Suppression spontaneous and induced expression of CD203c basophils after subcutaneous immunotherapy with ragweed and mugwort allergens
- Authors: Barycheva L.Y.1, Dushina L.V.1,2, Masalskiy S.S.3,4, Smolkin Y.S.3,4,5, Kozmova N.A.1, Kuropatnikova E.A.4,5
 - 
							Affiliations: 
							
- Stavropol State Medical University
 - Stavropol Regional Clinical Consultative and Diagnostic Center
 - Association Pediatric Allergist and Immunologist Russia
 - Scientific-Clinical Consultative Center of Allergology and Immunology
 - Academy of Postgraduate Education of the Federal Research and Clinical Center of Specialized Medical Care and Medical Technologies
 
 - Issue: Vol 19, No 3 (2022)
 - Pages: 299-316
 - Section: Original studies
 - Submitted: 25.04.2022
 - Accepted: 21.06.2022
 - Published: 07.10.2022
 - URL: https://rusalljournal.ru/raj/article/view/1534
 - DOI: https://doi.org/10.36691/RJA1534
 - ID: 1534
 
Cite item
Full Text
Abstract
BACKGROUND: The basophil activation test (BAT) reflects the presence of immunoglobulin E on the cell surface and can be a tool for monitoring the effectiveness of allergen-specific immunotherapy. Spontaneous and allergen-induced BAT levels may likely change after effective subcutaneous immunotherapy, and this is of clinical importance.
AIMS: To determine the basophil activation markers in patients sensitized to weed pollen during subcutaneous immunotherapy
MATERIALS AND METHODS: This clinical study of 2 years included 60 patients with allergic rhinitis who underwent subcutaneous immunotherapy with weed allergens for two seasons. The proportion of basophil-expressing CD203c, spontaneously and after exposure to a trigger allergen, was determined. BAT was performed before treatment and after the first and second courses of preseason subcutaneous immunotherapy (0, 3, and 15 months of treatment). The effectiveness of subcutaneous immunotherapy was assessed by the dynamics of the symptom scale (Rhinoconjunctivitis total symptom score [RTSS]) and the drug assessment (Daily medical score [DMS]).
RESULTS: Subcutaneous immunotherapy with water–salt extracts was effective. The median RTSS in patients after two courses decreased from 13.0 [10.0; 15.0] to 4.5 [3.00; 7.25] points (p <0.001) and DMS score from 2.0 [2.0; 2.0] to 1.0 [1.0; 2.0] points (p <0.001). Spontaneous BAT remained unchanged after the first course of allergen-specific immunotherapy. The mean BAT values before therapy and after the first course of subcutaneous immunotherapy did not differ (8.15% [6.10; 11.9] vs. 9.0% [6.30; 12.0]). The spontaneous BAT decreased after the second course of treatment (8.15% [6.10; 11.9] vs. 6.20% [4.27; 9.00], χ2=15.5, p <0.001). Allergen-induced BAT significantly decreased from the first year of treatment. The overall change in the total group for BAT with ragweed after the first course of subcutaneous immunotherapy was 11.25% (95% confidence interval [CI]: 7.10–15.10, p <0.001). The overall difference in the induced ВAT test at the end of therapy reached 8.63% (95% CI: 5.30–12.05, p <0.001). The indices of induced BAT decreased by 12.0% after the first course of therapy with mugwort allergens (95% CI: 6.95–17.90, p <0.001), and the difference from the initial values after the second course was 9.67% (95% CI: 6.85–15.90, p <0.001).
CONCLUSIONS: Subcutaneous immunotherapy with ragweed and mugwort allergens was effective. The change in spontaneous and induced BAT is associated with a positive effect of allergen-specific immunotherapy.
Full Text
ОБОСНОВАНИЕ
Распространённость пыльцевой аллергии в мире неуклонно растёт, что связано с увеличением концентрации парниковых газов в атмосфере и загрязнителей воздуха, способствующих увеличению концентрации пыльцевых зёрен и аллергенности пыльцы [1–3]. В европейских странах частота поллинозов составляет 30–40% [3, 4], в Российской Федерации ― 13–38% [5]. Географической особенностью южных регионов России является сенсибилизация к пыльце сорных трав, достигающая 46% в отдельных областях [6, 7].
Аллергенспецифическая иммунотерапия (АСИТ) признана наиболее эффективным и стратегически обоснованным методом лечения пыльцевой аллергии [8]. Традиционные методы уступают АСИТ в долгосрочной эффективности, но позволяют контролировать симптомы более быстро. Антигистаминные препараты и топические стероиды составляют основу симптоматической терапии аллергического ринита (АР), в то время как АСИТ позволяет модифицировать течение заболевания, воздействуя на патогенез и формирование толерантности к причинному аллергену [9, 10]. Однако иммунологические механизмы АСИТ остаются не до конца изученными [11, 12]. Ведётся поиск надёжных биомаркеров, направленных на выявление потенциальных респондеров и прогнозирование эффективности АСИТ [13, 14].
Известно, что компонентразделённая аллергодиагностика позволяет дифференцировать истинную и перекрёстную сенсибилизацию и выбирать для лечения причинный аллерген. Метод характеризуется высокой специфичностью, точностью, однако оценивает только правильность выбора аллергена, иммунный ответ пациента он предсказать не может [15, 16].
Показано, что тест активации базофилов (basophil activation test, BAT) имеет хорошую корреляцию с провокационными пробами и может эффективно использоваться при диагностике IgE-опосредованных заболеваний и мониторинге АСИТ [17]. Одним из основных механизмов АСИТ, определяющих эффективность BAT, является антигенспецифическая десенсибилизация базофилов и тучных клеток, сопровождающаяся уменьшением количества гранул медиаторов и экспрессии маркеров активации [18]. Влияние АСИТ на активацию базофилов освещалось ранее, однако роль метода в отношении оценки эффекта терапии в отдельных группах остаётся неясной. Вследствие гетерогенных путей введения и различающихся на порядок курсовых доз аллергена динамика иммунологических маркеров аллергии при подкожной (ПКИТ) и сублингвальной иммунотерапии будет различной. Ранее нам удалось показать отсутствие изменения уровня специфического IgE после курса ПКИТ водно-солевыми аллергенами, что делает невозможным его использование в качестве предиктора при проведении ПКИТ [18].
Цель исследования ― определение маркеров активации базофилов у пациентов, сенсибилизированных к пыльце сорных трав, при проведении ПКИТ.
МАТЕРИАЛЫ И МЕТОДЫ
Дизайн исследования
Экспериментальное одноцентровое открытое продольное плацебонеконтролируемое исследование.
На первом этапе работы проводили общеклиническое обследование пациентов с аллергией к пыльце сорных трав, кожные пробы с аэроаллергенами, определение специфических IgE к мажорным аллергенам амброзии, полыни, берёзы, тимофеевки, инициировали первый курс предсезонной ПКИТ (рис. 1). Второй курс ПКИТ возобновляли через год (3-й этап).
1-й этап  | Общеклиническое обследование, кожные пробы, отбор пациентов, n=60  | 
Определение общего IgE, специфического IgE к аллергокомпонентам  | |
Аллергенспецифическая иммунотерапия (АСИТ), 1-й курс завершили 52 человека  | |
2-й этап  | Определение лабораторных маркеров по окончании 1-го курса АСИТ (через 3 мес), мониторинг клинических симптомов через 6 мес после АСИТ  | 
3-й этап  | Аллергенспецифическая иммунотерапия (АСИТ), 2-й курс завершили 43 человека  | 
Определение лабораторных маркеров по окончании 2-го курса АСИТ (через 15 мес), мониторинг клинических симптомов через 18 мес после АСИТ  | 
Рис. 1. Дизайн исследования.
