Analysis of the sensitization spectrum in patients with severe allergic diseases using the ImmunoCAP ISAC method
- Authors: Fomina D.S.1,2,3, Lebedkina M.S.1, Nikitina E.A.1,2, Dushkin A.D.2,4, Chernov A.A.1, Yukhnovskaya Y.D.2, Lysenko M.A.1,5, Karaulov A.V.2
-
Affiliations:
- Moscow City Hospital 52
- The First Sechenov Moscow State Medical University (Sechenov University)
- Astana Medical University
- Moscow Cancer Hospital
- The Russian National Research Medical University named after N.I. Pirogov
- Issue: Vol 21, No 1 (2024)
- Pages: 55-73
- Section: Original studies
- Submitted: 29.09.2023
- Accepted: 19.03.2024
- Published: 15.04.2024
- URL: https://rusalljournal.ru/raj/article/view/15994
- DOI: https://doi.org/10.36691/RJA15994
- ID: 15994
Cite item
Abstract
BACKGROUND: An important advance in modern allergology has been made by the introduction of allergenic molecules/components, including their detection by the ImmunoCAP ISAC method. This method is useful in patients with a complex spectrum of sensitization and severe forms of allergic diseases, where various predictors of severe course are actively searched for.
AIM: To evaluate the informativeness of component resolved diagnostic by ISAC ImmunoCAP method in patients with severe bronchial asthma and severe atopic dermatitis.
MATERIALS AND METHODS: A single-center retrospective study was conducted from January to August 2023. 100 patients who were candidates for biologicals for severe bronchial asthma (group 1; 63 patients), severe atopic dermatitis (group 2; 20 patients), or their combination (group 3; 17 patients) were included. Component restlved diagnostic was performed by ImmunoCAP ISAC method.
RESULTS: Polysensitization and high occurrence of food and fungal allergens were more frequently detected in the groups of patients with severe atopic dermatitis. When analyzing the pollen sensitization spectrum in groups 2 and 3, Bet v 1 and PR-10 family cross-linked molecules (Mal d 1, Pru p 1, Ara h 8, Gly m 4, Cor a 1.04), as well as Ole e 9, Cyn d 1, Ph p 1 and Par j 2 were the most common. Epidermal allergens were common in all three groups. Lipocains (Can f 1, Can f 4, Can f 6, Ecu q 1, Mus m 1), kallikreins (Can f 5), and albumin (Fel d 2) dominated among them. The presence of sensitization to household allergens was detected only in group 2 and only to the molecule Der p 23. Among fungal allergens, the allergen Asp f 6 was predominant in the groups with severe atopic dermatitis, and the component Alt a 1 in patients with severe bronchial asthma. Among food allergens, one of the most common allergens was the molecule Gad c 1, Gal d 1, Gal d 2, Gal d 5 and Bos d 6.
CONCLUSION: Component resolved diagnostic is an accurate assay suitable for determining the spectrum of sensitization in patients; its result can serve as a distinct biomarker for severe allergic diseases.
Full Text
Список сокращений
АРК ― аллергический риноконъюнктивит
АтД ― атопический дерматит
БА ― бронхиальная астма
ГЭРБ ― гастроэзофагеальная рефлюксная болезнь
ИМТ ― индекс массы тела
НПВС ― нестероидный противовоспалительный препарат
ОФВ1 ― объём форсированного выдоха за первую секунду
тАтД ― тяжёлый атопический дерматит
тБА ― тяжёлая бронхиальная астма
ХОБЛ ― хроническая обструктивная болезнь лёгких
ХПРС ― хронический полипозный риносинусит
ОБОСНОВАНИЕ
В современной аллергологии существует широкий арсенал методов для определения спектра сенсибилизации. Важным прорывом в аллергодиагностике стало определение специфического иммуноглобулина Е (sIgE) к аллергенным молекулам/компонентам, представляющим собой новое поколение радиоаллергосорбентного тестирования, полностью удовлетворяющее требованиям персонализированного подхода к диагностике аллергических заболеваний [1]. Благодаря развитию данного направления в аллергодиагностике и стремительному его внедрению определены новые горизонты в исследованиях аллергии, что позволяет прицельно изучить специфический гуморальный ответ на молекулярном уровне. Анализ sIgE к аллергенам и их компонентам может проводиться с помощью как одноплексного (ImmunoCAP), так и мультиплексного (ImmunoCAP Immuno Solid-phase Allergen Chip [ISAC]) методов. Одноплексный анализ определяет уровень IgE против одного выбранного анализируемого аллергена, в то время как мультиплексный анализ использует фиксированный набор из 112 рекомбинантных или очищенных нативных компонентов аллергенов, полученных более чем из 50 источников [2].
Существуют и другие традиционные методы аллергодиагностики: кожные пробы, провокационные тесты, определение sIgE к отдельным аллергенам, но результат проведения диагностики часто зависит от технологии и подходов к интерпретации результатов [3, 4]. Воспроизводимость тестирования in vivo может быть проблематична из-за нестандартизированных аллергенных экстрактов или использования различных шкал для интерпретации результатов [5]. Дополнительные ограничения по проведению традиционного тестирования с применением методов in vivo актуальны для пациентов с тяжёлыми формами аллергических патологий с нестабильным течением; особого внимания требуют пациенты с поражением кожных покровов и сочетанными клиническими проявлениями разных заболеваний. В согласительном документе Всемирной организации здравоохранения (World Allergy Organization), Международной программы ARIA (Allergic Rhinitis and its Impact on Asthma) и Глобальной европейской сети по аллергии и астме (Global Allergy and Asthma Excellence Network) (WAO-ARIA-GA2LEN) молекулярная диагностика аллергии рекомендуется в качестве третьей линии диагностики, когда проведение кожного тестирования и лабораторных методов определения sIgE ограничено или имеются сложности в интерпретации. Мультиплексная диагностика особенно показана пациентам со сложным спектром сенсибилизации, наличием тяжёлого течения аллергических заболеваний и их сочетанием; у детей раннего возраста с ограниченной площадью поверхности кожи; пожилых людей, когда снижается кожная чувствительность, а также в случаях, когда невозможно отменить терапию, мешающую проведению кожного тестирования [6]. Молекулярная аллергодиагностика повышает точность определения спектра сенсибилизации, позволяет отличить истинную сенсибилизацию от перекрёстной и во многом определяет показания к иммунотерапии аллергенами [7].
В когорте пациентов с тяжёлыми аллергическими заболеваниями активно ведётся поиск различных маркеров, позволяющих подобрать более эффективные терапевтические подходы. В настоящее время остаётся открытым вопрос о влиянии аллергенов на формирование, течение и прогрессирование заболевания у пациентов с тяжёлыми формами аллергопатологии. В процессе библиографического поиска были найдены единичные публикации, посвящённые поиску молекул, отличающих тяжёлое течение аллергических заболеваний от лёгкого и среднетяжёлого, с помощью молекулярной аллергодиагностики [7–10]. Возможность рассматривать спектр сенсибилизации к различным группам аллергенов в качестве предикторов тяжёлого течения аллергических заболеваний изучена не до конца.
Цель исследования ― оценить информативность молекулярной аллергодиагностики методом ISAC ImmunoCAP в реальной клинической практике у пациентов с тяжёлым течением бронхиальной астмы и атопического дерматита.
МАТЕРИАЛЫ И МЕТОДЫ
Дизайн исследования
Проведено наблюдательное одноцентровое ретроспективное выборочное неконтролируемое исследование.
Критерии соответствия
Критерии включения: пациенты старше 18 лет; пациенты, являющиеся кандидатами на назначение генно-инженерной биологической терапии, с подтверждённым ранее атопическим фенотипом тяжёлой бронхиальной астмы (тБА) и тяжёлого атопического дерматита (тАтД) или сочетания данных заболеваний; наличие тБА неконтролируемого течения, несмотря на соблюдение максимально оптимизированного лечения [11]; наличие тАтД с распространённым или диффузным характером поражения кожных покровов, протекающего с длительными обострениями, редкими и непродолжительными периодами ремиссии (частота обострений 5 раз в год и более, длительность ремиссии 1–1,5 месяца) [12]; для формирования группы 3 ― наличие сочетания тБА и тАтД.
Критерии невключения: отсутствие сенсибилизации при ранее проведённой верификации диагноза; лёгкая/среднетяжёлая БА как основное заболевание; лёгкий/среднетяжёлый АтД как основное заболевание.
Условия проведения
Исследование выполнено на базе специализированного референсного центра города Москвы.
Продолжительность исследования
Исследование проведено в период с 03.04.2023 по 31.08.2023.
Описание медицинского вмешательства
Проанализированы данные 100 пациентов, являющихся кандидатами для проведения генно-инженерной биологической терапии по поводу тБА (63 пациента; группа 1), тАтД (20 пациентов; группа 2) или их сочетания (17 пациентов; группа 3). В анализ включали только инициальные характеристики пациентов; динамику показателей на фоне проводимой терапии не оценивали.
У пациентов были проанализированы клинико- анамнестические характеристики: возраст; пол; статус курения; индекс массы тела; степень ожирения; возраст дебюта симптомов бронхиальной астмы (БА) и появления симптомов АтД; тип БА (аллергическая и неаллергическая); функциональные показатели при БА: объём форсированного выдоха за 1-ю секунду (ОФВ1, %); ОФВ1 (л). Проводили также инициальную оценку, в том числе рекомендуемых для рутинного применения опросников и шкал, а именно: результаты баллов ACT (Asthma Control Test); SCORAD (Scoring Atopic Dermatitis); IGA (Investigator's global assessment); EASI (Eczema Area and Severity Index); BSA (Body Surface Area); DQLI (Dermatology Life Quality Index); POEM (Patient-Oriented Eczema Measure).
Производили оценку наличия сопутствующих T2-заболеваний: аллергического риноконъюнктивита (АРК); коморбидного АтД в группе тБА; коморбидной БА в группе тАтД; хронического полипозного риносинусита (ХПРС), пищевой аллергии, включая перекрёстную. Проводили также анализ распространённости сопутствующей патологии: гастроэзофагеальной рефлюксной болезни (ГЭРБ), хронической обструктивной болезни лёгких (ХОБЛ), непереносимости нестероидных противовоспалительных препаратов (НПВС).
