Features of the formation of early immunological tolerance during immunotherapy with allergens in patients with allergic rhinitis
- Authors: Volkova D.A.1, Bikchantaeva G.R.2, Luntsov A.V.2, Bareycheva O.A.2, Umarova N.N.3, Skorokhodkina O.V.1
-
Affiliations:
- Kazan State Medical University
- Republican Clinical Hospital of the Republic of Tatarstan Ministry of Health
- Kazan National Research Technological University
- Issue: Vol 21, No 2 (2024)
- Pages: 230-242
- Section: Original studies
- Submitted: 12.03.2024
- Accepted: 12.04.2024
- Published: 16.06.2024
- URL: https://rusalljournal.ru/raj/article/view/16932
- DOI: https://doi.org/10.36691/RJA16932
- ID: 16932
Cite item
Abstract
BACKGROUND: The effectiveness of allergen-specific immunotherapy has been proven in studies. Studying the level and expanded spectrum of Th1, Th2, Treg and Breg cytokines against the background of allergen-specific immunotherapy, as well as allergen-specific IgG4 (asIgG4), is promising, which will clarify the mechanisms of the effectiveness of allergen-specific immunotherapy in patients with allergic rhinitis.
AIM: To evaluate the clinical effectiveness of allergen-specific immunotherapy in patients with allergic rhinitis and to identify the most significant biomarkers of the formation of early immunological tolerance.
MATERIALS AND METHODS: We examined 30 patients with allergic rhinitis aged 19 to 60 years who received allergen-specific immunotherapy. The clinical effectiveness was assessed using the validated Combined Symptom Medication Score (CSMS). All patients had their serum levels of IL-4, IL-13, IFN-γ, IL-12, IL-10, TGF-β, and asIgG4 of enzyme-linked immunosorbent assay recorded at baseline and 6 months after the start of allergen-specific immunotherapy.
RESULTS: Allergen-specific immunotherapy has been demonstrated to be highly clinically effective in achieving control of allergic rhinitis. At baseline, the total CSMS score was 3.75 [3.33; 4.5], at the end of 6 months ― 1.83 [1.17; 2.67] (p=0.000002). When analyzing the dynamics of the cytokine profile and asIgG4, an increasing in the level of TGF-β (p=0.000002), IL-12 (p=0.000002) and asIgG4 (p=0.000003) was revealed, as well as a decreasing in the level of IL-4 (p=0.000024) 6 months after the start of allergen-specific immunotherapy. We did not register an increase in IFN-γ and the expected increase in IL-10 and decrease of IL-13. The correlation and principal component analysis showed that the clinical effect of allergen-specific immunotherapy was associated with an increase in TGF-β and IL-12, a moderate increase in asIgG4 with a decrease of IL-4.
CONCLUSION: The results demonstrate the high clinical effectiveness of allergen-specific immunotherapy within 6 months from the moment of its initiation. Significant marker of the effectiveness of allergen-specific immunotherapy at the stage of early tolerance formation is TGF-β, which increasement was in correlation with an increased IL-12 with a decrease of IL-4. The increase in asIgG4 is less pronounced. The conducted correlation and principal component analysis showed the relationship of the discussed biomarkers with the CSMS, which may indicate in favor of their choice as potential biomarkers for assessing the effectiveness of allergen-specific immunotherapy.
Full Text
ОБОСНОВАНИЕ
В настоящее время аллергический ринит является одним из самых распространённых заболеваний человека и наблюдается у пациентов всех стран, характеризующихся самым разным уровнем социально-экономического развития, всех этнических групп и всех возрастов. Согласно результатам эпидемиологических исследований, распространённость аллергического ринита в разных регионах мира составляет от 4 до 32%. В Российской Федерации аллергический ринит наблюдается у 10–24% населения [1], при этом симптомы заболевания значимо снижают качество жизни пациентов, влияя на работоспособность, учёбу, физическую активность и ночной сон. Кроме того, аллергический ринит является важнейшим фактором риска развития бронхиальной астмы, проявления которой отмечаются у 15–38% пациентов с аллергическим ринитом [2].
На современном этапе достигнуты несомненные успехи в терапии аллергического ринита. Согласно современным международным и отечественным согласительным документам, лечение аллергического ринита основывается на ступенчатом подходе к терапии заболевания, в рамках которого выделено четыре ступени фармакотерапии. Каждая ступень предполагает возможность назначения определённого объёма медикаментозных средств патогенетической терапии, а также аллергенспецифической иммунотерапии (АСИТ), которая имеет ряд преимуществ по сравнению с медикаментозными методами лечения. Так, результатом завершения успешных курсов АСИТ являются сохранение длительной ремиссии заболевания, предупреждение расширения спектра аллергенов, к которым формируется сенсибилизация, а также профилактика формирования тяжёлых форм заболевания и перехода более лёгких клинических проявлений аллергии (аллергический ринит) в более тяжёлые (бронхиальная астма). В недавних метаанализах и систематических обзорах Европейской ассоциации аллергологов и клинических иммунологов (European Academy of Allergy and Clinical Immunology, EAACI) убедительно показано, что пациенты с аллергическим ринитом, получающие АСИТ, отмечают значимое уменьшение тяжести аллергического ринита, снижение потребности в фармакотерапии, а также значительное улучшение качества жизни [3]. Кроме того, в отличие от других терапевтических методов, АСИТ является единственным методом терапии, способным модифицировать течение болезни благодаря изменению патологических механизмов, лежащих в основе иммунологических процессов аллергических заболеваний.
К настоящему времени известно, что в ходе проведения АСИТ происходит генерация аллергенспецифических регуляторных T-лимфоцитов (Treg) и B-лимфоцитов (Breg), которые высвобождают супрессорные цитокины IL-10 и трансформирующий ростовой фактор β (TGF-β). Под воздействием Treg и Breg происходит подавление функциональной активности Th2-лимфоцитов, что приводит к снижению синтеза IL-4, IL-5 и IL-13. Совокупность указанных процессов способствует подавлению аллергического воспаления, снижению уровня аллергенспецифических IgE, а также смещению иммунного ответа в сторону Th1-профиля. При этом Вreg играют ключевую роль в формировании иммунной толерантности к аллергенам за счёт синтеза аллергенспецифических IgG4 (asIgG4), которые способны конкурентно связываться с рецепторами Fcε на поверхности тучных клеток и базофилов и подавлять функциональную активность аллергенспецифических IgE [4–6].