Fig. 1. Study design.
На втором и четвёртом этапах работы осуществляли мониторинг лабораторных и клинических показателей. Постановку ВАТ, определение специфических IgE к мажорным аллергенам амброзии и полыни выполняли перед началом ПКИТ, а также по завершении 1-го и 2-го предсезонных курсов ПКИТ, что соответствовало 0, 3 и 15-му мес лечения. Визиты к аллергологу для оценки эффективности лечения назначали через 6 и 18 мес от начала АСИТ (см. рис. 1).
Критерии соответствия
Критерии включения: пациенты с АР, сенсибилизированные к пыльце сорных трав, получавшие ПКИТ.
Критерии невключения: пациенты с противопоказаниями к назначению ПКИТ, повторными курсами ПКИТ в анамнезе, а также лица с выраженными аллергическими реакциями в процессе АСИТ и прекратившие ПКИТ.
Условия проведения и продолжительность исследования
Работа выполнялась в течение 2 лет. Пациенты наблюдались в краевом клиническом консультативно- диагностическом центре г. Ставрополя (Россия) в период 2018–2020 гг.
Описание медицинского вмешательства
Проводили два предсезонных курса ПКИТ с подкожным введением водно-солевых экстрактов пыльцевых аллергенов амброзии, полыни, тимофеевки, берёзы (ФГУП НПО «Микроген», Ставрополь); в соответствии с инструкцией к применению препарата использовались концентрации лечебного аллергена от 10-6 до 10-1. Лечение начинали в январе-феврале и проводили в течение 3–4 мес до начала цветения растений. Использовалась классическая схема ПКИТ: начальный курс лечения при ПКИТ включал 32 инъекции аллергена, частоту введения препарата выбирали в зависимости от переносимости. Инъекции аллергена в разведении 10-6–10-3 выполняли по инструкции с интервалом 1–2 дня. После достижения концентраций 10-2–10-1 переходили на ритм введения 1 раз в 7 дней. Суммарная курсовая доза аллергена составила не менее 3300 PNU.
Выбор препарата осуществляли на основании кожных проб и показателей специфических IgE к мажорным аллергенам пыльцы. ПКИТ водно-солевым раствором амброзии получал 21 (35%) пациент, растворами аллергенов амброзии и полыни ― 30 (50%), амброзии и тимофеевки ― 7 (11,7%), амброзии и берёзы ― 2 (3,3%). Препараты вводили в разные конечности с интервалом 30 мин. Первый курс ПКИТ завершён у 52 (86,7%) пациентов, второй курс ― у 43 (71,7%).
Исследование не предполагало дополнительных медицинских вмешательств, кроме рекомендованных национальными клиническими руководствами по проведению АСИТ. Дополнительно пациенты заполняли дневники симптомов, им выполнялся анализ крови для определения маркеров эффективности АСИТ.
Все пациенты подписывали информированное согласие на участие в исследовании.
Основной исход исследования
Для достижения поставленной цели определяли спонтанный и стимулированный аллергеном ВАТ перед началом, а также по окончании первого и второго курсов ПКИТ.
Дополнительные исходы исследования
Для оценки эффективности терапии АР применяли шкалу симптомов RTSS (Rhinoconjunctivitis total symptom score) и шкалу ежедневного учёта лекарственных средств DMS (Daily medication score) [19]. В сезон пыления пациенты регистрировали выраженность клинических симптомов и объём лекарственной терапии в дневниках самонаблюдения. Во время визита врачом осуществлялся анализ 6 признаков заболевания: затруднение носового дыхания; чихание; ринорея; зуд в полости носа; слезотечение; зуд глаз. Подсчитывалось среднее количество баллов с учётом шкалы RTSS (0 баллов ― отсутствие признака; 1 балл ― минимальная; 2 балла ― умеренная; 3 балла ― максимально высокая выраженность симптомов). Количество баллов за сутки колебалось в пределах от 0 до 18 (табл. 1).
Таблица 1. Шкала суммарной оценки симптомов риноконъюнктивита (Rhinoconjunctivitis total symptom score, RTSS)
Table 1. Scale of summary assessment of rhinoconjunctivitis symptoms (Rhinoconjunctivitis total symptom score, RTSS)
Признак  | Оценка в баллах  | 
Заложенность носа  | 0 ― отсутствие симптомов 1 ― минимальные симптомы 2 — умеренные симптомы 3 ― сильные симптомы Максимально 18 баллов  | 
Зуд носа  | |
Ринорея  | |
Чихание  | |
Зуд глаз  | |
Слезотечение  | 
Учёт лекарственной терапии проводился по схеме: отсутствие приёма лекарственных средств ― 0 баллов; системные или топические антигистаминные препараты или блокаторы лейкотриеновых рецепторов ― 1 балл; интраназальные топические глюкокортикостероиды (ГКС) в качестве монотерапии или в комбинации с топическими или системными антигистаминными или антилейкотриеновыми препаратами ― 2 балла; системные ГКС как монотерапия или в сочетании с топическими или системными антигистаминными средствами или блокаторами антилейкотриеновых рецепторов ― 3 балла. Количество баллов за сутки составляло от 0 до 3 (табл. 2).
Таблица 2. Шкала учёта медикаментозной терапии (Daily medical score, DMS)
Table 2. The scale of accounting for drug therapy (Daily medical score, DMS)
Объём препаратов  | Количество баллов  | 
Системные и топические негормональные препараты  | 1  | 
Топические глюкокортикоиды (ГКС) + системные и топические негормональные препараты  | 2  | 
Системные ГКС + топические ГКС + негормональные препараты  | 3  | 
Терапевтический эффект ПКИТ оценивали после каждого сезона цветения по субъективной оценке пациента согласно шкале удовлетворённости терапией (по А.А. Адо), где 1 балл ― неудовлетворительный эффект (отсутствие сдвигов в клиническом течении поллиноза); 2 балла ― удовлетворительный (симптомы поллиноза присутствуют, но выраженность их меньше); 3 балла ― хороший (лёгкие проявления поллиноза, быстро купируемые назначением симптоматической терапии); 4 балла ― отличный эффект (отсутствие симптомов поллиноза и необходимости применения медикаментозной терапии) [20], а также по изменению шкал RTSS и DMS [17].
Анализ в подгруппах
Представленные в работе данные получены при продольном исследовании в течение 2 лет пациентов с АР (n=60) в возрасте от 15 до 56 лет (23 женщины, 37 мужчин). В группу I включены 12 пациентов с моносенсибилизацией к пыльце амброзии, в группу II ― 12 пациентов, сенсибилизированных к амброзии и полыни, в группу III ― 36 пациентов, полисенсибилизированных к деревьям, луговым травам, сорнякам.
Методы регистрации исходов
Показатели спонтанной и индуцированной аллергеном активации базофилов определяли методом проточной цитометрии на лазерном проточном цитометре Navios (Beckman Coulter, США) с помощью набора Allergenicity Kit (Beckman Coulter, США). В качестве аллергенов для стимуляции применяли аллергены фирмы Buhlmann Laboratories AG (Германия): BAG-T3-берёза бородавчатая (Betula); BAG-W1-амброзия полыннолистная (Ambrosia); BAG-W1-6-полынь обыкновенная (Artemisia); BAG-G6-тимофеевка луговая (Phleum). Аллергены для провокации выбирали в зависимости от результатов кожных проб и показателей специфических IgE. Базофилы анализировали по экспрессии маркеров CRTH2 и CD203c. Активированные базофилы идентифицировали по фенотипу CRTH2pos CD203brightCD3neg. При выполнении BAT учитывали процент активированных базофилов в спонтанных условиях и после стимуляции аллергеном.