Анализ спектра сенсибилизации, проводимый с помощью аллергочипа ImmunoCAP ISAC (immuno-solid phase allergen chip ― твердофазный иммуноаллергочип) компании Termo Fisher Scientific (США), выполнен пациентами амбулаторно в добровольном порядке с последующим предоставлением результатов исследования.
Основной исход исследования
Соответственно полученным данным была выявлена сенсибилизация к бытовым, эпидермальным, пыльцевым, грибковым, а также пищевым аллергенам с истинной и перекрёстной пищевой гиперчувствительностью.
Дополнительные исходы исследования
Дополнительно производился анализ корреляционных связей в представленных в исследовании группах.
Методы регистрации исходов
При проведении молекулярной диагностики проводили оценку статистической значимости различных компонентов аллергенов категориальным способом. При выявлении уровня аллергокомпонента в сыворотке выше 0,3 ISU-E (стандартизованных единиц) регистрировали наличие сенсибилизации, ниже 0,3 ISU-E ― её отсутствие.
Этическая экспертиза
Все участники исследования были проинформированы об исследовании, принимали в нём участие добровольно и подписали информированное согласие на участие в исследовании.
Статистический анализ
Математическую и статистическую обработку данных проводили с использованием статистических пакетов языка программирования Python 3.10 в среде IDE Visual Studio Code 1.76.1 (Universal). Сбор и хранение данных происходили с использованием пакета программ Microsoft Office 365 (пакет Excel). Количественные показатели, имеющие нормальное распределение, описывали с помощью средних арифметических величин (M) и стандартных отклонений (SD), границ 95% доверительного интервала (ДИ 95%), при ненормальном распределении ― с помощью медианы (Me), нижнего и верхнего квартилей (Q1–Q3). Категориальные данные описывали с указанием абсолютных значений и процентных долей. Проверку на нормальность распределения количественных признаков проводили с помощью теста Шапиро–Уилка. Для сравнения таких данных использовали t-критерий Стьюдента между двумя группами. Методом однофакторного дисперсионного анализа апостериорные сравнения проводились с помощью критерия Геймса–Хауэлла между тремя и более группами. Сравнение двух групп, данные которых имели отличное от нормального распределение, проводили с помощью U-критерия Манна–Уитни. Для трёх и более групп использовали Н-критерий Краскела–Уоллиса, апостериорные сравнения проводили с помощью критерия Данна с поправкой Холма. Для сравнения категориальных признаков использовали критерий χ2 Пирсона. Корреляционную связь между двумя количественными показателями определяли с помощью коэффициента корреляции Пирсона при нормальном распределении и коэффициента ранговой корреляции Спирмена ― при ненормальном распределении.
РЕЗУЛЬТАТЫ
Объекты (участники) исследования
Средний возраст пациентов в общей когорте составил 44 года (SD ±14 лет). Мужчины составили 42% (ДИ 95% 32,2–52,3) выборки, женщины ― 58% (ДИ 95% 47,7–67,8). В группах тАтД и тБА перечисленные патологии чаще встречались у женщин, в то время как тАтД+тБА больше распространены у мужчин (р=0,0039). В группах 2 и 3 пациенты были статистически значимо моложе, чем в группе 1 (Ме 31 и 36 против 52; р <0,0001). Доля курящих пациентов составила 23%. Наибольший процент приходился на пациентов с нормальной массой тела (n=38, 40,2%; ДИ 95% 30,4–50,7). Среднее значение индекса массы тела (ИМТ) для общей выборки составило 25,8±5,7 кг/м2 (ДИ 95% 24,65–26,95); избыточная масса тела и ожирение соответствовали 33% (ДИ 95% 23,8–43,3) и 20,6% (ДИ 95% 13,1–30,0) соответственно. У 6,2% (ДИ 95% 2,3–13,0) пациентов регистрировалась недостаточная масса тела. Наибольшее значение ИМТ составило в группе 1 (р=0,0403). В табл. 1 представлена характеристика количественных показателей, в табл. 2 ― категориальных.
Таблица 1. Характеристики групп пациентов с тяжёлым течением атопического дерматита, бронхиальной астмы и сочетанной патологии Table 1. Characteristics of groups of patients with severe atopic dermatitis, bronchial asthma and combined pathology | ||||
Показатель | Название группы | Статистические показатели | ||
M±SD / Me | 95% ДИ / Q₁–Q₃ | n | ||
Возраст, лет | тБА | 52 | 40–59 | 63 |
тАтД | 31 | 27–47 | 20 | |
тАтД+тБА | 36 | 28–44 | 17 | |
Возраст дебюта БА, лет | тБА | 28 | 7–48 | 63 |
тАтД+тБА | 5 | 3–13 | 17 | |
ACT, балл (N 4–25) | тБА | 15 | 10–20 | 63 |
тАтД+тБА | 16 | 12–19 | 17 | |
ОФВ1, % | тБА | 78,3±21,8 | 72,8–83,8 | 63 |
тАтД+тБА | 78,1±18,6 | 68,6–87,7 | 17 | |
ОФВ1, л | тБА | 2,33 | 1,77–3,10 | 62 |
тАтД+тБА | 3,20 | 2,44–3,86 | 15 | |
Возраст дебюта АтД, лет | тAтД | 1 | 1–3 | 20 |
тАтД+тБА | 1 | 1–5 | 17 | |
SСORAD SCORE | тAтД | 73,8±19,7 | 64,6–83,1 | 20 |
тАтД+тБА | 72,3±18,0 | 63,0–81,6 | 17 | |
IGA | ТAтД | 4 | 3–4 | 20 |
ТАтД+ТБА | 4 | 3–4 | 16 | |
EASI | тAтД | 40±19 | 31–49 | 20 |
тАтД+тБА | 41±18 | 31–50 | 17 | |
BSA | тAтД | 78 | 67–100 | 17 |
тАтД+тБА | 85 | 64–99 | 15 | |
DQLI | тAтД | 15±9 | 10–19 | 16 |
тАтД+тБА | 18±8 | 13–23 | 12 | |
POEM | тАтД | 20±7 | 16–23 | 15 |
тАтД+тБА | 18±9 | 12–23 | 12 | |
Общий IgE, ME/мл (N 0–130) | тБА | 280 | 151–462 | 62 |
тАтД | 2000 | 1024–3644 | 19 | |
тАтД+тБА | 2000 | 487–3000 | 17 | |
Эозинофилы, кл/мкл | тБА | 258 | 155–450 | 61 |
тАтД | 700 | 200–1110 | 19 | |
тАтД+тБА | 540 | 370–786 | 17 | |
FeNO, ppb | тБА | 14 | 9–27 | 10 |
тАтД+тБА | 19 | 12–22 | 7 | |
ИМТ, кг/м2 | тБА | 26,40 | 22,20–30,05 | 63 |
тАтД | 21,80 | 19,40–25,80 | 17 | |
тАтД+тБА | 22,70 | 21,50–26,60 | 17 | |
Примечание. АтД/тАтД ― атопический дерматит/тяжёлый атопический дерматит; БА/тБА ― бронхиальная астма/тяжёлая бронхиальная астма; ОФВ1 ― объём форсированного выдоха за 1-ю секунду; ИМТ ― индекс массы тела. Note. АтД/тАтД ― atopic dermatitis/severe atopic dermatitis; БА/тБА ― bronchial asthma/severe bronchial asthma; ОФВ1 ― forced expiratory volume in 1st second; ИМТ ― body mass index. | ||||
Таблица 2. Дополнительные клинические характеристики пациентов в группах Table 2. Additional clinical characteristics of patients in the groups | ||||
Показатель | Категории | Группа, n (%) | ||
тАтД | тБА | тАтД+тБА | ||
Пол | Женский | 11 (55,0) | 43 (68,3) | 4 (23,5) |
Мужской | 9 (45,0) | 20 (31,7) | 13 (76,5) | |
Аллергическая атопическая БА | Отсутствует | 0 (0,0) | 15 (23,8) | 3 (17,6) |
Присутствует | 0 (0,0) | 63 (100) | 17 (100,0) | |
Сочетание аллергической и неаллергической БА | Отсутствует | 0 (0,0) | 60 (95,2) | 15 (88,2) |
Присутствует | 0 (0,0) | 3 (4,8) | 2 (11,8) | |
Курение | Отсутствует | 16 (80,0) | 48 (76,2) | 13 (76,5) |
Присутствует | 4 (20,0) | 15 (23,8) | 4 (23,5) | |
Масса тела (ИМТ, категориальное значение) | Недостаточная | 3 (17,6) | 3 (4,8) | 0 (0,0) |
Нормальная | 8 (47,1) | 20 (31,7) | 11 (64,7) | |
Избыток | 4 (23,5) | 24 (38,1) | 4 (23,5) | |
Ожирение | 2 (11,8) | 16 (25,4) | 2 (11,8) | |
ГЭРБ | Отсутствует | 18 (90,0) | 57 (91,9) | 16 (94,1) |
Присутствует | 2 (10,0) | 5 (8,1) | 1 (5,9) | |
ХОБЛ | Отсутствует | 0 (0,0) | 58 (92,1) | 15 (88,2) |
Присутствует | 0 (0,0) | 5 (7,9) | 2 (11,8) | |
Примечание. АтД/тАтД ― атопический дерматит/тяжёлый атопический дерматит; БА/тБА ― бронхиальная астма/тяжёлая бронхиальная астма; ИМТ ― индекс массы тела; ГЭРБ ― гастроэзофагеальная рефлюксная болезнь; ХОБЛ ― хроническая обструктивная болезнь лёгких. Note. АтД/тАтД ― atopic dermatitis/severe atopic dermatitis; БА/тБА ― bronchial asthma/severe bronchial asthma; ИМТ ― body mass index; ГЭРБ ― gastroesophageal reflux disease; ХОБЛ ― chronic obstructive pulmonary disease. | ||||
Тип БА был проанализирован для групп 1 и 3. В группе 1 аллергическая БА была установлена в 100% случаев, неаллергическая БА в сочетании с аллергической наблюдалась у 5 (16,6%) пациентов.