В последнее время проводится значительное количество исследований в отношении изучения механизмов реализации терапевтического эффекта АСИТ, однако к настоящему времени не удалось выявить конкретные биомаркеры, позволяющие объективно оценить эффективность такого лечения. Исходя из современных представлений о механизмах АСИТ, последний позиционный документ EAACI «Biomarkers for monitoring clinical efficacy of allergen immunotherapy for allergic rhinoconjunctivitis and allergic asthma» (2017) предлагает ряд показателей-кандидатов для оценки (прогноза) эффективности АСИТ. Все они разделены на 7 доменов: IgE (уровень общего [total] IgE, tIgE; аллергенспецифического IgE, asIgE; их соотношение asIgE/tIgE); IgG-субклассы (специфические к аллергену asIgE, asIgG4, включая соотношение asIgE/asIgG4); инактивирующая активность сыворотки для IgE (IgE-facilitating allergen binding и IgE-binding factor); активация базофилов и клеточные маркеры (Т-регуляторные клетки, В-регуляторные клетки, дендритные клетки), а также биомаркеры in vivo (включая провокационные тесты с аллергенами). Кроме того, среди предполагаемых биомаркеров оценки прогноза и эффективности АСИТ значимое место отводится определению отдельных цитокинов, хемокинов [7]. Предыдущие исследования показали, что повышение количества цитокинов Th1-лимфоцитов в сыворотке крови пациентов с аллергическим ринитом на фоне снижения продукции цитокинов Th2-лимфоцитов, а также определение противовоспалительных (иммуносупрессорных) цитокинов IL-10, TGF-β могут быть прогностически значимыми [8].
Таким образом, в настоящее время является перспективным изучение уровня расширенного спектра цитокинов Th1, Th2, Treg и Breg на фоне АСИТ, а также asIgG4, что позволяет уточнить механизмы эффективности АСИТ у больных аллергическим ринитом.
Цель исследования — оценить клиническую эффективность аллергенспецифической иммунотерапии у пациентов с аллергическим ринитом и, проанализировав динамику уровня отдельных цитокинов и asIgG4 через 6 месяцев после инициации АСИТ, выявить наиболее значимые биомаркеры формирования ранней иммунологической толерантности.
МАТЕРИАЛЫ И МЕТОДЫ
Дизайн исследования
Обсервационное одноцентровое проспективное сплошное неконтролируемое.
Критерии соответствия
Критерии включения: возраст пациентов от 18 до 65 лет; установленный диагноз аллергического ринита; полученное добровольное информированное согласие;
Критерии исключения: проведение АСИТ на момент осмотра; проведение АСИТ в предыдущие 5 лет.
Условия проведения
Исследование проведено на базе Республиканского центра клинической иммунологии ГАУЗ «Республиканская клиническая больница» Министерства здравоохранения Республики Татарстан (Казань).
Продолжительность исследования
Продолжительность исследования для всех пациентов составила 6 месяцев. Пациенты, получающие препарат Сталораль «Аллерген пыльцы берёзы», находились под наблюдением с января по май 2023 года, в случае назначения препаратов Оралейр «Аллерген пыльцы луговых трав» или Сталораль «Аллерген клещей» — с февраля по июль 2023 года.
Описание медицинского вмешательства
Нами обследовано 47 пациентов с аллергическим ринитом в возрасте от 19 до 62 лет, которым в качестве патогенетической терапии аллергического ринита был назначен сублингвальный вариант АСИТ. С учётом критериев включения и исключения в исследование вошли 30 пациентов.
Диагноз «Аллергический ринит» был установлен согласно принятым стандартам диагностики заболевания с применением общеклинических и специфических методов обследования. Общеклинические методы включали оценку жалоб пациента, анамнез заболевания, результаты лабораторных (общий анализ крови с лейкоформулой, риноцитограмма) и инструментальных (передняя риноскопия) методов исследования. В свою очередь специ-фическое аллергологическое обследование проводилось в условиях аллергологического кабинета и включало постановку кожных тестов с неинфекционными аллергенами, а также исследование уровня аллергенспецифических IgE (sIgE).
В последующем всем пациентам в период клинической ремиссии заболевания с учётом показаний и противопоказаний был назначен курс АСИТ с использованием стандартизованных лечебных аллергенов для сублингвального применения (Stallergenes, Франция) согласно инструкции производителя. Таким образом, 26 (86,7%) пациентов получали лечение Сталораль «Аллерген пыльцы берёзы», 3 (10,0%) — препарат Оралейр «Аллерген пыльцы луговых трав», 1 (3,3%) — Сталораль «Аллерген клещей».
Оценка клинической эффективности АСИТ проводилась с помощью рекомендованной EAACI валидизированной комбинированной шкалы CSMS (Combined symptom medication score), которая представляет собой инструмент, содержащий вопросы о степени выраженности назальных и глазных симптомов по трёхбалльной шкале (где 0 — симптомы отсутствуют, 1 — лёгкие симптомы, 2 — умеренные симптомы, 3 — выраженные проявления) с расчётом среднего балла — dSS (от 0 до 3 баллов), а также потребности в медикаментозной терапии — dMS с подсчётом балла, характеризующего объём медикаментозного лечения (также по трёхбалльной шкале). При этом общий балл представлял собой сумму dSS и dMS (от 0 до 6 баллов) [9]. Таким образом, регистрация общего балла шкалы CSMS у пациентов с аллергическим ринитом проводилась исходно, а также спустя 6 месяцев от начала АСИТ. Снижение значения общего балла данной шкалы свидетельствовало об уменьшении интенсивности симптомов заболевания и потребности в медикаментозной терапии.
Кроме того, до начала инициации АСИТ всем пациентам было проведено дополнительное обследование c определением уровня отдельных цитокинов и содержания asIgG4 в сыворотке крови. Уровни IL-4, IL-13, интерферона гамма (IFN-γ), IL-12, IL-10, TGF-β, sIgG4 измеряли с помощью иммуноферментного анализа (ELISA) в соответствии с протоколами производителя: «IL-4, IL-10, IFN-γ — ELISA kit» (пг/мл), Вектор-Бест, Россия; «IL-13, IL-12p70, TGF-β — ELISA kit» (пг/мл), RayBiotech, США; тест-система с набором реагентов «sIgG4-ELISA», Dr. Fooke Laboratorien GmbH, Германия; аллергены (Dermatophagoides pteronyssinus, берёза белая, тимофеевка луговая), сорбированные в микрострипе для определения asIgG4 (нг/мл), Dr. Fooke Laboratorien GmbH, Германия. Повторное определение уровня указанных биомаркеров в сыворотке крови у пациентов с аллергическим ринитом проводилось спустя 6 месяцев от начала проведения АСИТ.
Основной исход исследования
В ходе исследования получены результаты оценки клинической эффективности АСИТ с помощью валидизированного опросника CSMS, а также проведён анализ динамики цитокинового профиля и уровня asIgG4 через 6 месяцев от начала инициации сублингвального варианта АСИТ.