Под спонтанной активацией понимали экспрессию маркеров активации CD203с в негативном контроле. Индуцированная активация базофилов оценивалась после инкубации крови пациента с аллергеном в стандартной концентрации 20 нг/мл. В качестве положительного контроля использовали рабочий раствор ― антитела к IgE. Определение показателей BAT осуществляли до лечения и в процессе мониторинга ПКИТ. Снижение реактивности базофилов после первого и второго курсов ПКИТ регистрировали в случае уменьшения спонтанной и аллергениндуцированной активации базофилов на ≥20%.
Этическая экспертиза
Клиническое исследование одобрено локальным этическим комитетом университета (выписка из протокола № 61 заседания этического комитета ФГБОУ ВО СтГМУ от 18.01.2017).
Статистический анализ
Статистическую обработку полученных данных осуществляли с помощью программы Jamovi 2.01. Количественные значения представляли в виде медианы и интерквартильного (25-й и 75-й процентили) размаха (Me, Q1–Q3). Для оценки различий между 3 и более группами при повторных измерениях в случае непараметрического распределения использовали тест ANOVA Фридмана (Friedman), для проведения попарных сравнений в независимых группах ― критерий Краскела–Уоллиса (Kruskal–Wallis), при необходимости использования в зависимых выборках ― критерий Дарбина–Коновера (Durbin–Conover) с поправкой на множественные сравнения по Холму или Бонферрони (Holm или Bonferroni). При необходимости парного сравнения 2 групп использовался ранговый тест Вилкоксона (Wilcoxon) c вычислением размера (силы) эффекта (φ), 95% доверительного интервала (confidence interval, CI) и его средней разницы с первоначальными показателями. При изучении достоверности полученных исходов в 2 группах применяли критерий χ2 Пирсона. Для оценки мощности теста при необходимости указывались количество степеней свободы (df) и точное значение статистического критерия.
РЕЗУЛЬТАТЫ
Объекты (участники) исследования
Средний возраст пациентов составил 29,8±12,2 года. При выполнении кожных проб у 12 (20%) пациентов выявлена моносенсибилизация к аллергенам пыльцы амброзии, у 12 (20%) ― сенсибилизация (олигосенсибилизация) к аллергенам пыльцы амброзии и полыни, у 12 (20%) ― полисенсибилизация к пыльце сорняков (полыни, амброзии, подсолнечнику, лебеде, циклахене ― Cyclachaena xanthiifoli), у 17 (28,3%) ― к пыльце сорных трав и тимофеевки, у 7 (11,7%) ― к пыльце сорных трав и деревьев.
Антитела к мажорному аллергену амброзии (nAmb a 1) обнаружены в 49 (81,7%) случаях, полыни (nArt v 1) ― в 29 (48,3%), тимофеевки (rPhl p 1, rPhl p 5) ― в 17 (28,3%), берёзы (Bet v 1) ― в 7 (11,7%); рис. 2.
Рис. 2. Представленность сенсибилизации к мажорным аллергенам (n=60).
Примечание. Мажорные аллергены: nAmb a 1 ― амброзия; nArt v 1 ― полынь; rPhl p 1, 5 ― тимофеевка; Bet v 1 ― берёза.
У 15% пациентов, сенсибилизированных к пыльце растений, отмечалось лёгкое течение АР, у 73,3% ― среднетяжёлое, у 11,7% ― тяжёлое. В 41 (68,3%) случае в структуре коморбидной патологии регистрировали аллергический конъюнктивит, в 10 (16,7%) ― аллергическую бронхиальную астму.
Основные результаты исследования
Эффективность АСИТ. Использование водно-солевых аллергенов для подкожного применения сопряжено с рядом сложностей, но поскольку натуральные экстракты пыльцы относительно просты в производстве и содержат большинство белков аллергена, они успешно используются до настоящего времени. Общий эффект от проведённой ПКИТ в наблюдаемой выборке можно было считать успешным: у большинства пациентов наблюдалось клиническое улучшение состояния в период цветения растений, когда обычно развивалось обострение.
Оценка симптомов. Медиана количества баллов по RTSS у пациентов, сенсибилизированных к пыльце сорняков, до лечения достигала 13 [10; 15] баллов (табл. 3).
Таблица 3. Эффективность терапии у пациентов с аллергическим ринитом после первого и второго года аллергенспецифической иммунотерапии
Table 3. Efficacy of therapy in patients with allergic rhinitis after the first and second year of allergen-specific immunotherapy
Показатель  | RTSS, Me [Q1; Q3]  | DMS, Me [Q1; Q3]  | 
До терапии  | ||
После 1-го сезона  | ||
После 2-го сезона  | 
Примечание. Эффективность между показателями: * ― до лечения и первого сезона RTSS (p <0,001), DMS (p=0,002); + ― до лечения и второго сезона (p <0,001), DMS (p <0,001); # ―RTSS первого и второго сезонов (p=0,039).
Note: Efficiency between: * ― pre-treatment and 1 season RTSS (p <0,001), DMS (p=0,002); + ― pre-treatment and season 2 (p <0,001), DMS (p <0,001); # RTSS― season 1 and 2 (p=0,039).
После двух проведённых курсов терапии наблюдалась положительная динамика. После первого курса АСИТ суммарное количество баллов по шкале RTSS достоверно уменьшилось с 13 [10; 15] до 5 [4; 9], p=0,001. Абсолютная разница составила 7 баллов, или 53,8% в относительных единицах.
После второго сезона терапии RTSS снизился до 4,5 [3; 7, 5], относительная разница с оценкой до лечения составила 65,4% и была достоверно ниже исходных показателей до лечения (p <0,001). Разница в эффективности между первым и вторым сезоном была не так выражена, но и она смогла достигнуть статистически значимых значений. Медианы оценки симптомов были практически одинаковые, но статистически значимо уменьшилось число пациентов с максимальными баллами: 5 [4; 9] и 4,5 [3; 7, 5] (p=0,04); рис. 3.
Рис. 3. Динамика изменений симптомов: a ― после первого курса подкожной иммунотерапии по шкале RTSS (RTSS_0 ― показатели до лечения, RTSS_1 ― показатели после первого курса подкожной иммунотерапии); b ― после второго курса подкожной иммунотерапии по шкале RTSS (RTSS_1 ― показатели после первого курса подкожной иммунотерапии, RTSS_2 ― после второго курса подкожной иммунотерапии).
Примечание. По оси Y ― количество баллов RTSS, по оси X ― номер курса терапии.
Оценка медикаментозной терапии. Изначально течение АР у большинства пациентов соответствовало среднетяжёлой и тяжёлой степени: оценка по шкале DMS до терапии ― 2 [1; 2] балла. После проведённой терапии отмечалось клиническое улучшение, что выражалось снижением оценок медикаментозной терапии по шкале DMS с 2 [1; 2] до 1 [1; 2] как после первого, так и после второго курса ПКИТ. Обнаружены значимые различия в оценках DMS, которые были оценены до терапии и после первого и второго сезонов лечения (χ2=19,1; df=2; p <0,001). Разница между первым и вторым годом незначительная.
