MEPhI (Moscow Engineering Physics Institute)
Email: qwertil2010@yandex.ru
ORCID iD: 0000-0003-1302-4178
SPIN-code: 4874-8100
Россия, Moscow; Moscow; Moscow
Olga G. Elisyutina
National Research Center ― Institute of Immunology; Peoples’ Friendship University of Russia
Email: el-olga@yandex.ru
ORCID iD: 0000-0002-4609-2591
SPIN-code: 9567-1894
MD, Dr. Sci. (Med.)
Россия, Moscow; MoscowElena S. Fedenko
National Research Center ― Institute of Immunology
Email: efedks@gmail.com
ORCID iD: 0000-0003-3358-5087
SPIN-code: 5012-7242
MD, Dr. Sci. (Med.), Professor
Россия, MoscowReferences
- Federal clinical guidelines for the management of patients with atopic dermatitis. Moscow: Russian Society of Dermatovenerologists and Cosmetologists, Russian Association of Allergologist and Clinical Immunologist, Union of Pediatricians of Russia, National Alliance of Dermatovenerologists and Cosmetologists; 2021. Available from: https://cr.minzdrav.gov.ru/recomend/265_2. Accessed: 05.02.2023.
- Wollenberg A, Christen-Zäch S, Taieb A, et al. ETFAD/EADV Eczema task force 2020 position paper on diagnosis and treatment of atopic dermatitis in adults and children. J Eur Acad Dermatol Venereol. 2020;34(12):2717–2744. doi: 10.1111/jdv.16892
- Barbarot S, Auziere S, Gadkari A, et al. Epidemiology of atopic dermatitis in adults: Results from an international survey. Allergy. 2018;73(6):1284–1293. doi: 10.1111/all.13401
- Bylund S, Kobyletzki LB, Svalstedt M, et al. Prevalence and incidence of atopic dermatitis: A systematic review. Acta Derm Venereol. 2020;100(12):adv00160. doi: 10.2340/00015555-3510
- Arkwright PD, Koplin JJ. Impact of a decade of research into atopic dermatitis. J Allergy Clin Immunol Pract. 2023;11(1):63–71. doi: 10.1016/j.jaip.2022.09.021
- Ständer S. Atopic dermatitis. N Engl J Med. 2021;384(12): 1136–1143. doi: 10.1056/NEJMra2023911
- Li H, Zhang Z, Zhang H, et al. Update on the pathogenesis and therapy of atopic dermatitis. Clin Rev Allergy Immunol. 2021;61(3):324–338. doi: 10.1007/s12016-021-08880-3
- Stefanovic N, Irvine AD, Flohr C. The role of the environment and exposome in atopic dermatitis. Curr Treat Options Allergy. 2021;8(3):222–241. doi: 10.1007/s40521-021-00289-9
- Kita H. How are airborne allergens remembered by the immune system? J Allergy Clin Immunol. 2022;149(6):1940–1942. doi: 10.1016/j.jaci.2022.02.014
- Chevigné A, Jacquet A. Emerging roles of the protease allergen Der p 1 in house dust mite-induced airway inflammation. J Allergy Clin Immunol. 2018;142(2):398–400. doi: 10.1016/j.jaci.2018.05.027
- Serhan N, Basso L, Sibilano R, et al. House dust mites activate nociceptor-mast cell clusters to drive type 2 skin inflammation. Nat Immunol. 2019;20(11):1435–1443. doi: 10.1038/s41590-019-0493-z
- Nakamura Y, Miyata M, Shimokawa N, et al. House dust mite allergen Der f 1 can induce the activation of latent TGF-beta via its protease activity. FEBS Lett. 2009;583(12):2088–2092. doi: 10.1016/j.febslet.2009.05
- Nygaard U, Hvid M, Johansen C, et al. TSLP, IL-31, IL-33 and sST2 are new biomarkers in endophenotypic profiling of adult and childhood atopic dermatitis. J Eur Acad Dermatol Venereol. 2016;30(11):1930–1938. doi: 10.1111/jdv.13679
- Endo K, Hizawa T, Fukuzumi T, et al. Keeping dogs indoor aggravates infantile atopic dermatitis. Arerugi. 1999;48(12):1309–1315.