Для комбинации групп 1 и 3 / 2 и 3 проанализированы значения возраста дебюта БА и АтД. Для групп 1 и 3 получено медианное значение для БА 21 год (Q1–Q3: 6–40). В комбинации групп 2 и 3 медиана возраста старта симптомов АтД составила 1 год (Q1–Q3: 1–3). Возраст дебюта БА был статистически значимо выше в группе 1, чем в группе 3 (Ме 28 и 5 лет соответственно; р=0,0003).
Для групп 1 и 3 проведён анализ функциональных параметров ОФВ1 (%) и ОФВ1 (л). Для ОФВ1 (%) среднее значение составило 78,3±21 (ДИ 95% 73,6–82,9); при анализе ОФВ1 (л) получено медианное значение 2,4 л (Q1–Q3: 1,91–3,35). При оценке функциональных проб уровень ОФВ1 (л) существенно был выше в группе 3, чем в группе 1 (р=0,0156).
Уровень общего IgE (МЕ/мл) оказался статистически значимо выше в группах 2 и 3 в сравнении с группой 1 (р <0,0001). При оценке показателя уровня эозинофилов (кл./мкл) обнаружено, что в группах 2 и 3 число клеток в 1 мкл выше, чем в группе 1 (р=0,0003).
Для групп 1 и 3 оценка контроля тБА производилась по опроснику АСТ. Выявлено, что медианное значение составляет 16 баллов (Q1–Q3: 11–19).
Для групп 2 и 3 проводили оценку степени тяжести и уровня качества жизни пациентов с использованием данных валидизированных опросников для АтД: IGA, SCORAD, EASI, BSA, DQLI и POEM (табл. 3).
Таблица 3. Описательная статистика оценочных шкал и опросников для атопического дерматита при объединении данных групп 2 и 3 Table 3. Descriptive statistics of assessment scales and questionnaires for atopic dermatitis when data from groups 2 and 3 were combined | ||||
Тест | M±SD / Me | 95% ДИ / Q₁–Q₃ | Min | Max |
SCORAD | 73,1±18,7 | 66,9–79,4 | 34,7 | 101,0 |
IGA | 4 | 3–4 | 2 | 4 |
EASI | 40±18 | 34–46 | 5 | 70 |
BSA | 85 | 66–100 | 17 | 100 |
DQLI | 16±8 | 13–19 | 3 | 30 |
POEM | 20 | 14–25 | 4 | 28 |
В общей когорте (n=100) оценивали распространённость различных T2-коморбидностей. АРК встречался в 91% случаев (ДИ 95% 83,6–95,8). АтД лёгкой степени в качестве сопутствующего заболевания для группы 1 регистрировался в 4,8% случаев (ДИ 95% 1,0–13,3) и 1,6% (ДИ 95% 0,0–8,5) в состоянии ремиссии. В качестве сопутствующего заболевания БА лёгкой степени для группы 2 составила 15% случаев (ДИ 95% 3,2–37,9), средней степени тяжести ― 30% (ДИ 95% 11,9–54,3). ХПРС обнаружен в 20% случаев (ДИ 95% 12,7–29,2) в общей выборке, значительно чаще встречаясь в группе 1 (р=0,02). У 2% пациентов в общей выборке установлена хроническая спонтанная крапивница (ДИ 95% 0,2–7,0), хронические индуцированные формы крапивницы установлены в 1% случаев (ДИ 95% 0,0–5,4). Пищевая аллергия диагностирована в 25% случаев (ДИ 95% 16,9–34,7), которая чаще встречалась в группах 2 и 3 (р=0,0053), а перекрёстная пищевая аллергия ― в 44% (ДИ 95% 34,1–54,3).
Что касается остального спектра сопутствующих заболеваний, то в общей когорте зарегистрирована ГЭРБ в 8,1% случаев (ДИ 95% 3,6–15,3), в группах 1 и 3 ― ХОБЛ в 8,8% (ДИ 95% 3,6–17,2). Оба заболевания не имели существенных различий в группах. Статистически значимых различий по статусу курения в группах не получено. Непереносимость НПВС статистически значимо чаще встречалась в группе 1 (р=0,0187), встречаемость в общей когорте достигла 16% (ДИ 95% 9,4–24,7).
Основные результаты исследования
Анализ спектра сенсибилизации к бытовым, эпидермальным, грибковым, пыльцевым, пищевым аллергенам отражены в табл. 4. В объединённой когорте пациентов преобладает сенсибилизация к пыльцевым и эпидермальным аллергенам, пищевая сенсибилизация присутствует более чем в половине случаев.
Таблица 4. Анализ распределения статуса сенсибилизации в общей выборке Table 4. Analysis of the distribution of sensitization status in the total sample | |||||
Статус | Спектр сенсибилизации, %/ДИ 95% | ||||
Бытовая | Грибковая | Пищевая | Пыльцевая | Эпидермальная | |
- | 73/63,2–81,4 | 74/64,3–82,3 | 45/35,0–55,3 | 16/9,4–24,7 | 13/7,1–21,2 |
+ | 27/18,6–36,8 | 26/17,7–35,7 | 55/44,7–65,0 | 84/75,3–90,6 | 87/78,8–92,9 |
При анализе спектра сенсибилизации в каждой из групп (табл. 5) самыми распространёнными остаются эпидермальная и пыльцевая сенсибилизация, однако в группах 2 и 3, где присутствует тАтД, распространение также получили грибковая и пищевая сенсибилизации (р <0,0001).
Таблица 5. Анализ спектра сенсибилизации в каждой из групп Table 5. Analysis of the sensitization spectrum in each group | |||||
Тип сенсибилизации | Категория | Группа | p | ||
тБА | тАтД | тАтД + тБА | |||
Бытовая | Отсутствует | 46 (73) | 9 (45) | 12 (70,6) | 0,7311 |
Присутствует | 17 (26) | 11 (55) | 5 (29,4) | ||
Эпидермальная | Отсутствует | 12 (19,0) | 3 (10) | 0 (0,0) | 0,0576 |
Присутствует | 51 (81,0) | 18 (90) | 17 (100,0) | ||
Грибковая | Отсутствует | 56 (88,9) | 6 (30) | 9 (52,9) | <0,0001* pBA–AD <0,0001 pBA–Сombo <0,0001 |
Присутствует | 7 (11,1) | 14 (70) | 8 (47,1) | ||
Пищевая | Отсутствует | 39 (61,9) | 4 (20,0) | 2 (11,8) | <0,0001* pBA–AD=0,0022 pBA–Сombo=0,0007 |
Присутствует | 24 (38,1) | 16 (80,0) | 15 (88,2) | ||
Пыльцевая | Отсутствует | 12 (19,4) | 2 (10,0) | 0 (0,0) | 0,0884 |
Присутствует | 50 (81,6) | 18 (85,0) | 17 (100,0) | ||
Примечание. тБА ― тяжёлая бронхиальная астма; тАтД ― тяжёлый атопический дерматит. Note. тБА ― severe bronchial asthma; тАтД ― severe atopic dermatitis. | |||||
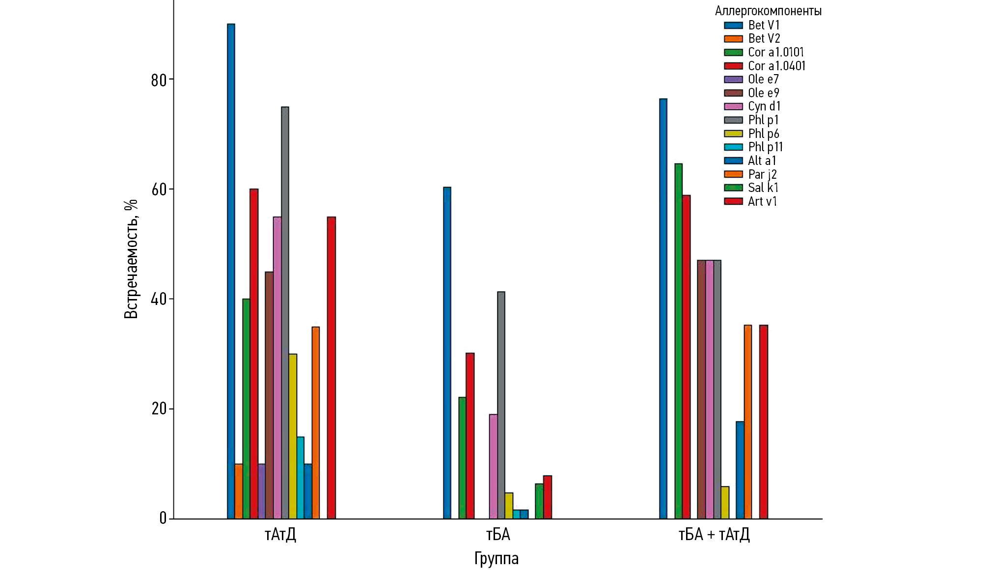
Анализ спектра сенсибилизации в группах методом ImmunoCAP ISAC. Производился анализ распространённости различных компонентов аллергенов в каждой из групп. В случае пыльцевых аллергокомпонентов (рис. 1) было определено, что Bet v 1 чаще встречается в группе 2 (90%), реже ― в группах 1 и 3 (60,3 и 76,5% соответственно; p=0,034). Bet v 2 и Ole e 7 обнаружены лишь в группе 2 в 10% случаев (p=0,0169). Ole e 9 распространён в группах 2 и 3 на сопоставимом уровне ― 45 и 47,1% случаев соответственно (p <0,0001). Cyn d 1 определялся в группах 2 и 3 в 55 и 47,1% случаев соответственно (p=0,003), в группе 1 ― реже (19%). Частота встречаемости Ph p 1 выше в группе 2, чем в группах 1 и 3 (75, 41,3 и 47,1% соответственно; p=0,0311). Ph p 1 выявлялся чаще в группе 2 (30%), чем в группах 1 и 3 (4,8 и 5,9% соответственно; p=0,0038). Распространённость Ph p 11 также выше в группе 2, чем в группе 1 (15 против 1,6%; p=0,0186). Art v 1 встречался чаще в группе 3 (17,6%) по сравнению с группами 1 и 2 (1,6 и 10% соответственно; p=0,0329). Par j 2 выявлялся на одинаково сопоставимом уровне для групп 2 и 3 (35 и 35,3% соответственно; p <0,0001). Аллергокомпонент Art v 1 статистически чаще обнаруживался в группе 2 по сравнению с группами 1 и 3 (55 против 7,9 и 35,3% соответственно; p <0,0001).