Тест активации базофилов
Спонтанная активация. Спонтанная активация базофилов у пациентов с АР до лечения составляла в среднем 8,15% [6, 10; 11, 9]. Мы разделили пациентов на 4 группы, соответствующие квартилям баллов симптоматической шкалы RTSS до терапии. У пациентов с низким (RTSS <9) и высоким (RTSS >15) количеством симптомов спонтанная активация клеток была сходная, и медианы спонтанного BAT в группах были примерно одинаковые. Таким образом, тест спонтанной активации базофилов не может быть использован для оценки тяжести симптомов АР до начала терапии (рис. 4).
Рис. 4. Сравнение медиан спонтанного теста активации базофилов (BAT) до терапии у пациентов с различной интенсивностью симптомов.
Примечание. Группа 1 ― RTSS квартиль 1 (0–10 баллов); группа 2 ― RTSS квартиль 2 (10–13 баллов); группа 3 ― RTSS квартиль 3 (13–15 баллов); группа 4 ― RTSS квартиль 4 (>15 баллов).
Значимые изменения в данной работе показала динамика спонтанной активации базофилов на фоне ПКИТ. Уменьшение спонтанной реактивности базофилов (разница ≥20%) после первого курса ПКИТ регистрировалось в 19 пробах из 52 (36,5%), после второго курса ― в 39 из 43 (90,7%) со значимыми различиями (χ2=29,034; p <0,001). Статистическая сила связи между риском и исходом была относительно сильной (критерий φ=0,55).
После первого курса АСИТ показатели BAT составили 9,0% [6, 30; 12, 0], что не отличалось от значений до терапии ― 8,15% [6, 10; 11, 9]. После второго курса лечения наблюдалось уменьшение спонтанной активации базофилов до 6,20% [4, 27; 9, 00]. Установлены различия высокой достоверности по сравнению с исходными показателями (χ2=15,5, p <0,001).
Попарные сравнения показали значимые различия между спонтанной активацией базофилов только после второго курса терапии. В первый год лечения показатели спонтанной BAT не смогли достигнуть статистически значимых различий, и распределение было идентичным, однако после второго курса ПКИТ медианы достоверно отличались (рис. 5).
Рис. 5. Динамика изменения спонтанной активации базофилов (ВАТ) после лечения: a (BAT_spontaneous) ― спонтанный тест активации базофилов до терапии; b (BAT_spont_1) ― тест после первого курса подкожной иммунотерапии; c (BAT_spont_2) ― тест после второго курса подкожной иммунотерапии.
Примечание. По оси Y ― активированные базофилы, %.
После второго курса лечения средние показатели спонтанного BAT в независимых группах, разделённых по уровню симптомов (квартили RTSS), также не показали значимых различий между собой. Разница между медианами по Kruskal–Wallis оказалась недостоверной (χ²=1,5; df=3; p=0,68). Таким образом, ВАТ может быть применён у любых пациентов с АР, независимо от интенсивности симптомов, поскольку показатели снижения активации базофилов оказались сходными во всех группах (рис. 6).
Рис. 6. Сравнение медианных значений спонтанной активации базофилов (BAT) после второго курса терапии у пациентов с различной интенсивностью симптомов.
Примечание. По оси Y ― активированные базофилы (%). Группа 1 ― RTSS квартиль 1 (0–10 баллов); группа 2 ― RTSS квартиль 2 (10–13 баллов); группа 3 ― RTSS квартиль 3 (13–15 баллов); группа 4 ― RTSS квартиль 4 (>15 баллов).
Индуцированная активация базофилов после курса АСИТ. До лечения индекс активации базофилов, индуцированный аллергеном амброзии, был отличным в группах с разной интенсивностью симптомов, определённой по шкале RTSS. У пациентов с RTSS >15 медианы BAT c амброзией были значимо выше, чем у пациентов с RTSS <7 (рис. 7).
Рис. 7. Сравнение индуцированного аллергеном амброзии теста активации базофилов (BAT) до лечения в группах пациентов с разной интенсивностью симптомов по шкале RTSS, разделённых по 4 квартилям.
Примечание. По оси Y ― активированные базофилы (%). Группа 1 ― RTSS квартиль 1 (0–10 баллов); группа 2 ― RTSS квартиль 2 (10–13 баллов); группа 3 ― RTSS квартиль 3 (13–15 баллов); группа 4 ― RTSS квартиль 4 (>15 баллов).
После второго курса лечения при сравнении пациентов с разной интенсивностью симптомов, измеренных по RTSS, наблюдалась тенденция к сглаживанию различий (рис. 8). У пациентов с высоким значением RTSS медианные значения BAT снижались, и различия между группами перестали обнаруживаться (p=0,3).
Рис. 8. Сравнение индуцированного аллергеном амброзии теста активации базофилов (BAT) после второго курса подкожной иммунотерапии в группах пациентов с разным количеством симптомов, определённых по шкале RTSS и разделённых по 4 квартилям.
Примечание. По оси Y ― активированные базофилы (%). Группа 1 ― RTSS квартиль 1 (0–10 баллов); группа 2 ― RTSS квартиль 2 (10–13 баллов); группа 3 ― RTSS квартиль 3 (13–15 баллов); группа 4 ― RTSS квартиль 4 (>15 баллов).
Для ВАТ, индуцированного аллергеном полыни, закономерность изменения активации базофилов в зависимости от интенсивности симптомов не наблюдалась ни до, ни после лечения (p >0,5).
Через 3 мес от начала ПКИТ в 58 из 86 (67,4%) проб отмечалось снижение индуцированной реактивности базофилов на ≥20% после провокации аллергеном, через 15 мес ― в 48 из 71 (67,6%). Показатели были стабильные в течение всего периода наблюдения.
У пациентов, сенсибилизированных к амброзии, исходный уровень индуцированного BAT после инкубации с аллергеном экстракта амброзии составил 64,7% [40, 2; 80, 2]. Обращает на себя внимание значительно более активный процесс экспрессии маркеров активации после инкубации с аллергеном по сравнению со спонтанной базальной активностью: 8,2% [6, 1; 11, 9]. Феномен свидетельствует о том, что определение индуцированной активации базофилов у пациентов с АР может быть дополнительным маркером сенсибилизации.
При анализе средних показателей BAT установлено снижение спонтанной реактивности базофилов после второго курса лечения (табл. 4). Максимальные различия для индуцированной активации получены после первого сезона терапии, после второго курса терапии значения BAT были ниже, чем исходные до АСИТ (см. табл. 4). В последующем (через 15 мес) уровни BAT с амброзией несколько возрастали, однако не достигали значений до лечения.
Таблица 4. Влияние подкожной иммунотерапии на показатели теста активации базофилов (BAT) у пациентов, сенсибилизированных к пыльце сорных трав
Table 4. Effect of subcutaneous immunotherapy on basophil activation test (BAT) scores in patients sensitized to weed pollen
Показатели  | До лечения (1)  | После 1-го курса ПКИТ (2)  | После 2-го курса ПКИТ (3)  | p  | 
BAT спонтанный, %  | 0–1=0,6 0–2<0,001 1–2<0,001  | |||
BAT Ambrosia, %  | 0–1<0,001 0–2<0,001 1–2=0,11  | |||
BAT Artemisia, %  | 0–1=0,012 0–2=0,059 1–2=0,5  | 
Примечание. p ― статистическая значимость различий: 0–1 ― до лечения и после первого курса подкожной иммунотерапии (ПКИТ); 0–2 ― до лечения и после второго курса подкожной иммунотерапии; 1–2 ― после первого и второго курсов подкожной иммунотерапии. ANOVA Friedman, метод попарного сравнения Durbin–Conover.