Дополнительные исходы исследования
Дополнительные исходы исследования отсутствуют.
Анализ в подгруппах
Исследование не предполагало выделения подгрупп пациентов.
Методы регистрации исходов
Для регистрации исходов нами была разработана индивидуальная карта пациента, включающая данные общеклинического и специфического аллергологического обследования, результаты шкалы CSMS, а также значения уровня изучаемых цитокинов (пг/мл) и asIgG4 (нг/мл).
Этическая экспертиза
Исследование одобрено локальным этическим комитетом ФГБОУ ВО «Казанский государственный медицинский университет» МЗ РФ (протокол № 3 от 21.03.2023).
Статистический анализ
Размер выборки предварительно не рассчитывался.
Статистический анализ полученных данных проводился с использованием программы STATISTICA 10 (TIBCO Software Inc., Palo Alto, США). Проверку на нормальность распределений признаков осуществляли с помощью W-теста Шапиро–Уилка. Описательный анализ включал расчёт медианы и квартилей (Me [Q1; Q3]) для ненормально и несимметрично распределённых параметров. Достоверность различий между зависимыми выборками оценивали с помощью критерия Вилкоксона.
Для оценки линейной зависимости между двумя непрерывными переменными использовали ранговый коэффициент корреляции Спирмена (r). При этом критический уровень значимости (р) при проверке статистических гипотез в исследовании принимали равным 0,05 [10].
В последующем с целью оценки влияния АСИТ на уровень отдельных цитокинов и содержание аллергенспецифических IgG4 в сыворотке крови пациентов с аллергическим ринитом был применён метод многомерного анализа данных — метод главных компонент (МГК), в результате которого была построена МГК-модель на двух значимых главных компонентах. Данные были масштабированы в единицах стандартных отклонений, проверка модели осуществлялась методом кросс-валидации [11].
РЕЗУЛЬТАТЫ
Объекты (участники) исследования
С учётом критериев включения и исключения в исследование вошли 30 пациентов с аллергическим ринитом в возрасте от 19 до 60 лет (27 [19; 35]), из них 16 (53,3%) женщин и 14 (46,7%) мужчин. Результаты проведённого обследования показали, что подавляющее число пациентов (20; 66,7%) страдали персистирующей и лишь 10 (33,3%) — интермиттирующей формой аллергического ринита, при этом у всех пациентов наблюдалось среднетяжёлое течение заболевания.
В структуре сопутствующей патологии превалировал аллергический конъюнктивит (14; 46,7%); у 3 (10,0%) пациентов симптомы аллергического ринита сочетались с клиническими проявлениями атопического дерматита.
Анализ данных специфического аллергологического обследования показал, что значительная часть пациентов имела сенсибилизацию к группе пыльцевых аллергенов (29; 96,7%), из них у большинства выявлена сенсибилизация к аллергенам пыльцы деревьев (26; 86,7%). Сенсибилизация к аллергенам луговых и сорных трав также наблюдалась в значительном числе случаев — у 17 (56,7%) и 13 (43,3%) пациентов соответственно, реже — к бытовым и эпидермальным аллергенам — у 6 (20,0%) и 4 (13,3%). При этом полисенсибилизация отмечалась у 20 (66,7%) пациентов.
С учётом клинической значимости выявленной сенсибилизации нами был выбран препарат для проведения АСИТ.
Основные результаты исследования
Показатели данных шкалы CSMS у пациентов с аллергическим ринитом исходно отражали высокий уровень выраженности клинических проявлений риноконъюнктивита и потребности в медикаментозной терапии (3,75 [3, 33; 4, 5] балла), при этом отмечались более значимые проявления таких симптомов аллергического ринита, как чихание и водянистые выделения из носа. Так, исходно пациенты с аллергическим ринитом оценивали интенсивность чихания в 3,00 [2; 3] балла, что фактически соответствует максимальным значениям шкалы CSMS, а интенсивность водянистых выделений из носа — в 2,50 [1; 3] балла; в свою очередь интенсивность заложенности носа, которая также значимо влияет на качество жизни пациентов с аллергическим ринитом, соответствовала 2,00 [2; 3] баллам. Аналогичные данные получены и в отношении зуда в полости носа — 2,00 [1; 2] балла (табл. 1). Симптомы аллергического конъюнктивита (зуд/покраснение глаз, слезотечение) пациенты с сочетанной патологией (14; 46,7%) оценивали в 2,50 [1; 3] и 2,00 [1; 3] балла соответственно (см. табл. 1).
Таблица 1. Показатели шкалы CSMS исходно и спустя 6 месяцев от начала аллергенспецифической иммунотерапии (n=30) Table 1. Indicators of the CSMS scale at baseline and 6 months after the start of allergen-specific immunotherapy (n=30) | |||
Показатели шкалы CSMS | Данные, Me [Q1; Q2] | р | |
Исходно | Через 6 мес | ||
Зуд в полости носа | 2,00 [1; 2] | 1,00 [0; 1] | 0,000477* |
Чихание | 3,00 [2; 3] | 1,00 [1; 2] | 0,000270* |
Ринорея | 2,50 [1; 3] | 1,00 [0; 1] | 0,000201* |
Заложенность носа | 2,00 [2; 3] | 1,00 [1; 1] | 0,000099** |
Зуд/покраснение глаз | 2,50 [1; 3] | 1,00 [0; 1] | 0,000193* |
Слезотечение | 2,00 [1; 3] | 0,00 [0; 1] | 0,000080** |
dSS | 0,000003** | ||
dMS | 2,00 [1; 2] | 1,00 [0; 2] | 0,000196* |
Общий балл (dSS+dMS) | 0,000002** | ||
Примечание. * p <0,001; ** p <0,0001 (статистическая значимость рассчитана с использованием критерия Вилкоксона). Note. * p <0.001; ** p <0.0001 (Statistical significance was calculated using the Wilcoxon test). | |||
Уже через 6 месяцев от момента инициации АСИТ у всех пациентов с аллергическим ринитом было зарегистрировано значимое уменьшение выраженности назальных и конъюнктивальных симптомов, а также сокращение объёма медикаментозной терапии аллергического ринита. Общий балл CSMS соответствовал 1,83 [1, 17; 2, 67] (p=0,000002), при этом отмечено существенное уменьшение кратности чихания и интенсивности ринореи до 1,00 [1; 2] (p=0,000270) и 1,00 [0; 1] (p=0,000201) соответственно. Сопоставимые данные были получены и в отношении симптомов заложенности и зуда полости носа, интенсивность которых оценивалась в 1,00 [1; 1] (p=0,000099) и 1,00 [0; 1] (p=0,000477) балл соответственно (см. табл. 1). Важно отметить, что через 6 месяцев терапии зарегистрировано значимое уменьшение выраженности симптомов сопутствующего конъюнктивита: интенсивность слезотечения снизилась до 0,00 [0; 1] (p=0,000080), а зуда/покраснения глаз — до 1,00 [0; 1] балла (p=0,000193) (см. табл. 1). Таким образом, полученные данные продемонстрировали высокую клиническую эффективность АСИТ уже через 6 месяцев от момента инициации терапии.