Рис. 1. Распространённость сенсибилизации к пыльцевым аллергокомпонентам в каждой из групп наблюдения. Примечание. тАтД ― тяжёлый атопический дерматит; тБА ― тяжёлая бронхиальная астма.
Fig. 1. Prevalence of sensitization to pollen allergy components in each group. Note. тАтД ― severe atopic dermatitis; тБА ― severe bronchial asthma.
При анализе бытовых аллергокомпонентов были определены статистически значимые различия для Der p 23: данный компонент выявлен в 10% случаев в группе 2 (р=0,0169), а в группах 1 и 3 Der p 23 не обнаружен.
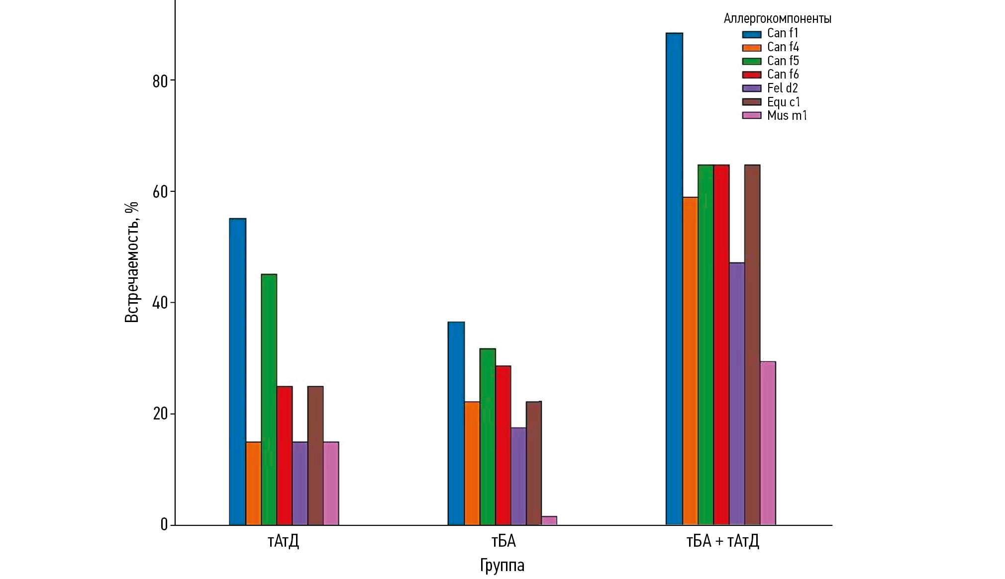
При анализе эпидермальных аллергокомпонентов (рис. 2) были выявлены статистически значимые различия для Can f 1. Частота встречаемости данной молекулы выше в группе 3 (88,2%), чем в группах 1 и 2 (36,5 и 55% соответственно; р=0,0006). В группе 3 по сравнению с группами 1 и 2 распространённость сенсибилизации к ряду молекул выше: Can f 4 (58,8, 22,2 и 15% соответственно; р=0,0042), Сan f 5 (64,7, 31,7 и 45%; p=0,0424), Can f 6 (64,7, 28,6 и 25%; p=0,013), Fel d 2 (47,1, 17,5 и 15%), Equ c 1 (64,7, 22,2 и 25%; p=0,0027), Mus m 1 (29,4, 1,6 и 15%).
Рис. 2. Распространённость сенсибилизации к эпидермальным аллергокомпонентам в каждой из групп наблюдения. Примечание. тАтД ― тяжёлый атопический дерматит; тБА ― тяжёлая бронхиальная астма.
Fig. 2. Prevalence of sensitization to epidermal allergy components in each group. Note. тАтД ― severe atopic dermatitis; тБА ― severe bronchial asthma.
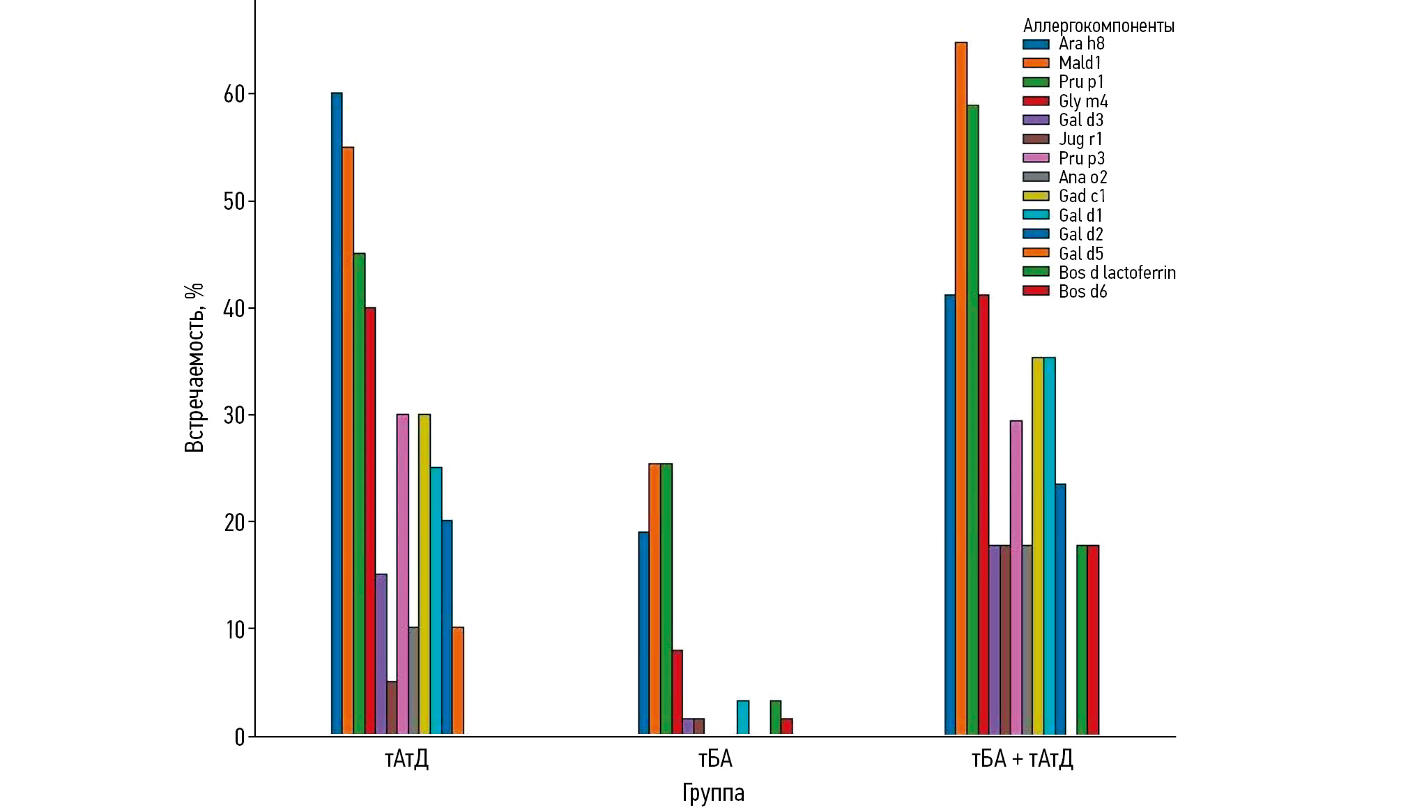
При анализе сенсибилизации к пищевым аллергокомпонентам (рис. 3) определены статистически значимые различия. Встречаемость Ara h 8 выше в группе 2 (60%) по сравнению с группами 1 и 3 (19 и 41,2% соответственно; p=0,0016). Gal d 5 был обнаружен только в группе 2 (10%; p=0,0169). В группах 2 и 3 по сравнению с группой 1 преобладают следующие аллергокомпоненты: Gly m 4 (40, 41,2 и 7,9% соответственно; p=0,0004), Cor a 1.0401 (60, 58,8 и 30,2; p=0,0159), Pru p 3 (30, 29,4 и 0%; p <0,0001), Ana o 2 (10, 17,6 и 0%; p=0,0064), Gad c 1 (30, 35,3 и 0%; p <0,0001), Gal d 1 (25, 35,3 и 3,2%; p=0,0005), Gal d 2 (20, 23,5 и 0%; p=0,0006), Gal d 3 (15, 17,6 и 7,9%; p=0,0206).
Рис. 3. Распространённость сенсибилизации к пищевым аллергокомпонентам в каждой из групп наблюдения. Примечание. тАтД ― тяжёлый атопический дерматит; тБА ― тяжёлая бронхиальная астма.
Fig. 3. Prevalence of sensitization to food allergy components in each group. Note. тАтД ― severe atopic dermatitis; тБА ― severe bronchial asthma.
В группе 3 чаще по сравнению с группами 1 и 2 выявляются Mal d 1 (64,7, 25,4 и 55,5% соответственно; p=0,0027), Pru p 1 (58,8, 25,4 и 45%; p=0,0216), Cor a 1.0101 (64,7, 22,2 и 40%; p=0,0032), Jug r 1 (17,6, 1,6 и 5%; p=0,0264). Распространённость сенсибилизации к Bos d lactoferrin и Bos d 6 выше в группе 3 по сравнению с группой 1 (17,6 и 3,2% соответственно; p=0,0066).
При анализе грибковых аллергокомпонентов были определены статистически значимые различия для Alt a 1 (p=0,0186), Asp f 6 (p <0,0001). Аллергокомпонент Alt a 1 выявлен в группах 1 и 3 (1,6 и 15% соответственно), в группе 2 не обнаружен. Компонент Asp f 6 встречался в группах 2 и 3 (35 и 29,4% соответственно) и отсутствовал в группе 1.
По результатам статистической обработки обнаружен 31 наиболее значимый аллергокомпонент из 86 (рис. 4).