Note: p ― statistical significance of differences: 0–1 ― before treatment vs season 1 subcutaneous immunotherapy; 0–2 ― before treatment vs season 2 subcutaneous immunotherapy; 1–2 ― 1 vs 2 treatment season subcutaneous immunotherapy. ANOVA Friedman, pairwise comparison Durbin–Conover.
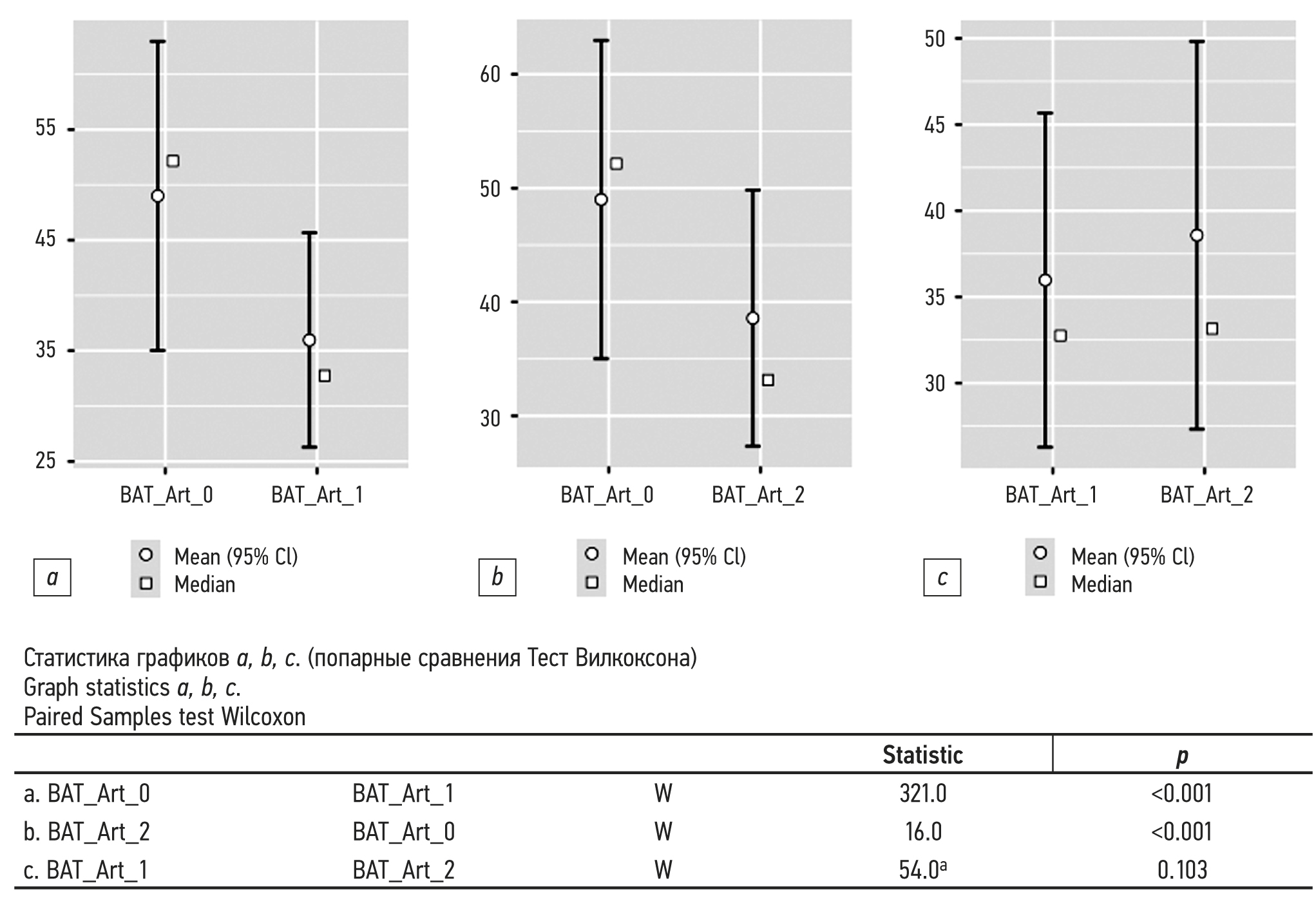
Статистически значимые различия были получены для показателей реактивности базофилов, индуцированной аллергеном амброзии, начиная с первого сезона лечения. Средняя разница между группами по сравнению с исходным уровнем после первого курса ПКИТ составила 11,25% (CI 95% 7,10; 15,10), p <0,001, после второго ― 8,63% (CI 95 5,30; 12,05), p <0,001 (рис. 9). Различия между первым и вторым годом лечения не найдены.
Рис. 9. Динамика изменения средних показателей теста активации базофилов (BAT), индуцированного аллергеном амброзии: a ― различия между тестами до терапии и после первого курса подкожной иммунотерапии; b ― различия между тестами до терапии и после второго курса подкожной иммунотерапии; c ― различия между тестами после первого и второго курсов подкожной иммунотерапии.
Для BAT, индуцированного полынью, при сравнении с помощью рангового теста Wilcoxon получены достоверные различия между средними значениями BAT. Статистически значимые различия показателей ВАТ, индуцированных полынью, фиксировались уже после первого курса терапии.
Разница между средними показателями BAT, измеренными до терапии и после первого курса, была максимальной и составила 12% (CI 95% 6,95; 17,90), p <0,001 (рис. 10). После второго курса наблюдался небольшой рост показателей BAT, и разница была недостоверна. Суммарная средняя разница к концу лечения по сравнению с исходными значениями оказалась равной 9,67% (CI 95% 6,85; 15,90), p <0,001.
Рис. 10. Динамика изменения средних показателей теста активации базофилов (BAT), индуцированного аллергеном полыни: a ― различия между тестами до терапии и после первого курса подкожной иммунотерапии; b ― различия между тестами до терапии и после второго курса подкожной иммунотерапии; c ― различия между тестами после первого и второго курса подкожной иммунотерапии.
Нежелательные явления
Двое пациентов с отёками мягких тканей лица, губ, языка исключены из исследования. В 17,3% случаев во время первого курса ПКИТ и в 13,9% во время второго курса возникали местные реакции, которые прошли самостоятельно или на фоне приёма антигистаминных препаратов.
ОБСУЖДЕНИЕ
Резюме основного результата исследования
ВАТ может применяться у пациентов независимо от интенсивности симптомов. Снижение спонтанной активации базофилов отмечается после второго курса АСИТ. Статистически значимое уменьшение индуцированной аллергеном реактивности базофилов отмечается уже после первого сезона ПКИТ, что сопровождается положительной динамикой клинических симптомов.
Обсуждение основного результата исследования
Базофилы периферической крови, как и тучные клетки, являются первичными эффекторными клетками в IgE-опосредованных аллергических реакциях. ВАТ определяет экспрессию маркеров активации CD63 и CD203c под действием аллергена и имеет преимущество перед измерением специфических IgE [21]. Использование маркеров активации тучных клеток встречается в работах, посвящённых развитию оральной толерантности при анафилаксии, вызванной арахисом, где реакция тучных клеток прямо связана с тяжестью болезни [22–24]. Предполагается, что стимуляция базофилов in vitro повторяет развитие аллергического заболевания in vivo и позволяет оценить функциональную активность фиксированных IgE [25].