Одновременно с оценкой клинической эффективности АСИТ нами выполнено исследование уровня отдельных цитокинов, секретируемых основными адаптивными субпопуляциями лимфоцитов: Th1 (IFN-γ), Th2 (IL-4 и IL-13), IL-12, продуцируемого антигенпрезентирующими дендритными клетками, а также IL-10 и TGF-β, секретируемых Тreg- и Breg-лимфоцитами. Кроме того, нами были исследованы уровни аллергенспецифических IgG4 исходно и через 6 месяцев от начала АСИТ.
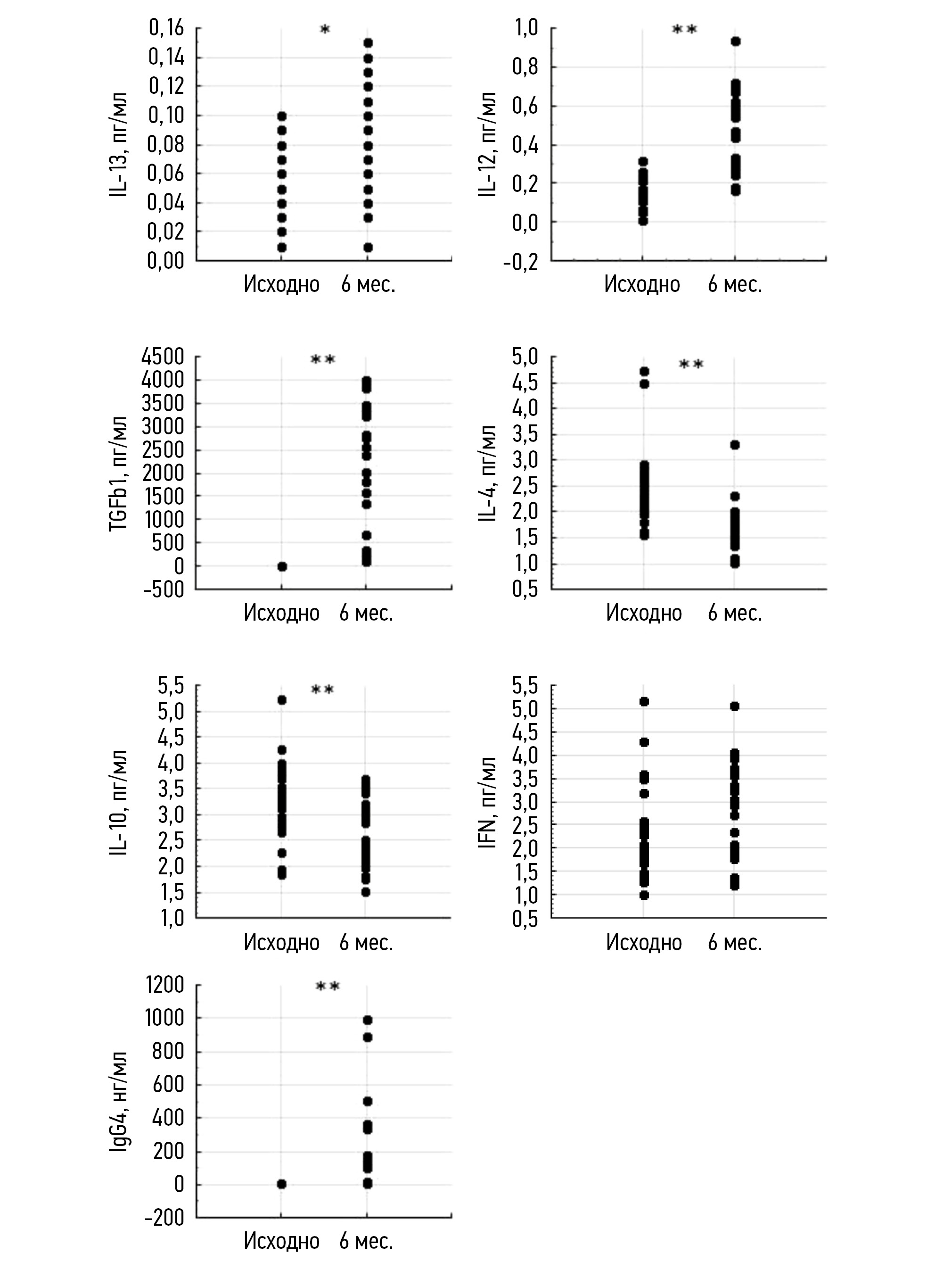
Анализ полученных результатов показал, что уровни IL-12 и IFN-γ исходно у пациентов с аллергическим ринитом составляли 0,140 пг/мл [0, 11; 0, 22] и 1,990 пг/мл [1, 39; 2, 49] соответственно. Спустя 6 месяцев отмечено статистически значимое повышение уровня IL-12 до 0,56 пг/мл [0, 30; 0, 68] (p=0,000002), при этом отмечалась тенденция к повышению уровня IFN-γ до 2,36 пг/мл [1, 88; 3, 57], однако статистической значимости различий полученных данных выявить не удалось (рис. 1).
Ожидаемой оказалась динамика ключевого цитокина Th2-лимфоцитов — IL-4, исходный уровень которого у пациентов с аллергическим ринитом соответствовал 2,240 пг/мл [2, 07; 2, 52], а уже через 6 месяцев от момента инициации АСИТ статистически значимо снизился до 1,69 [1, 46; 1, 85] (p=0,000024). В то же время динамика другого цитокина Th2-лимфоцитов — IL-13 — продемонстрировала повышение по сравнению с исходным уровнем. Так, если изначально уровень IL-13 соответствовал 0,030 пг/мл [0, 03; 0, 05], то через 6 месяцев от начала АСИТ его значения увеличились до 0,08 пг/мл [0, 04; 0, 11] (p=0,000541) (см. рис. 1).