Рис. 4. Уровень значимости аллергокомпонентов из панели ISAC ImmunoCAP.
Fig. 4. Level of significance of allergy components from the ISAC ImmunoCAP panel.
В общей когорте пациентов производился анализ распространённости и значимости аллергокомпонентов у пациентов с коморбидностью АРК, БА и АТД (n=28). При оценке распространённости различных молекул в данной группе (рис. 5) обращает на себя внимание преобладание на высоком уровне эпидермальных аллергенов (Fel d 1, Can f 1, Can f 5, Fel d 4, Equ c 1, Can f 6, Can f 4, Fel d 2, Can f 2, Mus m 1, Can f 3), на втором месте по распространённости находится молекула пыльцы берёзы Bet v 1, в связи с чем отмечается высокий процент распространённости перекрёстных PR-10 белков (Mal d 1, Cor a 1.0101, Aln g 1, Cor a 1.0401, Pru p 1, Ara h 8, Gly m 4). Помимо вышеперечисленных пыльцевых молекул, на высоком уровне представлена сенсибилизация к молекулам Ph p 1, Cyn d 1 и Ole e 9. При анализе значимости аллергокомпонентов в формировании Т2-заболеваний (у пациентов с сочетанием АтД, БА, АРК) вновь обращает на себя внимание преобладание эпидермальных молекул (Can f 4, Can f 2, Equ c 1, Fel d 4, Can f 1) (рис. 6).
Рис. 5. Распространённость молекул в группе пациентов с сочетанием аллергического риноконъюнктивита, бронхиальной астмы и атопического дерматита.
Fig. 5. Prevalence of molecules in the group of patients with a combination of allergic rhinoconjunctivitis, bronchial asthma and atopic dermatitis.
Рис. 6. Уровень значимости аллергокомпонентов из панели ISAC у пациентов с сочетанием аллергического риноконъюнктивита, бронхиальной астмы и атопического дерматита.
Fig. 6. Level of significance of allergic components from the ISAC panel in patients with a combination of allergic rhinoconjunctivitis, bronchial asthma and atopic dermatitis.
Дополнительные результаты исследования
На тепловых картах представлен дополнительный корреляционный анализ клинико-эпидемиологических данных (рис. 7–9).
Рис. 7. Корреляционный анализ клинико-эпидемиологических данных в группе 1. Примечание. тБА ― тяжёлая бронхиальная астма; БА ― бронхиальная астма; ОФВ1 ― объём форсированного выдоха за 1-ю секунду; ИМТ ― индекс массы тела; ГЭРБ ― гастроэзофагеальная рефлюксная болезнь; ХОБЛ ― хроническая обструктивная болезнь лёгких; АРК ― аллергический риноконъюнктивит; ХПРС ― хронический полипозный риносинусит; ХСК ― хроническая спонтанная крапивница; ХИК ― хроническая индуцированная крапивница; ИПА/ППА ― истинная/перекрёстная пищевая аллергия; Комбо АтД ― коморбидный атопический дерматит; Неперенос НПВС ― непереносимость нестероидных противовоспалительных препаратов; БытА ― бытовые аллергены; ЭА ― эпидермальные аллергены; ГА ― грибковые аллергены; ПА ― пищевые аллергены; ПыльцА ― пыльцевые аллергены.
Fig. 7. Correlation analysis of clinical and epidemiologic data in group 1. Note. тБА ― severe bronchial asthma; БА ― bronchial asthma; ОФВ1 ― forced expiratory volume in 1 second; ИМТ ― body mass index; ГЭРБ ― gastroesophageal reflux disease; ХОБЛ ― chronic obstructive pulmonary disease; АРК ― allergic rhinoconjunctivitis; ХПРС ― chronic polyposis rhinosinusitis; ХСК ― chronic spontaneous urticaria; ХИК ― chronic induced urticaria; ИПА/ППА ― true/cross food allergy; Комбо АтД ― comorbid atopic dermatitis; Неперенос НПВС ― intolerance to non-steroidal anti-inflammatory drugs; БытА ― household allergens; ЭА ― epidermal allergens; ГА ― fungal allergens; ПА ― food allergens; ПыльцА ― pollen allergens.
Рис. 8. Корреляционный анализ клинико-эпидемиологических данных в группе 2. Примечание. тАтД ― тяжёлый атопический дерматит; АД ― атопический дерматит; БА ― бронхиальная астма; ОФВ1 ― объём форсированного выдоха за 1-ю секунду; ИМТ ― индекс массы тела; ГЭРБ ― гастроэзофагеальная рефлюксная болезнь; ХОБЛ ― хроническая обструктивная болезнь лёгких; АРК ― аллергический риноконъюнктивит; ХПРС ― хронический полипозный риносинусит; ХСК ― хроническая спонтанная крапивница; ХИК ― хроническая индуцированная крапивница; ИПА/ППА ― истинная/перекрёстная пищевая аллергия; Комбо АтД ― коморбидный атопический дерматит; Неперенос НПВС ― непереносимость нестероидных противовоспалительных препаратов; БытА ― бытовые аллергены; ЭА ― эпидермальные аллергены; ГА ― грибковые аллергены; ПА ― пищевые аллергены; ПыльцА ― пыльцевые аллергены.
Fig. 8. Correlation analysis of clinical and epidemiologic data in group 2. Note. тАтД ― severe atopic dermatitis; АД ― atopic dermatitis; БА ― bronchial asthma; ОФВ1 ― forced expiratory volume in 1 second; ИМТ ― body mass index; ГЭРБ ― gastroesophageal reflux disease; ХОБЛ ― chronic obstructive pulmonary disease; АРК ― allergic rhinoconjunctivitis; ХПРС ― chronic polyposis rhinosinusitis; ХСК ― chronic spontaneous urticaria; ХИК ― chronic induced urticaria; ИПА/ППА ― true/cross food allergy; Комбо АтД ― comorbid atopic dermatitis; Неперенос НПВС ― intolerance to non-steroidal anti-inflammatory drugs; БытА ― household allergens; ЭА ― epidermal allergens; ГА ― fungal allergens; ПА ― food allergens; ПыльцА ― pollen allergens.
Рис. 9. Корреляционный анализ клинико-эпидемиологических данных в группе 3. Примечание. тАтД ― тяжёлый атопический дерматит; тБА ― тяжёлая бронхиальная астма; БА ― бронхиальная астма; ОФВ1 ― объём форсированного выдоха за 1-ю секунду; ИМТ ― индекс массы тела; ГЭРБ ― гастроэзофагеальная рефлюксная болезнь; ХОБЛ ― хроническая обструктивная болезнь лёгких; АРК ― аллергический риноконъюнктивит; ХПРС ― хронический полипозный риносинусит; ХСК ― хроническая спонтанная крапивница; ХИК ― хроническая индуцированная крапивница; ИПА/ППА ― истинная/перекрёстная пищевая аллергия; Комбо АтД ― коморбидный атопический дерматит; Неперенос НПВС ― непереносимость нестероидных противовоспалительных препаратов; БытА ― бытовые аллергены; ЭА ― эпидермальные аллергены; ГА ― грибковые аллергены; ПА ― пищевые аллергены; ПыльцА ― пыльцевые аллергены.
Fig. 9. Correlation analysis of clinical and epidemiologic data in group 3. Note. тАтД ― severe atopic dermatitis; тБА ― severe bronchial asthma; БА ― bronchial asthma; ОФВ1 ― forced expiratory volume in 1
second; ИМТ ― body mass index; ГЭРБ ― gastroesophageal reflux disease; ХОБЛ ― chronic obstructive pulmonary disease; АРК ― allergic rhinoconjunctivitis; ХПРС ― chronic polyposis rhinosinusitis; ХСК ― chronic spontaneous urticaria; ХИК ― chronic induced urticaria; ИПА/ППА ― true/ cross food allergy; Комбо АтД ― comorbid atopic dermatitis; Неперенос НПВС ― intolerance to non-steroidal anti-inflammatory drugs; БытА ― household allergens; ЭА ― epidermal allergens; ГА ― fungal allergens; ПА ― food allergens; ПыльцА ― pollen allergens.
По результатам анализа составлены профили для каждой группы.
В группе 1 было обнаружено, что у пациентов более старшего возраста наблюдается снижение значения ОФВ1 (л) с коэффициентом корреляции r=-0,621 (p <0,0001). У женщин значение ОФВ1 (л) ниже, чем у мужчин (r=-0,505; p <0,0001), позже манифестирует бронхиальная астма (r=0,386; p=0,002). В группе 1 наблюдается обратная зависимость между значением ОФВ1 (л) и возрастом начала проявления БА (r=-0,367; p=0,003). Аллергическая бронхиальная астма и наличие ХПРС имеют прямую зависимость друг от друга (r=0,767; p <0,0001). Повышение уровня эозинофилов соответствует повышению частоты обнаружения ХПРС (r=0,303; p <0,016). У пациентов из группы 1 с ХПРС наблюдается прямая зависимость с непереносимостью НПВС (r=0,719; p <0,0001). У пациентов группы 1 аллергическая БА сочетается также с непереносимостью НПВС (r=0,868; p <0,0001) и хронической спонтанной крапивницей (r=0,324; p=0,010). Интересно отметить, что чем раньше у пациентов начинаются проявления БА, тем больше вероятность сенсибилизации к бытовым аллергенам (r=-0,346; p=0,005). Дополнительно, у пациентов с сенсибилизацией к бытовым аллергенам обнаруживается прямая корреляция с пищевой аллергией (r=0,344; p <0,006). Курящие пациенты и пациенты с ХОБЛ имеют прямую зависимость с развитием неаллергического типа БА (r=0,4; p <0,001, и r=0,486; p <0,0001, соответственно). У пациентов с перекрёстной пищевой аллергией наблюдается прямая корреляционная связь с сенсибилизацией к грибковым аллергенам (r=0,316; p=0,012) и пыльце (r=0,305; p=0,015).
В группе 2 обнаружено, что сенсибилизация к бытовым аллергенам имеет прямую зависимость с ХПРС (r=0,459; p=0,042); также наблюдается прямая зависимость уровня эозинофилов и наличия пищевой аллергии (r=0,488; p=0,029) и сенсибилизации к бытовым аллергенам (r=0,477; p=0,033).