В последние годы показано, что ВАТ является аналогом провокационных проб и может эффективно использоваться при диагностике аллергических заболеваний. Вместе с тем авторам кажется, что динамическое определение BAT особенно полезно в условиях проведения иммунотерапии. Определение способности к активации базофилов использовалось при АР с сенсибилизацией к луговым травам [26], при бронхиальной астме у детей и взрослых [27, 28]. Имеются работы, описывающие опыт применения ВАТ при мониторинге эффективности АСИТ, как сублингвальной, как и подкожной [29–32]. Кинетика подавления BAT свидетельствует о раннем формировании иммунологической толерантности [33].
По нашим результатам, используя динамику ВАТ, мы можем констатировать быстрое наступление иммунологического эффекта на фоне ПКИТ. Снижение спонтанного и индуцированного BAT может быть прогностически значимым для развития клинического эффекта. Кроме того, снижение средних показателей BAT в начале лечения может способствовать раннему выявлению групп пациентов, отвечающих на терапию.
Необходимость АСИТ более высокими дозами или проведение ПКИТ большей длительностью для пациентов с низкой динамикой BAT может быть темой дальнейшего изучения.
Снижение способности к активации базофилов у пациентов, получающих ПКИТ, может быть связано с развитием клеточной анергии и появлением блокирующих антител [32]. Сыворотка крови после лечения обычно содержит аллергенспецифические антитела IgG4, IgG1 или IgA, которые уменьшают количество аллергена, способного перекрёстно связывать IgE на поверхности базофилов [34]. Маскируя эпитопы аллергена, блокирующие антитела ингибируют его взаимодействие с IgE и предотвращают FcεRI-опосредованную активацию базофилов [35].
Кроме того, блокирующие антитела участвуют в рецепторопосредованном ингибировании. Одновременное взаимодействие поливалентного аллергена c IgE, связанного с FcεRI, и IgG, связанного с FcγRIIb, на поверхности базофила приводит к фосфорилированию цитозольного рецептора ITIM, сопряжённого с FcγRIIb. В результате активации протеинтирозинфосфатазы (SHP) и инозитолфосфатазы (SHIP) уменьшаются активности Syk и PIP3, участвующих в передаче сигналов через FcεRI [35]. На ранних стадиях ПКИТ отмечено снижение количества базофилов, их статуса активации (CD203c), снижение продукции IL-4, IL-13, что может быть одним из механизмов терапевтического действия ПКИТ [36].
В нашем исследовании удалось показать снижение средних значений ВАТ при проведении ПКИТ пыльцой амброзии и/или полыни. При этом результаты оценки эффективности ПКИТ с помощью BAT в литературных источниках достаточно противоречивы. В работах N.M. Gokmen и соавт. [37] установлено, что реактивность базофилов снижается после АСИТ аллергенами пыльцы оливы, трав [26, 30, 38], домашней пыли [17]. Изменение чувствительности базофилов в течение первых 3 нед АСИТ коррелировало с клиническим эффектом в течение первого года [38], а также после 3 лет лечения и предлагалось в качестве предиктора эффективности АСИТ [39]. В нашей работе результаты, полученные через 3 мес, были стабильными и сохранялись до конца наблюдения, что корреспондирует с данными J.M. Schmid и соавт. [38, 39].
В серии исследований не доказана информативность BAT в качестве биомаркера при ПКИТ аллергенами луговых трав [40], клещей домашней пыли [41, 42]. Вероятно, результаты BAT могут различаться в зависимости от длительности ПКИТ, а также способа введения аллергена. По данным R.A. Trabado и соавт. [43], реактивность базофилов уменьшается через 3 мес от начала терапии, затем вновь возрастает, снижаясь в последующем на фоне длительного поддерживающего лечения в течение двух лет. В нашем наблюдении медианы BAT быстро снижались примерно на 10–12% уже после первого курса и незначительно возрастали к концу второго года, оставаясь всё же меньше, чем исходные уровни.
Существует мнение S.K. Christensen и соавт. [44], что уменьшение активности базофилов на фоне пролонгированной ПКИТ имеет неспецифический характер, обусловленный её влиянием на внутриклеточные сигнальные пути [44, 45]. Авторы выявили снижение реактивности базофилов у больных с поливалентной сенсибилизацией к пыльце берёзы и клещу домашней пыли. АСИТ снижала фосфорилирование p38MAPK, что сопровождалось уменьшением экспрессии маркеров активации [44]. Примечательно, что во время пероральной АСИТ арахисом наблюдалось снижение реактивности базофилов не только к причинно-значимому аллергену, но и к клинически незначимым аллергенам яйца, что предполагает развитие анергии базофилов [46]. Выше показано, что активация базофилов может коррелировать с экспрессией тирозинкиназы Syk ― фермента, необходимого для IgE-опосредованного высвобождения гистамина, который, возможно, является потенциальным биомаркером прогнозирования клинической эффективности анти-IgE-терапии [47].
Снижение спонтанной активации базофилов, показанное в нашей работе, говорит об общем положительном действии на базофилы после курса ПКИТ. Полученные результаты свидетельствуют о целесообразности новых исследований в области неспецифического действия ПКИТ на иммунную систему в отношении развития толерантности и предотвращения новых сенсибилизаций. Расхождения между исследованиями могут быть обусловлены природой молекул аллергена, его дозой и способом введения аллерговакцины (сублингвально или подкожно) [42, 46]. Мы предполагаем, что сублингвальная иммунотерапия будет вызывать сходные изменения у пациентов, снижая экспрессию рецепторов, связанных с выбросом гистамина (CD203 и CD63).
Ограничения исследования
Исследование проводилось в условиях реальной клинической практики без группы контроля, что делает невозможным отследить естественную динамику изменения BAT вследствие сезонного воздействия пыльцы. Величина групп не позволяет использовать методы параметрической статистики, что повышает вероятность статистической ошибки 2-го рода. Короткий период наблюдения (около 2 лет) не включал период после окончания лечения. Использовалась фиксированная концентрация аллергенов индукторов при проведении ВАТ (20 нг/мл), что могло повлиять на результат. Необходимо сопоставление показателей BAT с другими потенциальными предикторами ПКИТ, что позволит более точно определить прогностическую ценность BAT.
ЗАКЛЮЧЕНИЕ
У подавляющего большинства пациентов с АР на Юге России обнаруживается сенсибилизация к мажорным антигенам амброзии. АСИТ является единственным способом повлиять на патогенез заболевания и индуцировать толерантность к аллергену. Ограниченная представленность на рынке стандартизированных препаратов для ПКИТ, а также персонализированный подход к лечению требуют поиска маркеров эффективности терапии. ВАТ используется для диагностики АР и локального АР. Однако информативность BAT в качестве предиктора эффективности АСИТ ещё предстоит доказать. Нами установлено, что тесты индуцированной активации базофилов могут изменяться уже через 3–4 мес от начала лечения подкожными аллергенами. Статистически значимое уменьшение индуцированной реактивности базофилов сопровождается положительным эффектом от лечения и снижением индексов RTSS и DMS.
Снижение спонтанной реактивности базофилов наблюдается после второго курса ПКИТ, что может свидетельствовать об общем позитивном действии ПКИТ на иммунную систему. Полученные нами данные позволяют рассматривать реактивность базофилов в качестве потенциального маркера эффективности ПКИТ. Отсутствие динамики активации базофилов у отдельных пациентов можно расценивать как неадекватный ответ на АСИТ, требующий модификации лечения (увеличение поддерживающей дозы, длительности проведения ПКИТ) или добавления коадъювантных препаратов. Мы надеемся, что дальнейшие исследования позволят более точно определить возможности применения теста спонтанной и индуцированной активации базофилов в качестве предикторов эффективности АСИТ.