Учитывая известные механизмы влияния АСИТ на иммунологические процессы при аллергических заболеваниях, особое внимание мы уделили исследованию уровня супрессорных противовоспалительных цитокинов TGF-β и IL-10. Анализ полученных результатов показал, что исходно значения TGF-β соответствовали 9,060 пг/мл [7, 90; 10, 21], IL-10 — 3,375 пг/мл [2, 91; 3, 79]. Спустя 6 месяцев от начала АСИТ нами зарегистрировано существенное увеличение уровня TGF-β — 2008,51 пг/мл [355, 6; 3364, 17] (p=0,000002), что косвенно может указывать на активацию в первую очередь T-регуляторных клеток. В то же время ожидаемого повышения уровня IL-10 выявить не удалось. Напротив, отмечалась тенденция к его снижению до 2,38 пг/мл [2, 03; 3, 00] (см. рис. 1). Кроме того, лечение обусловило статистически значимое увеличение уровня другого известного биомаркера эффективности АСИТ — аллергенспецифического IgG4. Так, исходный уровень asIgG4 соответствовал 5,050 нг/мл [4, 30; 7, 90], а уже через 6 месяцев лечения его значения достигали 14,95 нг/мл [12, 10; 163, 35] (p=0,000003) (см. рис. 1).
Рис. 1. Динамика цитокинового профиля и asIgG4. (Статистическая значимость рассчитана с использованием критерия Вилкоксона. Критический уровень значимости при проверке статистических гипотез в исследовании принимали равным 0,05: * p <0,001 и ** p <0,0001).
Fig. 1. Dynamics of the cytokine profile and asIgG4. (Statistical significance was calculated using the Wilcoxon test. The critical level of significance when testing statistical hypotheses in the study was taken equal to 0.05: * p <0,001 и ** p <0,0001).
Следующим этапом нашей работы стала попытка выявить взаимосвязь между полученными изменениями цитокинового профиля, уровнем asIgG4 и клиническими параметрами эффективности АСИТ, которые оценивались по шкале CSMS. С этой целью нами проведён корреляционный анализ, а также применён метод главных компонент.
В результате проведённого анализа нам удалось выявить отрицательную корреляционную связь умеренной силы между общим баллом шкалы CSMS и уровнем IL-12 (r=-0,625; p=0,0000001), TGF-β (r=-0,640; p=0,0000000), а также asIgG4 (r=-0,529; p=0,0000139). Кроме того, нами установлена положительная корреляционная связь умеренной силы между показателем общего балла шкалы CSMS и уровнем IL-4 (r=+0,601; p=0,0000004). В свою очередь уровни IL-10 и IL-13 имели слабую корреляционную связь со значениями общего балла шкалы CSMS (r=+0,411; p=0,0010953, и r=-0,296; p=0,0217631, соответственно), а между значениями общего балла шкалы СSMS и IFN-γ какой-либо взаимосвязи установить не удалось (r=-0,055; p=0,6776907) (табл. 2).
Таблица 2. Взаимосвязь уровней цитокинов и данных шкалы CSMS (n=30) Table 2. Relationship between cytokine levels and CSMS scale data (n=30) | |||
Биомаркер эффективности АСИТ | Коэффициент корреляции Спирмена (r) | ||
dSS | dMS | Общий балл (SS+MS) | |
IL-13 | -0,287 | -0,188 | -0,296 |
p=0,0260302* | p=0,1493700 | p=0,0217631* | |
IL-12 | -0,536 | -0,472 | -0,625 |
p=0,0000103* | p=0,0001389* | p=0,0000001* | |
TGF-β1 | -0,641 | -0,405 | -0,640 |
p=0,0000000* | p=0,0013316* | p=0,0000000* | |
IL-4 | 0,553 | 0,444 | 0,601 |
p=0,0000047* | p=0,0003764* | p=0,0000004* | |
IL-10 | 0,306 | 0,365 | 0,411 |
p=0,0174698* | p=0,0041818* | p=0,0010953* | |
IFN | -0,119 | 0,023 | -0,055 |
p=0,3635124 | p=0,8635735 | p=0,6776907 | |
asIgG4 | -0,496 | -0,366 | -0,529 |
p=0,0000553* | p=0,0040692* | p=0,0000139* | |
Примечание. * p <0,05. Линейная зависимость между непрерывными переменными рассчитана с помощью рангового коэффициента корреляции Спирмена (r). АСИТ ― аллергенспецифическая иммунотерапия. Note. * p <0.05. Linear relationships between continuous variables were calculated using Spearman's rank correlation coefficient (r). АСИТ ― allergen-specific immunotherapy. | |||
В дополнение к корреляционному анализу для решения поставленных задач нами был применён метод главных компонент. Интерпретация МГК-модели проводилась одновременно по двум графикам — счетов (координаты наблюдений) и нагрузок (координаты переменных) — в пространстве главных компонент (рис. 2). Так, кластер красного цвета представляет собой наблюдения до назначения АСИТ, а кластер зелёного цвета — спустя 6 месяцев от начала инициации иммунотерапии. Подобное расположение кластеров по разные стороны от начала координат свидетельствует о значимом изменении изучаемых параметров у наблюдаемых пациентов в процессе проведения АСИТ.
Рис. 2. График счетов в пространстве ГК1–ГК2. ГК1/2 ― первая/вторая главная компонента.
Fig. 2. Graph of accounts in the space GK1–GK2. ГК1/2 ― first/second principal component.
Рис. 3. График нагрузок в пространстве ГК1–ГК2. ГК1/2 ― первая/вторая главная компонента.
Fig. 3. Graph of loads in the space GK1–GK2. ГК1/2 ― first/second principal component.
В свою очередь график нагрузок позволяет интерпретировать скрытую первую главную компоненту (ГК1), которая показывает, каким образом АСИТ влияет на изучаемые параметры (рис. 3). Из рисунка видно, что в процессе проведения иммунотерапии аллергенами тесно взаимосвязанными оказались такие переменные, как показатель общего балла шкалы CSMS и уровни цитокинов IL-12 и TGF-β, поскольку все они имеют нагрузки выше 0,7 по обе стороны оси ГК1. Таким образом, мы видим, что через 6 месяцев после инициации АСИТ общий балл шкалы CSMS снижается, а показатели IL-12 и TGF-β, напротив, возрастают.
Вторая главная компонента (ГК2) перпендикулярна первой и, следовательно, свидетельствует об отсутствии связи отдельных изучаемых параметров с проводимой АСИТ. Так, значения IFN-γ, имеющие максимальную нагрузку на эту ось, можно считать не изменяющимися в процессе лечения. В свою очередь переменные, характеризующие уровни IL-10, IL-13 и IL-4, имеют перекрёстные нагрузки на обе главные компоненты, что свидетельствует о меньшей степени влияния изменений уровня указанных цитокинов на результат лечения. Наименьшую нагрузку на обе главные компоненты (ГК1 и ГК2) имеет asIgG4, из чего следует, что повышение указанного параметра не столь значимо влияет на исход лечения пациентов с аллергическим ринитом через 6 месяцев от начала АСИТ. Кроме того, можно отметить, что близкое взаимное расположение на графике нагрузок таких пар цитокинов, как IL-10 и IL-4, а также IL-12 и TGF-β, свидетельствует об их положительной корреляции.