В группе 3 обнаружено, что у женщин распространён более низкий показатель ОФВ1 (л) (r=-0,483; p=0,05). У всех пациентов с сенсибилизацией к пыльце БА дебютировала раньше (r=-0,667; p=0,003). Как и в группе 1, пациенты с сочетанием аллергической и неаллергической БА имеют прямую зависимость от курения (r=0,658; p=0,004) и ХОБЛ (r=1,000; p <0,0001). При наличии сопутствующего АРК отмечаются снижение показателя ОФВ1 (%) (r=-0,559; p=0,02) и повышение уровня эозинофилов (r=0,559; p=0,02). Значения шкалы SCORAD выше у пациентов с ожирением (r=0,490; p=0,046). У сенсибилизированных к грибковым аллергенам пациентов прослеживается прямая зависимость с пищевой аллергией (r=0,549; p=0,022), в том числе с перекрёстной (r=0,528; p=0,029).
ОБСУЖДЕНИЕ
Резюме основного результата исследования
В группах пациентов с тАтД чаще выявлялись полисенсибилизация и высокая встречаемость пищевых и грибковых аллергенов. При анализе спектра пыльцевой сенсибилизации в группах 2 и 3 наиболее распространены молекула Bet v 1 и перекрёстные молекулы PR-10 семейства (Mal d 1, Pru p 1, Ara h 8, Gly m 4, Cor a 1.04), а также Ole e 9, Cyn d 1, Ph p 1 и Par j 2. Эпидермальные аллергены распространены во всех трёх группах. Среди них доминировали липокаины (Can f 1, Can f 4, Can f 6, Ecu q 1, Mus m 1), калликреин (Can f 5) и альбумин (Fel d 2). Наличие сенсибилизации к бытовым аллергенам выявлено только в группе 2 и только к молекуле Der p 23. Cреди грибковых аллергенов в группах с тАтД преобладал аллерген Asp f 6, а компонент Alt a 1 ― у пациентов с тБА. Среди пищевых аллергенов одними из самых распространённых молекул являются Gad c 1, Gal d 1, Gal d 2, Gal d 5 и Bos d 6.
Обсуждение основного результата исследования
При анализе общей когорты выявлены гендерные фенотипические признаки. Так, в общей когорте преобладали женщины, при этом сочетанная патология (тАтД+тБА) встречалась чаще у мужчин (р=0,0039). У женщин отмечена обратная корреляция с ОФВ1 (л) как в группе 1, так и в группе 3. В группе 1 ранний дебют БА и продолжительность заболевания были связаны с более низкими функциональными параметрами [ОФВ1 (л)], что подтверждено в одном из исследований [13].
В 100% случаев в исследуемой когорте была установлена аллергическая БА. Неаллергическая БА в сочетании с аллергической наблюдалась у 16,6%. В группе 3 развитие сценария заболевания шло по Т2-коморбидному типу, с чем был связан ранний дебют БА (медиана 5 лет). При анализе корреляций в группе 1 определена прямая связь между признаками, характерными для неаллергической БА: более поздний дебют (Ме 28 лет), наличие ХПРС, эозинофилии, непереносимости НПВС [14]. В случае длительного анамнеза курения прослеживалась корреляция между стажем курения, развитием ХОБЛ и неаллергической БА в группах 1 и 3.
Особенностью пациентов с тАдТ (группы 2 и 3) по сравнению с общей когортой являются полисенсибилизация и достоверно более высокая встречаемость сенсибилизации к пищевым и грибковым аллергенам. В ранее проведённом исследовании мы показали, что в группе тАтД преобладает сенсибилизация к пяти и более группам аллергенов, что может быть обусловлено невозможностью полной элиминации причинно-значимых аллергенов [13]. В других исследованиях также было продемонстрировано, что пациенты с АтД имеют не только более широкий спектр сенсибилизации, но и более высокий уровень sIgE [7, 8]. В данной работе в группе АтД отмечался повышенный уровень общего IgE, дебют АтД приходился на первый год жизни. В статье M. Wojciechowska и соавт. [9] выявлена статистически значимая связь между уровнем общего IgE и продолжительностью АтД: у пациентов с более длительным анамнезом заболевания отмечался более высокий уровень общего IgE в сыворотке крови. Вопрос связи общего IgE с тяжестью АтД остаётся открытым, так как авторы отдельных исследований отмечают значимую зависимость [15, 16], другие ― нет [9, 17].
При анализе спектра пыльцевой сенсибилизации необходимо учесть, что данные специфичны для каждого региона Российской Федерации и могут отличаться от других географических зон. У пациентов всех трёх групп ― жителей средней полосы ― доминирует распространение Bet v 1 ― мажорного аллергена пыльцы берёзы, особенно в группах с АтД. I. Mittermann и соавт. [10] показали, что Bet v 1 является причиной развития симптомов АтД чаще, чем аллергенные компоненты пыльцы трав (Ph p 1, Phl p 5, Phl p 2, Phl p 6). Данный аллерген относится к семейству PR-10 белков. В нашей работе высокая распространённость перекрёстной пищевой аллергии к другим белкам PR-10 семейства (Mal d 1, Pru p 1, Ara h 8, Gly m 4, Cor a 1.04) отмечена в группах 2 и 3. Перекрёстно-реактивные аллергены являются частой причиной астма-ассоциированной пищевой аллергии [18]. Данные факты нашли отображение и у пациентов с Т2-коморбидностью, где самыми распространёнными пыльцевыми компонентами были Bet v 1, а также белки PR-10 семейства. Молекула Ole e 9 наиболее часто встречалась в группах 2 и 3 и имела, по данным авторов, наиболее существенный уровень значимости в общей когорте. Высокое распространение в группах имели также молекулы Cyn d 1 и Ph p 1. Эти данные совпадают с исследованиями групп J. Čelakovská и M. Wojciechowska [8, 9] и данными R. Vaňková и соавт. [7], где доказана связь между возникновением сенсибилизации к данным молекулярным компонентам и тяжестью АтД. Несмотря на то, что аллерген Par j 2 более распространён в южных регионах России, sIgE к нему часто определялся в исследуемых группах 2 и 3, занимая при этом второе место при оценке значимости.
Сенсибилизация к эпидермальным аллергенам была распространена во всех трёх группах. Среди молекул доминировали липокаины (Can f 1, Can f 4, Can f 6, Ecu q 1, Mus m 1), калликреин (Can f 5), альбумин (Fel d 2). Липокаины образуют одно из крупнейших семейств аллергенов млекопитающих, включая более половины аллергенов, происходящих от пушных зверей. Липокаины присутствуют в шерсти, слюне и моче животных [19]. У детей наличие сенсибилизации к семейству липокаинов, особенно к Equ c 1, было связано не только с развитием БА [20], но и с её тяжёлым течением [21]. Множественная сенсибилизация к липокаинам, калликреину и компонентам секретоглобина способствует усилению воспаления бронхов у пациентов с тБА [20]. Была подтверждена достоверная взаимосвязь между сенсибилизацией к перхоти животных и развитием одновременно АтД, БА, АРК [22]. Данный факт продемонстрирован и в нашем исследовании при анализе подгруппы с Т2-коморбидностями. Помимо самого высокого распространения, эпидермальные аллергены являлись самыми значимыми в развитии Т2-коморбидности, что продемонстрировано на рис. 6, где при анализе значимости аллергокомпонентов в формировании Т2-заболеваний (у пациентов с сочетанием АтД, БА, АРК) преобладали эпидермальные аллергены. У взрослых сенсибилизация к Fel d 1, Can f 1, Can f 2 и Can f 3 и полисенсибилизация (сенсибилизация более чем к двум компонентам) ассоциировалась с ринитом, развитием БА и её тяжестью, а также повышением уровней FeNO (фракция оксида азота в выдыхаемом воздухе) и эозинофилов [23]. В нашем исследовании наибольшее распространение эпидермальные аллергены получили в группе АтД. Аналогичные молекулы, по данным других исследований, достоверно чаще встречались у пациентов с тАтД по сравнению с лёгким и среднетяжёлым течением [7], что не исключает роли этих молекул в качестве предиктора тяжести течения заболевания.
Сенсибилизация к клещам домашней пыли представляет собой особенно важную проблему для пациентов с умеренной и тяжёлой формой АтД. Снижение воздействия аллергенов пылевого клеща может в значительной степени способствовать ослаблению симптомов АтД [24]. Неожиданным результатом нашего исследования явилось наличие сенсибилизации к клещам домашней пыли только в группе 2 и только к молекуле Der p 23. В исследовании J. Čelakovská и соавт. [22] показано, что уровень sIgE к Der p 23, соответствующий 4-му классу реакций, был зарегистрирован с достоверно более высокой встречаемостью у пациентов, страдающих тяжёлой формой АтД, а также у пациентов с БА. В исследовании M. Weghofe и соавт. [25] показано, что уровень sIgE к Der p 23 у обследованных пациентов был сравним с уровнями IgE к Der p 1 и Der p 2. В нашем исследовании в группе 1 была показана прямая корреляция между возрастом дебюта БА и сенсибилизацией к бытовым аллергенам, однако она не связана с молекулой Der p 23. В одном из исследований продемонстрирована связь между развитием БА и АРК и воздействием бытовых аллергенов [26]. В группе 2, где отсутствует БА, примечательна прямая корреляция ХПРС и сенсибилизации к бытовым аллергенам, причём именно в этой группе встречается молекула клеща домашней пыли Der p 23. И действительно, существует исследование, демонстрирующее влияние клещей домашней пыли на развитие ХПРС, однако компонентная аллергодиагностика в данном исследовании не проводилась [27].