ДОПОЛНИТЕЛЬНАЯ ИНФОРМАЦИЯ
Источник финансирования. Авторы заявляют об отсутствии внешнего финансирования при проведении исследования.
Конфликт интересов. Авторы декларируют отсутствие явных и потенциальных конфликтов интересов, связанных с публикацией настоящей статьи.
Вклад авторов. Все авторы подтверждают соответствие своего авторства международным критериям ICMJE (все авторы внесли существенный вклад в разработку концепции, проведение исследования и подготовку статьи, прочли и одобрили финальную версию перед публикацией). Наибольший вклад распределён следующим образом: Л.Ю. Барычева ― структура и дизайн работы, интерпретация данных, редактирование текста; Л.В. Душина ― выполнение теста активации базофилов, молекулярной аллергодиагностики; С.С. Масальский ― статистическая обработка данных, написание текста статьи; Ю.С. Смолкин ― редакция текста статьи; Н.А. Козьмова ― сбор и объединение клинических данных; Е.А. Куропатникова ― объединение и систематизация лабораторных данных.
ADDITIONAL INFORMATION
Funding source. This study was not supported by any external sources of funding.
Competing interests. The authors declare that they have no competing interests.
Authors’ contribution. All authors made a substantial contribution to the conception of the work, acquisition, analysis, interpretation of data for the work, drafting and revising the work, final approval of the version to be published and agree to be accountable for all aspects of the work. L.Yu. Barycheva ― structure and design of the work, data interpretation, text editing; L.V. Dushina ― performing a basophil activation test, molecular allergy diagnostics; S.S. Masalsky ― statistical data processing, writing the text of the article; Yu.S. Smolkin ― text editing; N.A. Kozmova ― collection and integration of clinical data; E.A. Kuropatnikova ― association and systematization of laboratory data.
1 The jamovi project (2021). jamovi. (Version 1.8) [Computer Software]. Retrieved from https://www.jamovi.org. R Core Team (2021). R: A Language and environment for statistical computing. (Version 4.0) [Computer software]. Retrieved from https://cran.r-project.org. (R packages retrieved from MRAN snapshot 2021-04-01).
About the authors
Liudmila Yu. Barycheva
Stavropol State Medical University
							Author for correspondence.
							Email: for_ludmila@inbox.ru
				                	ORCID iD: 0000-0002-4069-0566
				                	SPIN-code: 8946-3393
																		                								
MD, Dr. Sci. (Med.), Professor
Россия, StavropolLiudmila V. Dushina
Stavropol State Medical University; Stavropol Regional Clinical Consultative and Diagnostic Center
														Email: dushina.stv@gmail.com
				                	ORCID iD: 0000-0001-5806-972X
				                	SPIN-code: 3599-5095
																		                								
MD, Cand. Sci. (Med.)
Россия, Stavropol; StavropolSergey S. Masalskiy
Association Pediatric Allergist and Immunologist Russia; Scientific-Clinical Consultative Center of Allergology and Immunology
														Email: masalsky85@gmail.com
				                	ORCID iD: 0000-0002-2048-5709
				                	SPIN-code: 1709-2182
																		                								
MD, Cand. Sci. (Med.)
Россия, Moscow; MoscowYuri S. Smolkin
Association Pediatric Allergist and Immunologist Russia; Scientific-Clinical Consultative Center of Allergology and Immunology; Academy of Postgraduate Education of the Federal Research and Clinical Center of Specialized Medical Care and Medical Technologies
														Email: smolking@df.ru
				                	ORCID iD: 0000-0001-7876-6258
				                	SPIN-code: 7068-4939
																		                								
MD, Dr. Sci. (Med.)
Россия, Moscow; Moscow; MoscowNatalia A. Kozmova
Stavropol State Medical University
														Email: kozmova@mail.ru
				                	ORCID iD: 0000-0003-0971-5347
				                	SPIN-code: 5236-9634
																		                												                	Россия, 							Stavropol						
Elena A. Kuropatnikova
Scientific-Clinical Consultative Center of Allergology and Immunology; Academy of Postgraduate Education of the Federal Research and Clinical Center of Specialized Medical Care and Medical Technologies
														Email: Lenysionok@mail.ru
				                	ORCID iD: 0000-0001-5764-6441
				                	SPIN-code: 2065-9023
																		                												                	Россия, 							Moscow; Moscow						
References
- D’Amato G, Chong-Neto HJ, Monge Ortega OP, et al. The effects of climate change on respiratory allergy and asthma induced by pollen and mold allergens. Allergy. 2020;75(9):2219–2228. doi: 10.1111/all.14476
 - Katelaris CH, Beggs PJ. Climate change: allergens and allergic diseases. Intern Med J. 2018;48(2):129–134. doi: 10.1111/imj.13699
 - Damialis A, Traidl-Hoffmann C, Treudler R. Climate change and pollen allergies. Biodiversity Health Face Climate Change. Springer, Cham; 2019. Р. 47–66. doi: 10.1007/978-3-030-02318- 8_3
 - Bergmann KC, Heinrich J, Niemann H. Current status of allergy prevalence in Germany: position paper of the environmental medicine commission of the Robert Koch institute. Allergo J Int. 2016;25:6–10. doi: 10.1007/s40629-016-0092-6
 - Allergology and clinical immunology. Clinical recommendations. Ed. by R.M. Khaitov, N.I. Ilyina. Moscow: GEOTAR-Media; 2019. 336 р. (In Russ).
 - Trofimenko SL, Rakova KA. Pollen allergy in Rostov-on-Don. Russ Rhinology. 2015;(23):36–39. (In Russ). doi: 10.17116/rosrino201523136-39
 - Macharadze DS. Ambrosia allergy. Features of diagnosis and treatment. Med Оpponent. 2019;2(6)48–55. (In Russ).
 - Pfaar O, Bonini S, Cardona V, et al. Perspectives in allergen immunotherapy: 2017 and beyond. Allergy. 2018;73(Suppl 104):5–23. doi: 10.1111/all.13355
 - Smolkin YS, Masalskiy SS. Antihistamines in the treatment of allergic rhinitis. Allergol Immunol Pediatrics. 2018;2(53):5–13. (In Russ). doi: 10.24411/2500-1175-2018-00006
 - Balabolkin II. Pollinosis in children and adolescents: modern aspects of pathogenesis and tendencies in therapy. Allergol Immunol Pediatrics. 2020;62(3):6–14. (In Russ). doi: 10.24411/2500-1175-2020-10007
 - Mueller RS. Update on allergen immunotherapy. Vet Clin North Am Small Anim Pract. 2019;49(1):1–7. doi: 10.1016/j.cvsm.2018.08.001
 - Drazdauskaitė G, Layhadi JA, Shamji MH. Mechanisms of allergen immunotherapy in allergic rhinitis. Curr Allergy Asthma Rep. 2020;21(1):2. doi: 10.1007/s11882-020-00977-7
 - Sindher SB, Long A, Acharya S, et al. The use of biomarkers to predict aero-allergen and food immunotherapy responses. Clin Rev Allergy Immunol. 2018;55(2):190–204. doi: 10.1007/s12016-018-8678-z
 - Moingeon P. Biomarkers for allergen immunotherapy: a “panoromic” view. Immunol Allergy Clin North Am. 2016;36(1): 161–179. doi: 10.1016/j.iac.2015.08.004
 - Matricardi PM, Dramburg S, Potapova E, et al. Molecular diagnosis for allergen immunotherapy. J Allergy Clin Immunol. 2019;143(3):831–843. doi: 10.1016/j.jaci.2018.12.1021
 - Callery EL, Keymer С, Barnes NA, Rowbottom AW. Component-resolved diagnostics in the clinical and laboratory investigation of allergy. Ann Clin Biochem. 2020;57(1):26–35. doi: 10.1177/0004563219877434
 - Feng M, Zeng X, Su Q. Allergen immunotherapy-induced immunoglobulin g4 reduces basophil activation in house dust mite-allergic asthma patients. J Front Cell Dev Biol. 2020;8:30. doi: 10.3389/fcell.2020.00030
 - Barycheva LY, Dushina LV, Medvedenko YN. Changes in basophil reactivity and synthesis of specific immunoglobulins e influenced by allergen-immunotherapy. Allergology Immun Pediatrics. 2020;1(64):15–23. doi: 10.24412/2500-1175-2021-1-15-23
 - Pfaar O, Demoly P, Gerth van Wijk R, et al.; European Academy of Allergy and Clinical Immunology. Recommendations for the standardization of clinical outcomes used in allergen immunotherapy trials for allergic rhinoconjunctivitis: an EAACI Position Paper. Allergy. 2014;69(7):854–867. doi: 10.1111/all.12383
 - Ado AD. Chastnaya allergologiya. Moscow: Medicine; 1976. 510 р. (In Russ).