Дополнительные результаты исследования
Дополнительные результаты исследования не зафиксированы.
Нежелательные явления
Нежелательные явления отсутствовали.
ОБСУЖДЕНИЕ
Резюме основного результата исследования
Продемонстрирована клиническая эффективность АСИТ. Представлены данные о динамике цитокинового профиля у пациентов с аллергическим ринитом через 6 месяцев после инициации АСИТ, выделены наиболее значимые биомаркеры терапевтической эффективности иммунотерапии аллергенами на этапе формирования ранней толерантности.
Обсуждение основного результата исследования
Высокая эффективность АСИТ у пациентов с аллергическим ринитом к настоящему времени доказана в многочисленных клинических исследованиях и мета-анализах, однако в реальной клинической практике АСИТ применяется недостаточно и, по оценкам специалистов, используется менее чем у 10% пациентов [12]. Полученные нами данные также свидетельствуют о положительном клиническом эффекте АСИТ у пациентов с аллергическим ринитом. Так, согласно результатам анализа данных комбинированной шкалы CSMS, уже через 6 месяцев от начала АСИТ у 100% пациентов отмечалось значимое уменьшение выраженности всех клинических симптомов аллергического ринита, а также сопутствующего аллергического конъюнктивита, что закономерно приводило к снижению потребности в медикаментозной терапии. В то же время ранее опубликованные нами данные показывают, что количество пациентов с аллергическим ринитом, получающих АСИТ в Республике Татарстан, составляет не более 19,5% [13]. Между тем известно, что АСИТ является единственным методом патогенетической терапии аллергического ринита, который способен привести к реконструкции иммунного ответа. В исследованиях последних лет были изучены клеточные и молекулярные механизмы, лежащие в основе формирования клинической толерантности при проведении АСИТ. Было показано, что эти механизмы реализуются путём сложного взаимодействия между различными клетками врождённого и адаптивного иммунитета посредством спектра продуцируемых ими цитокинов. В соответствии с современными представлениями, известно, что в процессе проведения АСИТ происходит генерация адаптивных регуляторных Т-клеток (Treg), секретирующих супрессорные цитокины IL-10 и TGF-β, что приводит к изменению баланса между клетками Th2 и Treg в пользу последних [14]. В нашем исследовании также удалось продемонстрировать существенное увеличение уровня TGF-β, значения которого достигали 2008,51 пг/мл [355, 6; 3364, 17] (p=0,000002) уже через 6 месяцев от начала проведения АСИТ, что косвенно свидетельствует об активации Treg-лимфоцитов. При этом важно отметить, что нами была обнаружена взаимосвязь между динамикой уровня TGF-β и клиническим эффектом проводимого лечения, оценённого по шкале CSMS (r=-0,640; p=0,0000000), которая подтверждается при анализе графика нагрузок построенной МГК-модели. В целом аналогичные данные были получены и другими авторами. Так, в исследовании G. Ciprandi и соавт. [15] зарегистрировано статистически значимое повышение уровня TGF-β в сыворотке крови пациентов уже после первого года проведения предсезонно-сезонного сублингвального варианта АСИТ (СЛИТ) пыльцевыми аллергенами. В то же время увеличения уровня сывороточного IL-10 спустя 6 месяцев после инициации терапии авторам получить не удалось. По данным других авторов, использующих метод регистрации цитокинов в стимулированной аллергеном культуре мононуклеаров периферической крови пациентов с аллергическим ринитом, увеличение продукции IL-10 было зафиксировано только ко второму году проведения сублингвального варианта АСИТ. При этом на сроках 4, 6 и 12 месяцев от начала инициации АСИТ фиксировались исключительно низкие значения IL-10. В нашем исследовании уровень IL-10 через 6 месяцев после инициации АСИТ также соответствовал низким значениям. Исходя из приведённых данных, очевидно, следует предполагать, что статистически значимое увеличение IL-10 в сыворотке крови пациентов, получающих АСИТ, можно ожидать не ранее чем через 1 год от момента инициации терапии [16, 17].
Периферическая Т-клеточная толерантность на фоне проведения АСИТ характеризуется не только увеличением числа регуляторных Т-клеток, но и поляризацией иммунного ответа в сторону Т1-типа [14, 18]. Подавление активности Th2 с последующей генерацией Th1 приводит к изменению цитокинового профиля в сторону снижения уровней IL-4 и IL-13 и повышения концентрации IFN-γ в сыворотке крови, что способствует в дальнейшем подавлению аллергического воспаления и снижению выработки аллергенспецифических IgE [6]. В нашем исследовании также было зарегистрировано статистически значимое снижение уровня IL-4 (p=0,000024) уже через 6 месяцев после инициации АСИТ, при этом в ходе корреляционного анализа выявлено, что полученная динамика уровня IL-4 в процессе АСИТ имела взаимосвязь с её клиническим эффектом по данным шкалы CSMS (r=+0,601; p=0,0000004). В свою очередь уровень другого цитокина — IL-13, секретируемого Тh2-лимфоцитами, в нашем исследовании не только не снижался, но даже несколько повышался по сравнению с исходным значением. Однако указанная тенденция, согласно данным корреляционного и МГК-анализа, не столь значимо влияла на исход проведённой АСИТ. Следует отметить, что аналогичные результаты сообщались ранее и другими авторами. Так, S. Keles с соавт. [19] провели регистрацию уровня IL-13 в стимулированной аллергеном культуре мононуклеаров периферической крови пациентов, получающих сублингвальный вариант иммунотерапии аллергенами, и продемонстрировали высокую продукцию IL-13 спустя 4 и 12 месяцев от начала АСИТ.
В свою очередь при регистрации уровня IL-12 спустя 6 месяцев от начала АСИТ нами было зафиксировано значимое повышение его уровня. Кроме того, согласно данным корреляционного анализа и интерпретации графика нагрузок построенной МГК-модели, повышение уровня IL-12 было тесно взаимосвязано с изменением уровня TGF-β, а также с клинической эффективностью проводимого лечения. Известно, что IL-12 вызывает дифференцировку Th1-клеток, ингибирует развитие Th2-лимфоцитов, стимулирует секрецию Th1-лимфоцитами IFN-γ [20]. Однако в нашем исследовании статистически значимого повышения уровня сывороточного IFN-γ нам получить не удалось, хотя он имел определённую тенденцию к увеличению. Повышение IFN-γ не имело связи и с клиническим исходом АСИТ. Следует отметить, что о подобных результатах ранее сообщалось другими авторами, которые при исследовании динамики сывороточной концентрации IFN-γ у пациентов с аллергическим ринитом, получающих СЛИТ, также не обнаружили статистически значимого повышения указанного параметра спустя 6 месяцев применения СЛИТ, а проведённый корреляционный анализ не выявил связи между динамикой IFN-γ и клиническим эффектом иммунотерапии аллергенами [21].