Описана связь между воздействием спор грибов и развитием АтД, особенно у мужчин [28]. На примере комменсальных микроорганизмов, таких как дрожжи Malasseziа spp., продемонстрировано, что конституциональные генетические дефекты в формировании кожного барьера при АтД могут быть усугублены воздействием грибковых аллергенов [29]. A.M. Saaf и соавт. [30] сообщают, что у людей со здоровой кожей при проведении тестирования с использованием пластыря с экстрактом Malassezia sympodialis (штамм ATCC 4213) выявлен профиль экспрессии генов, связанных с воспалением и иммунной защитой, аналогичный профилю экспрессии генов в больной коже при АтД. Cреди аллергокомпонентов в группах больных АтД преобладал аллерген Asp f 6 (с частотой 35% в группе 1 и 29,4% в группе 2; р <0,001), что является примечательным, поскольку данная молекула наряду с другими компонентами Aspergillus может встречаться у пациентов с патологией дыхательной системы, в том числе с тБА и аллергическим бронхолёгочным аспергиллёзом [31]. При этом в группе 1 данный аллерген не выявлен ни у одного человека. У пациентов с тАтД Asp f 6 встречается часто по сравнению с АтД более лёгкого течения [8], причём сенсибилизация к Asp f 6 характерна для пациентов с началом АтД до 5 лет [8]. По нашим результатам, при оценке значимости аллергенов (см. рис. 1) было показано, что молекула Asp f 6 входит в тройку наиболее значимых. При оценке грибковой сенсибилизации обращает на себя внимание распространённость Alt a 1 в группах больных 1 и 3, где присутствует БА, и, действительно, как было показано, сенсибилизация к Alt a 1 тесно связана с БА и увеличением объёма и расширения спектра препаратов для лечения [32, 33].
Значительная связь между тяжестью АтД и наличием сенсибилизации к пищевым аллергенам отмечена в нескольких публикациях. Примерно 30% детей с АтД имеют сопутствующую пищевую аллергию [34]. Некоторые исследования показывают, что до 96% пациентов с тБА страдают от реакций на пищевые продукты [8, 35], при этом в группе 2 нами найдена корреляция между эозинофилией и пищевой аллергией. В прошлом нашем исследовании было показано, что на высокую распространённость пищевой аллергии у пациентов с АтД может влиять грибковая сенсибилизация [36]. По данным настоящего исследования, в группе 3 также существует прямая корреляция между сенсибилизацией к грибковым аллергенам и пищевой аллергией (r=0,549; p=0,022), в том числе с перекрёстной пищевой аллергией (r=0,528; p=0,029), что свидетельствует о возможном усугублении повреждения кожного барьера под воздействием грибковой флоры.
Продемонстрировано, что результаты ISAC ImmunoCAP хорошо соотносятся с результатами орального провокационного теста с пищевыми аллергенами [37]. При анализе спектра сенсибилизации к пищевым аллергокомпонентам в данном исследовании одним из самых распространённых аллергенов является рыба (Gad c 1), что коррелирует с данными международной литературы о распространённости пищевой аллергии у взрослых [38, 39]. Gad c 1 представляет собой парвальбумин, который особенно стабилен к нагреванию и химической денатурации, а также к действию протеолитических ферментов: это означает, что приготовленная рыба сохраняет свою аллергенность, о чём обязательно нужно предупреждать пациентов [40]. Сенсибилизация к яйцу и молоку, которые входят в состав «большой восьмёрки» пищевых продуктов, наиболее часто вызывающих аллергические реакции, выявлена также в группах больных АтД. Среди молекул яйца встречаются Gal d 1, Gal d 2 и Gal d 5. В данном случае молекулярная диагностика помогает отличить пациентов с реакцией на сырые яйца от тех, кто имеет сенсибилизацию к термостабильным молекулам яйца. Например, овомукоид Gal d 1 термически стабилен, что означает в случае установленной сенсибилизации к этой молекуле полное исключение из рациона яйца в любом виде, в то время как овальбумин Gal d 2 термолабилен, т.е. реакция будет отмечаться на сырые или недостаточно термически обработанные яйца [34, 41]. Часто встречается сенсибилизация к аллергену Bos d 6 (бычий сывороточный альбумин). В исследовании H. Röckmann и соавт. [42] сенсибилизация к аллергенам коровьего молока чаще встречалась у пациентов с тАтД. По нашим данным, в группе пациентов с тАтД определён высокий процент пациентов с недостаточной массой тела (17,6%), что может быть обусловлено либо необходимостью соблюдения элиминационной диеты с ограничением широкого спектра продуктов, либо с неверными рекомендациями по питанию.
Таким образом, метод молекулярной аллергодиагностики ISAC ImmunoCAP позволяет расширить диагностические возможности с целью определения сенсибилизации на молекулярном уровне и делает возможным определение предикторов тяжёлого течения аллергических заболеваний.
Ограничения исследования
Ограничение данного исследования заключается в отсутствии выделения отдельных фенотипов согласно полученному спектру сенсибилизации в каждой из групп, что может служить материалом для будущих исследований.
ЗАКЛЮЧЕНИЕ
Аллергокомпонентная диагностика является точным и информативным анализом, позволяющим расширить диагностические возможности с целью определения индивидуального спектра сенсибилизации; его результат может предсказать риск развития тяжёлой аллергической реакции и обеспечить своевременное проведение соответствующего лечения. У пациентов с тБА и тАтД преобладает сенсибилизация к пыльцевым и эпидермальным аллергенам, в группах больных АтД обращают на себя внимание полисенсибилизация и распространённость грибковой и пищевой аллергии. Степень влияния бытовой сенсибилизации, вопреки существующим данным, в нашей когорте пациентов неоднозначна.
Таким образом, особенности спектра сенсибилизации и уровень sIgE к некоторым молекулам могут служить отдельным дополнительным биомаркером при тяжёлых формах аллергических (атопических) заболеваний. Необходимы дальнейшие исследования с целью выделения отдельных фенотипов заболевания в каждой из групп пациентов на основании спектра сенсибилизации.
ДОПОЛНИТЕЛЬНАЯ ИНФОРМАЦИЯ
Источник финансирования. Исследование выполнено при поддержке гранта Российского научного фонда N 23-75-30016 «Аллергочип РФ».
Конфликт интересов. Авторы декларируют отсутствие явных и потенциальных конфликтов интересов, связанных с публикацией настоящей статьи.
Вклад авторов. Все авторы подтверждают соответствие своего авторства международным критериям ICMJE (все авторы внесли существенный вклад в разработку концепции, проведение исследования и подготовку статьи, прочли и одобрили финальную версию перед публикацией). Наибольший вклад распределён следующим образом: Д.С. Фомина ― обзор литературы, сбор и анализ литературных данных, редактирование текста статьи; М.С. Лебедкина, Е.А. Никитина ― обзор литературы, сбор и анализ литературных данных, написание текста и редактирование статьи; А.Д. Душкин, А.А. Чернов ― сбор и обработка статистических данных, формирование результатов исследования; Ю.Д. Юхновская ― сбор литературных данных; М.А. Лысенко, А.В. Караулов — курирование работы.
ADDITIONAL INFORMATION
Funding source. The work was supported by the Russian Science Foundation through the grant N 23-75-30016 "AllergochipRUS".
Competing interests. The authors declare that they have no competing interests.
Authors’ contribution. All authors made a substantial contribution to the conception of the work, acquisition, analysis, interpretation of data for the work, drafting and revising the work, final approval of the version to be published and agree to be accountable for all aspects of the work. D.S. Fomina ― a literature review, a literature collection and analysis, writing of the article, editing of the article; M.S. Lebedkina, E.A. Nikitina ― a literature review, a literature collection and analysis, data analysis, writing an article, editing of the article; A.D. Dushkin, A.A. Chernov ― collection and processing of statistical data, formation of research results; Yu.D. Yukhnovskaya ― literature collection; M.A. Lysenko, A.V. Karaulov ― project supervision.
About the authors
Daria S. Fomina
Moscow City Hospital 52; The First Sechenov Moscow State Medical University (Sechenov University); Astana Medical University
Email: daria_fomina@mail.ru
ORCID iD: 0000-0002-5083-6637
MD, Cand. Sci. (Med.), Associate Professor
Россия, Moscow; Moscow; Astana, Republic of KazakhstanMarina S. Lebedkina
Moscow City Hospital 52
Author for correspondence.
Email: marina.ivanova0808@yandex.ru
ORCID iD: 0000-0002-9545-4720
Россия, Moscow
Ekaterina A. Nikitina
Moscow City Hospital 52; The First Sechenov Moscow State Medical University (Sechenov University)
Email: katrin88866@gmail.com
ORCID iD: 0000-0002-0865-8355
Moscow; Moscow
Alexander D. Dushkin
The First Sechenov Moscow State Medical University (Sechenov University); Moscow Cancer Hospital
Email: alex@drdushkin.ru
ORCID iD: 0000-0002-8013-5276
MD, Cand. Sci. (Med.)
Россия, Moscow; MoscowAnton A. Chernov
Moscow City Hospital 52
Email: sbornaya1med@yandex.ru
ORCID iD: 0000-0001-6209-387X
MD, Cand. Sci. (Med.)
Россия, MoscowYulia D. Yukhnovskaya
The First Sechenov Moscow State Medical University (Sechenov University)
Email: yukhyuliya@yandex.ru
ORCID iD: 0000-0002-0928-2054
Россия, Moscow
Mariana A. Lysenko
Moscow City Hospital 52; The Russian National Research Medical University named after N.I. Pirogov
Email: gkb52@zdrav.mos.ru
ORCID iD: 0000-0001-6010-7975
MD, Dr. Sci. (Med.), Professor
Россия, Moscow; MoscowAlexander V. Karaulov
The First Sechenov Moscow State Medical University (Sechenov University)
Email: drkaraulov@mail.ru
ORCID iD: 0000-0002-1930-5424
MD, Dr. Sci. (Med.), Professor
Россия, MoscowReferences
- Valenta R, Duchene M, Vrtala S, et al. Recombinant allergens for immunoblot diagnosis of tree-pollen allergy. J Allergy Clin Immunol. 1991;88(6):889–894. doi: 10.1016/0091-6749(91)90245-j
- Van Hage M, Hamsten C, Valenta R. ImmunoCAP assays: Pros and cons in allergology. J Allergy Clin Immunol. 2017;140(4):974–977. doi: 10.1016/j.jaci.2017.05.008
- Almeida AL, Perger EL, Gomes RH, et al. Objective evaluation of immediate reading skin prick test applying image planimetric and reaction thermometry analyses. J Immunol Methods. 2020;487:112870. doi: 10.1016/j.jim.2020.112870
- Justo X, Díaz I, Gil JJ, Gastaminza G. Prick test: Evolution towards automated reading. Allergy. 2016;71(8):1095–1102. doi: 10.1111/all.12921
- Gungor A, Houser SM, Aquino BF, et al. A comparison of skin endpoint titration and skin-prick testing in the diagnosis of allergic rhinitis. Ear Nose Throat J. 2004;83(1):54–60.