- Jaworek AK, Szafraniec K, Jaworek M, et al. Cat allergy as a source intensification of atopic dermatitis in adult patients. Adv Exp Med Biol. 2020;(1251):39–47. doi: 10.1007/5584_2019_451
- Pónyai G, Hidvégi B, Németh I, et al. Contact and aeroallergens in adulthood atopic dermatitis. J Eur Acad Dermatol Venereol. 2008;22(11):1346–1355. doi: 10.1111/j.1468-3083.2008.02886.x
- Nankervis H, Pynn EV, Boyle RJ, et al. House dust mite reduction and avoidance measures for treating eczema. Cochrane Database Syst Rev. 2015;1(1):CD008426. doi: 10.1002/14651858.CD008426.pub2
- Werfel T, Heratizadeh A, Niebuhr M, et al. Exacerbation of atopic dermatitis on grass pollen exposure in an environmental challenge chamber. J Allergy Clin Immunol. 2015;136(1):96–103.e9. doi: 10.1016/j.jaci.2015.04.015
- Fölster-Holst R, Galecka J, Weißmantel S, et al. Birch pollen influence the severity of atopic eczema--prospective clinical cohort pilot study and ex vivo penetration study. Clin Cosmet Investig Dermatol. 2015;(8):539–548. doi: 10.2147/CCID.S81700
- Meyer-Hoffert U. Reddish, scaly, and itchy: How proteases and their inhibitors contribute to inflammatory skin diseases. Arch Immunol Ther Exp (Warsz). 2009;57(5):345–354. doi: 10.1007/s00005-009-0045-6
- Gilles S, Mariani V, Bryce M, et al. Pollen allergens do not come alone: Pollen associated lipid mediators (PALMS) shift the human immune systems towards a T(H)2-dominated response. Allergy Asthma Clin Immunol. 2009;5(1):3. doi: 10.1186/1710-1492-5-3
- De Bruin-Weller M, Gadkari A, Auziere S, et al. The patient-reported disease burden in adults with atopic dermatitis: A cross-sectional study in Europe and Canada. J Eur Acad Dermatol Venereol. 2020;34(5):1026–1036. doi: 10.1111/jdv.16003
- Severity scoring of atopic dermatitis: The SCORAD index. Consensus Report of the European Task Force on Atopic Dermatitis. Dermatology. 1993;186(1):23–31. doi: 10.1159/000247298
- Finlay AY, Khan GK. Dermatology life quality index (DLQI)-- a simple practical measure for routine clinical use. Clin Exp Dermatol. 1994;19(3):210–216. doi: 10.1111/j.1365-2230.1994.tb01167.x
- Van Zuuren EJ, Fedorowicz Z, Christensen R, et al. Emollients and moisturisers for eczema. Cochrane Database Syst Rev. 2017;2(2):CD012119. doi: 10.1002/14651858.CD012119.pub2
- Danby SG, Andrew PV, Kay LJ, et al. Enhancement of stratum corneum lipid structure improves skin barrier function and protects against irritation in adults with dry, eczema-prone skin. Br J Dermatol. 2022;186(5):875–886. doi: 10.1111/bjd.20955
- Meinke MC, Patzelt A, Richter H, et al. Prevention of follicular penetration: Barrier-enhancing formulations against the penetration of pollen allergens into hair follicles. Skin Pharmacol Physiol. 2011;24(3):144–150. doi: 10.1159/000323018
- Lademann J, Patzelt A, Richter H, et al. Comparison of two in vitro models for the analysis of follicular penetration and its prevention by barrier emulsions. Eur J Pharm Biopharm. 2009;72(3):600–604. doi: 10.1016/j.ejpb.2009.02.003
- Billmann-Eberwein C, Rippke F, Ruzicka T, et al. Modulation of atopy patch test reactions by topical treatment of human skin with a fatty acid-rich emollient. Skin Pharmacol Appl Skin Physiol. 2002;15(2):100–104. doi: 10.1159/000049396
- Elisyutina O, Lupinek C, Fedenko E, et al. IgE-reactivity profiles to allergen molecules in Russian children with and without symptoms of allergy revealed by micro-array analysis. Pediatr Allergy Immunol. 2021;32(2):251–263. doi: 10.1111/pai.13354
Supplementary files