В дополнение к Treg в подавлении Th2-ассоциированного иммунного ответа существенное значение принадлежит В-регуляторным клеткам (Breg), которые играют важную роль в подавлении синтеза IgE и индукции выработки IgG4. В свою очередь IgG4 могут индуцировать иммунологическую толерантность, предотвращая активацию базофилов и тучных клеток за счёт конкуренции со специ- фическими IgE за связь с аллергеном [18]. В нашем исследовании было продемонстрировано статистически значимое увеличение asIgG4 по сравнению с исходными данными (p=0,000003). Кроме того, была установлена отрицательная корреляционная связь умеренной силы между значениями asIgG4 и показателями комбинированной шкалы CSMS. Эти данные были подтверждены результатами проведённого в последующем МГК-анализа, который показал, что повышение концентрации asIgG4 спустя 6 месяцев от начала АСИТ влияет на клинический исход лечения, однако в меньшей степени, чем изменение уровня TGF-β. В целом аналогичные данные получены в исследовании А.Ю. Насуновой и Н.М. Ненашевой [22], которым удалось зарегистрировать статистически значимое (в 1,6–2 раза) увеличение IgG4 в сыворотке крови пациентов с аллергическим ринитом и/или бронхиальной астмой, при этом была выявлена корреляционная связь умеренной силы между увеличением уровня IgG4 и выраженностью клинических симптомов аллергического риноконъюнктивита. Стойкое повышение уровня сывороточного asIgG4 в течение 3 лет использования СЛИТ пыльцевыми аллергенами продемонстрировали в своей работе J.J. Heeringa в соавт. [17].
Таким образом, анализ полученных результатов показал, что АСИТ является высокоэффективным методом патогенетического лечения пациентов с аллергическим ринитом. Положительная динамика всех симптомов аллергического ринита отмечается уже через 6 месяцев от момента её инициации. Выраженный терапевтический эффект АСИТ у пациентов с аллергическим ринитом был ассоциирован со статистически значимым повышением уровней TGF-β, IL-12, а также умеренным повышением аллергенспецифических IgG4 при снижении уровня IL-4, что позволяет сделать вывод о клинической значимости указанных маркеров при формировании ранней толерантности к аллергенам.
Ограничения исследования
При проведении исследования предварительный расчёт размера выборки не проводился. В результате полученная в ходе исследования выборка участников не может считаться в достаточной степени репрезентативной, что не позволяет в полной мере провести экстраполяцию полученных результатов на генеральную совокупность аналогичных пациентов за пределами исследования.
ЗАКЛЮЧЕНИЕ
Полученные в проведённом нами исследовании данные демонстрируют высокую клиническую эффективность сублингвального варианта АСИТ уже через 6 месяцев от момента её инициации. Наиболее значимым маркером эффективности иммунотерапии аллергенами на этапе формирования ранней толерантности является TGF-β, повышение которого находилось в тесной взаимосвязи с повышенным уровнем IL-12 при снижении значений IL-4. Увеличение продукции asIgG4 на указанных сроках выражено в меньшей степени: очевидно, этот биомаркер эффективности АСИТ имеет большее значение на более поздних сроках формирования иммунологической толерантности.
Проведённый корреляционный и МГК-анализ показал взаимосвязь параметров обсуждаемых биомаркеров с положительной динамикой основных симптомов аллергического ринита, что может указывать в пользу их выбора как потенциальных биомаркеров для оценки клинической эффективности АСИТ.
ДОПОЛНИТЕЛЬНАЯ ИНФОРМАЦИЯ
Источник финансирования. Исследование и публикация статьи осуществлены при поддержке гранта ФГБОУ ВО «Казанский государственный медицинский университет» № 2/22-10 от 02.08.2022.
Конфликт интересов. Авторы декларируют отсутствие явных и потенциальных конфликтов интересов, связанных с публикацией настоящей статьи.
Вклад авторов. Все авторы подтверждают соответствие своего авторства международным критериям ICMJE (все авторы внесли существенный вклад в разработку концепции, проведение исследования и подготовку статьи, прочли и одобрили финальную версию перед публикацией). Наибольший вклад распределён следующим образом: Д.А. Волкова — обследование и подбор пациентов, сбор первичного материала, аналитическая оценка результатов, обзор литературы, написание текста статьи; Г.Р. Бикчантаева — проведение лабораторного анализа биологического материала (сыворотки крови пациентов); А.В. Лунцов, О.А. Барейчева — обследование и подбор пациентов; Н.Н. Умарова — статистическая обработка данных; О.В. Скороходкина — планирование и руководство исследованием, участие в описании и анализе полученных результатов, участие в написании рукописи и окончательное утверждении её для публикации.
ADDITIONAL INFORMATION
Funding source. The study was supported financially by the Kazan State Medical University of the Ministry of Healthcare of the Russian Federation (Grant No. 2/22-10 dated August 8, 2022).
Competing interests. The authors declare that they have no competing interests.
Authors' contribution. All authors made a substantial contribution to the conception of the work, acquisition, analysis, interpretation of data for the work, drafting and revising the work, final approval of the version to be published and agree to be accountable for all aspects of the work. D.A. Volkova — examination and selection of patients, collection of primary material, analytical assessment of results, literature review, writing of the article text; G.R. Bikchantaeva — conducting laboratory analysis of biological material (patients’ blood serum); A.V. Luntsov, O.A. Bareycheva — examination and selection of patients; N.N. Umarova — statistical data processing; O.V. Skorokhodkina — planning and management of the study, participation in the description and analysis of the results, writing of the article, final approval of it for publication.
About the authors
Daria A. Volkova
Kazan State Medical University
Author for correspondence.
Email: volkdash190296@gmail.com
ORCID iD: 0000-0001-5262-8420
SPIN-code: 2030-1753
Россия, Kazan
Gulnara R. Bikchantaeva
Republican Clinical Hospital of the Republic of Tatarstan Ministry of Health
Email: grlki564@yandex.ru
ORCID iD: 0009-0006-5066-814X
SPIN-code: 2216-5197
Россия, Kazan
Alexey V. Luntsov
Republican Clinical Hospital of the Republic of Tatarstan Ministry of Health
Email: luntsov@gmail.com
ORCID iD: 0000-0003-2552-2107
SPIN-code: 7076-1967
MD, Cand. Sci. (Med.)