- Ansotegui IJ, Melioli G, Walter G, et al. Open access a WAO-ARIA-GA2LEN consensus document on molecular-based allergy diagnosis (PAMD): Update 2020. World Allergy Organ J. 2020;13(2):1–46. doi: 10.1016/j.waojou.2019.100091
- Vaňková R, Čelakovská J, Bukač J, et al. Sensitization to molecular components in 104 atopic dermatitis patients in relation to subgroups of patients suffering from bronchial asthma and allergic rhinitis. Acta Medica (Hradec Kralove). 2020;63(4):164–175. doi: 10.14712/18059694.2020.59
- Čelakovská J, Bukač J, Vaňková R, et al. ISAC multiplex testing-- results of examination in 100 patients suffering from atopic dermatitis. Food and Agricultural Immunology. 2020;31(1):1014–1035. doi: 10.1080/09540105.2020.1799947
- Wojciechowska M, Żbikowska-Gotz M, Marek-Józefowicz L, et al. Allergic phenotypes in adult patients with atopic dermatitis, determined with the ISAC test (ImmunoCAP ISAC). Postepy Dermatol Alergol. 2018;35(4):351–359. doi: 10.5114/ada.2018.77664
- Mittermann I, Wikberg G, Johansson C, et al. IgE sensitizetion profiles differ between adult patients with severe and moderate atopic dermatitis. Plos One. 2016;11(5):e0156077. doi: 10.1371/journal.pone.0156077
- GINA. Global strategy for asthma management and prevention. Updated May 2023. 246 p. Available from: https://ginasthma.org/wp-content/uploads/2023/05/GINA-2023-Full-Report-2023-WMS.pdf. Accessed: 20.01.2024.
- Kubanov AA, Namazova-Baranova LS, Khaitov RM, et al. Atopic dermatitis. Russ J Allergy. 2021;18(3):44–92. doi: 10.36691/RJA1474
- Talaminos Barroso A, Márquez Martín E, Roa Romero LM, Ortega Ruiz F. Factors affecting lung function: A review of the literature. Arch Bronconeumol (Engl Ed). 2018;54(6):327–332. doi: 10.1016/j.arbres.2018.01.030
- Laidlaw TM, Mullol J, Woessner KM, et al. Chronic rhinosinusitis with nasal polyps and asthma. J Allergy Clin Immunol Pract. 2021;9(3):1133–1141. doi: 10.1016/j.jaip.2020.09.063
- Kiiski V, Karlsson O, Remitz A, Reitamo S. High serum total IgE predicts poor long-term outcome in atopic dermatitis. Acta Derm Venereol. 2015;95(8):943–947. doi: 10.2340/00015555-2126
- Trzeciak M, Glen J, Bandurski T, et al. Relationship between serum levels of interleukin-18, IgE and disease severity in patients with atopic dermatitis. Clin Exp Dermatol. 2011;36(7):728–732. doi: 10.1111/j.1365-2230.2011.04113.x
- Kaminishi K, Soma Y, Kawa Y, Mizoguchi M. Flow cytometric analysis of IL-4, IL-13 and IFN-gamma expression in peripheral blood mononuclear cells and detection of circulating IL-13 in patients with atopic dermatitis provide evidence for the involvement of type 2 cytokines in the disease. J Dermatol Sci. 2002;29(1):19–25. doi: 10.1016/s0923-1811(01)00174-8
- Emons JA, Gerth van Wijk R. Food allergy and asthma: Is there a link? Curr Treat Options Allergy. 2018;5(4):436–444. doi: 10.1007/s40521-018-0185-1
- Konradsen JR, Nordlund B, Onell A, et al. Severe childhood asthma and allergy to furry animals: Refined assessment using molecular-based allergy diagnostics. Pediatr Allergy Immunol. 2014;25(2):187–192. doi: 10.1111/pai.12198
- Nordlund B, Konradsen JR, Kull I, et al. IgE antibodies to animal-derived lipocalin, kallikrein and secretoglobin are markers of bronchial inflammation in severe childhood asthma. Allergy. 2012;67(5):661–669. doi: 10.1111/j.1398-9995.2012.02797.x
- Korpi A, Mäntyjärvi R, Rautiainen J, et al. Detection of mouse and rat urinary aeroallergens with an improved ELISA. J Allergy Clin Immunol. 2004;113(4):677–682. doi: 10.1016/j.jaci.2003.11.039
- Čelakovská J, Ettlerová K, Ettler K, et al. Sensitization to aeroallergens in atopic dermatitis patients: Association with concomitant allergic diseases. J Eur Acad Dermatol Venereol. 2015;29(8):1500–1505. doi: 10.1111/jdv.12891
- Nwaru BI, Suzuki S, Ekerljung L, et al. Furry animal allergen component sensitization and clinical outcomes in adult asthma and rhinitis. J Allergy Clin Immunol Pract. 2019;7(4):1230–1238.e4. doi: 10.1016/j.jaip.2018.12.018
- Pónyai G, Hidvégi B, Németh I, et al. Contact and aeroallergens in adulthood atopic dermatitis. J Eur Acad Dermatol Venerol. 2008;22(11):1346–1355. doi: 10.1111/j.1468-3083.2008.02886.x
- Weghofer M, Grote M, Resch Y, et al. Identification of Der p 23, a peritrophin-like protein, as a new major Dermatophagoides pteronyssinus allergen associated with the peritrophic matrix of mite fecal pellets. J Immunol. 2013;190:3059–3067. doi: 10.4049/jimmunol.1202288
- Calderón MA, Linneberg A, Kleine-Tebbe J, et al. Respiratory allergy caused by house dust mites: What do we really know? J Allergy Clin Immunol. 2015;136(1):38–48. doi: 10.1016/j.jaci.2014.10.012
- Mertens J, Wellbrock M, Feidert F. [Correlation between nasal polyposis and perennial allergy exemplified by house dust mite and house dust allergy. (In German)]. HNO. 1991;39(8):307–310.
- Kallawicha K, Chuang YC, Lung SC, et al. Exposure to ambient bioaerosols is associated with allergic skin diseases in Greater Taipei residents. Environ Pollut. 2016;216:845–850. doi: 10.1016/j.envpol.2016.06.057
- Gaitanis G, Magiatis P, Hantschke M, et al. The Malassezia genus in skin and systemic diseases. Clin Microbiol Rev. 2012;25(1):106–141. doi: 10.1128/CMR.00021-11
- Saaf AM, Tengvall-Linder M, Chang HY, et al. Global expression profiling in atopic eczema reveals reciprocal expression of inflammatory and lipid genes. PLoS One. 2008;3(12):e4017. doi: 10.1371/journal.pone.0004017
- Muthu V, Sehgal IS, Dhooria S, et al. Utility of recombinant Aspergillus fumigatus antigens in the diagnosis of allergic bronchopulmonary aspergillosis: A systematic review and diagnostic test accuracy meta-analysis. Clin Exp Allergy. 2018;48:1107–1136. doi: 10.1111/cea.13216
- Twaroch TE, Curin M, Valenta R, et al. Mold allergens in respiratory allergy: From structure to therapy. Allergy Asthma Immunol Res. 2015;7:205–220. doi: 10.4168/aair.2015.7.3.205
- Caraballo L, Valenta R, Puerta L, et al. The allergenic activity and clinical impact of individual IgE-antibody binding molecules from indoor allergen sources. World Allergy Organ J. 2020;13:100118. doi: 10.1016/j.waojou.2020.100118
- Ando H, Movérare R, Kondo Y, et al. Utility of ovomucoid-specific IgE concentrations in predicting symptomatic egg allergy. J Allergy Clin Immunol. 2008;122(3):583–588. doi: 10.1016/j.jaci.2008.06.016
- Ott H, Fölster-Holst R, Merk HF, Baron JM. Allergen microarrays: A novel tool for high-resolution IgE profiling in adults with atopic dermatitis. Eur J Dermatol. 2010;20(1):54–61. doi: 10.1684/ejd.2010.0810
- Fomina DS, Mukhina OA, Lebedkina MS, et al. Registry analysis of patients with severe allergic asthma and clinically significant sensitisation to fungal allergens treated with genetically engineered biological drugs. Consilium Medicum. 2022;24(3):170–176. doi: 10.26442/20751753.2022.3.201442
- Fung I, Kim JS, Spergel JM. Relating microarray component testing and reported food allergy and food-triggered atopic dermatitis: A real-world analysis. Ann Allergy Asthma Immunol. 2013;110(3):173–177.e1. doi: 10.1016/j.anai.2012.12.006
- Iweala OI, Choudhary SK, Commins SP. Food allergy. Curr Gastroenterol Rep. 2018;20(5):17. doi: 10.1007/s11894-018-0624-y
- Warren CM, Jiang J, Gupta RS. Epidemiology and burden of food allergy. Curr Allergy Asthma Rep. 2020;20(2):6. doi: 10.1007/s11882-020-0898-7
- Pascual CY, Reche M, Fiandor A, et al. Fish allergy in childhood. Pediatr Allergy Immunol. 2008;19(7):573–579. doi: 10.1111/j.1399-3038.2008.00822.x
- Benhamou Senouf AH, Borres MP, Eigenmann PA. Native and denatured egg white protein IgE tests discriminate hen‘s egg allergic from egg-tolerant children. Pediatr Allergy Immunol. 2015;26(1):12–17. doi: 10.1111/ pai.12317
- Röckmann H, van Geel MJ, Knulst AC, et al. Food allergen sensitization pattern in adults in relation to severity of atopic dermatitis. Clin Transl Allergy. 2014;4(1):9. doi: 10.1186/2045-7022-4-9
Supplementary files