Россия, KazanOlga A. Bareycheva
Republican Clinical Hospital of the Republic of Tatarstan Ministry of Health
Email: olga-alex21@mail.ru
ORCID iD: 0000-0002-1419-8746
SPIN-code: 8728-8883
Россия, Kazan
Nailya N. Umarova
Kazan National Research Technological University
Email: nailyaumarova@yandex.ru
ORCID iD: 0000-0002-4284-6034
SPIN-code: 5597-2620
Cand. Sci. (Chem.), Assistant Professor
Россия, KazanOlesya V. Skorokhodkina
Kazan State Medical University
Email: olesya-27@rambler.ru
ORCID iD: 0000-0001-5793-5753
SPIN-code: 8649-6138
MD, Dr. Sci. (Med.), Professor
Россия, KazanReferences
- Astaf’eva NG, Baranov AA, Vishneva EA, et al. Allergic rhinitis. Russ J Allergy. 2022;19(1):100–141. EDN: WGQIPE doi: 10.36691/RJA1524
- Allergic rhinitis. Draft clinical guidelines. 2023. (In Russ). Available from: https://raaci.ru/education/clinic_recomendations/471.html. Accessed: 02.01.2024.
- Agache I, Akdis CA, Chivato T, et al. EAACI white paper on research, innovation and quality care. 2018. Available from: https://hub.eaaci.org/education_books/eaaci-white-paper/. Accessed: 02.01.2024.
- Akdis CA, Akdis M. Mechanisms of allergen-specific immunotherapy and immune tolerance to allergens. World Allergy Organ J. 2015;8(1):17. doi: 10.1186/s40413-015-0063-2
- Kappen JH, Durham SR, Veen HI, Shamji MH. Applications and mechanisms of immunotherapy in allergic rhinitis and asthma. Ther Adv Respir Dis. 2017;11(1):73–86. EDN: YBCMLT doi: 10.1177/1753465816669662
- Alvaro-Lozano M, Akdis CA, Akdis M, et al. EAACI allergen immunotherapy user's guide. Pediatr Allergy Immunol. 2020;31(Suppl 25):1–101. doi: 10.1111/pai.13189
- Shamji MH, Kappen JH, Akdis M, et al. Biomarkers for monitoring clinical efficacy of allergen immunotherapy for allergic rhinoconjunctivitis and allergic asthma: An EAACI Position Paper. Allergy. 2017;72(8):1156–1173. EDN: YEVYBI doi: 10.1111/all.13138
- Pavlova KS, Kurbacheva OM, Galickaja MA, Smirnov DS. Actual conception of allergen-specific immunotherapy mechanisms, potential biomarkers of efficacy and ways of enhancement. Russ J Allergy. 2017;14(4-5):5–17. EDN: ZXHMGV doi: 10.36691/RJA290
- Pfaar O, Demoly P, Gerth van Wijk R, et al. Recommendations for the standardization of clinical outcomes used in allergen immunotherapy trials for allergic rhinoconjunctivitis: An EAACI Position Paper. Allergy. 2014;69(7):854–867. EDN: UQGPMP doi: 10.1111/all.12383
- Rebrova OJ. Statistical analysis of medical data. Application of the Statistica application programme package. Moscow: Media Sfera; 2002. 305 р. (In Russ).
- Otto M. Chemometrics: Statistics and computer application in analytical chemistry, third edition. Germany: Wiley-VCH Verlag GmbH & Co; 2017. 385 р.
- Kurbacheva OM, Pavlova KS, Galickaja МА. Allergen-specific immunotherapy. Analytic review of current international and Russian Federal position papers. Russ J Allergy. 2017;14(1):24–32. EDN: YOCWCF
- Volkova DA, Skorohodkina OV, Luncov AV, Bikchantaeva GR. Diagnosis and treatment of patients with allergic rhinitis in real clinical practice (based on database analysis). Prakticheskaja allergologija. 2023;(2):68–74. EDN: GRPAXO doi: 10.46393/27129667_2023_2_68
- Shamji MH, Durham SR. Mechanisms of allergen immunotherapy for inhaled allergens and predictive biomarkers. J Allergy Clin Immunol. 2017;140(6):1485–1498. doi: 10.1016/j.jaci.2017.10.010
- Ciprandi G, de Amici M, Tosca MA, et al. Sublingual immunotherapy affects specific antibody and TGF-beta serum levels in patients with allergic rhinitis. Int J Immunopathol Pharmacol. 2009;22(4):1089–1096. doi: 10.1177/039463200902200425
- O'Hehir RE, Gardner LM, de Leon MP, et al. House dust mite sublingual immunotherapy: The role for transforming growth factor-beta and functional regulatory T cells. Am J Respir Crit Care Med. 2009;180(10):936–947. doi: 10.1164/rccm.200905-0686OC
- Heeringa JJ, McKenzie CI, Varese N, et al. Induction of IgG2 and IgG4 B-cell memory following sublingual immunotherapy for ryegrass pollen allergy. Allergy. 2020;75(5):1121–1132. doi: 10.1111/all.14073
- Timoshenko DO, Pavlova KS, Kurbacheva OM. Searching for predictive biomarkers of allergen-specific immunotherapy efficacy based on modern concepts of its mechanisms. Russ J Allergy. 2023;20(2):187–200. EDN: MGNRTD doi: 10.36691/RJA7526
- Keles S, Karakoc-Aydiner E, Ozen A, et al. A novel approach in allergen-specific immunotherapy: Combination of sublingual and subcutaneous routes. J Allergy Clin Immunol. 2011;128(4):808–815.e7. doi: 10.1016/j.jaci.2011.04.033
- Haitov RM. Immunology: Textbook, 4th edition, revised and expanded. Moscow: GEOTAR-Media; 2021. 519 р. (In Russ).
- Xian M, Feng M, Dong Y, et al. Changes in CD4+CD25+FoxP3+ regulatory T cells and serum cytokines in sublingual and subcutaneous immunotherapy in allergic rhinitis with or without asthma. Int Arch Allergy Immunol. 2020;181(1):71–80. doi: 10.1159/000503143
- Nasunova AY, Nenasheva NM. A comparison of different methods of the allergen-specific immunotherapy in patients with pollinosis: the results of open randomized study. Russ J Allergy. 2019;16(3):35–45. EDN: AUOLZV doi: 10.36691/RJA1208
Supplementary files