 - Chen J, Zhou Y, Wang Y, et al. Specific immunoglobulin E and immunoglobulin G4 toward major allergens of house-dust mite during allergen-specific immunotherapy. Am J Rhinol Allergy. 2017;31(3):156–160. doi: 10.2500/ajra.2017.31.4434
 - Sahin E, Bafaqeeh SA, Guven SG, et al. Mechanism of action of allergen immunotherapy. Am J Rhinol Allergy. 2016;30(5):1–3. doi: 10.2500/ajra.2016.30.4367
 - Narisety SD, Frischmeyer-Guerrerio PA, Keet CA, et al. A randomized, double-blind, placebo-controlled pilot study of sublingual versus oral immunotherapy for the treatment of peanut allergy. J Allergy Clin Immunol. 2015;135(5):1275–1282. doi: 10.1016/j.jaci.2014.11.005
 - Vickery BP, Scurlock AM, Kulis M, et al. Sustained unresponsiveness to peanut in subjects who have completed peanut oral immunotherapy. J Allergy Clin Immunol. 2014;133(2):468–475. doi: 10.1016/j.jaci.2013.11.007
 - Gorelik M, Narisety SD, Guerrerio AL, et al. Suppression of the immunologic response to peanut during immunotherapy is often transient. J Allergy Clin Immunol. 2015;135(5):1283–1292. doi: 10.1016/j.jaci.2014.11.010
 - Zidarn M, Kosnik M, Silar M, et al. Sustained effect of grass pollen subcutaneous immunotherapy on suppression of allergen-specific basophil response; a real-life, nonrandomized controlled study. Allergy. 2015;70:547–555. doi: 10.1111/all.12581
 - Liм Q, Li M, Yue W, et al. Predictive factors for clinical response to allergy immunotherapy in children with asthma and rhinitis. Int Arch Allergy Immunol. 2014;164(3):210–217. doi: 10.1159/000365630
 - Andorf S, Borres MP, Block W, et al. Association of clinical reactivity with sensitization to allergen components in multifood-allergic children. J Allergy Clin Immunol Pract. 2017;5(5):1325–1334. doi: 10.1016/j.jaip.2017.01.016
 - Bidad K, Nawijn MC, Van Oosterhout AJ, et al. Basophil activation test in the diagnosis and monitoring of mastocytosis patients with wasp venom allergy on immunotherapy. Cytometry B Clin. Cytom. 2014;86(3):183–190. doi: 10.1002/cyto.b.21148
 - Ozdemir SK, Sin BA, Guloglu D, et al. Short-term preseasonal immunotherapy: is early clinical efficacy related to the basophil response? Int Arch Allergy Immunol. 2014;164(3):237–245. doi: 10.1159/000365628
 - Hoffmann HJ, Valovirta E, Pfaar O, et al. Novel approaches and perspectives in allergen immunotherapy. Allergy. 2017;72(7): 1022–1034. doi: 10.1111/all.13135
 - Santos AF, Alpan O, Hoffmann H. Basophil activation test: Mechanisms and considerations for use in clinical trials and clinical practice. Allergy. 2021;76(8):2420–2432. doi: 10.1111/all.14747
 - Sainte-Laudy J, Touraine F, Cluzan D, Moudourou F. Follow-up of venom immunotherapy on flow cytometry and definition of a protective index. Int Arch Allergy Immunol. 2016;170(4):243–250. doi: 10.1159/000449162
 - Santos AF, James LK, Bahnson HT, et al. IgG4 inhibits peanut-induced basophil and mast cell activation in peanut-tolerant children sensitized to peanut major allergens. J Allergy Clin Immunol. 2015;135(5):1249–1256. doi: 10.1016/j.jaci.2015.01.012
 - Kanagaratham C, El Ansari YS, Lewis OL, Oettgen HC. IgE and IgG antibodies as regulators of mast cell and basophil functions in food allergy. Front Immunol. 2020;11:603050. doi: 10.3389/fimmu.2020.603050
 - Plewako H, Wosinska K, Arvidsson M, et al. Basophil interleukin 4 and interleukin 13 production is suppressed during the early phase of rush immunotherapy. Int Arch Allergy Immunol. 2006;141(4): 346–353. doi: 10.1159/000095461
 - Gokmen NM, Ersoy RO, Gulbahar O, et al. Desensitization effect of preseasonal seven-injection allergoid immunotherapy with olive pollen on basophil activation: the efficacy of olive pollen-specific preseasonal allergoid immunotherapy on basophils. Int Arch Allergy Immunol. 2012;159(1):75–82. doi: 10.1159/000335251
 - Schmid JM, Würtzen PA, Dahl R, Hoffmann HJ. Early improvement in basophil sensitivity predicts symptom relief with grass pollen immunotherapy. J Allergy Clin Immunol. 2014;134(3):741–744. doi: 10.1016/j.jaci.2014.04.029
 - Schmid JM, Wurtzen PA, Siddhuraj P, et al. Basophil sensitivity reflects long-term clinical outcome of subcutaneous immunotherapy in grass pollen-allergic patients. Allergy. 2021;76(5):1528–1538. doi: 10.1111/all.14264
 - Van Overtvelt L, Baron-Bodo V, Horiot S, et al. Changes in basophil activation during grass-pollen sublingual immunotherapy do not correlate with clinical efficacy. Allergy. 2011;66(12): 1530–1537. doi: 10.1111/j.1398-9995.2011.02696.x
 - Czarnobilska EM, Bulanda M, Śpiewak R. The usefulness of the basophil activation test in monitoring specific immunotherapy with house dust mite allergens. Postepy Dermatol Alergol. 2018;35(1): 93–98. doi: 10.5114/ada.2018.73169
 - Kim SH, Kim SH, Chung SJ, et al. Changes in basophil activation during immunotherapy with house dust mite and mugwort in patients with allergic rhinitis. Asia Pac Allergy. 2018;8(1):6. doi: 10.5415/apallergy.2018.8.e6
 - Trabado RA, Hijón CC, Cantariño RA, et al. Short-, intermediate-, and long-term changes in basophil reactivity induced by venom immunotherapy. Allergy Asthma Immunol Res. 2016;8(5):412–420. doi: 10.4168/aair.2016.8.5.412
 - Christensen SK, Krohn I, Thuraiaiyah J, et al. Sequential allergen desensitization of basophils is non-specific and may involve p38 MAPK. Allergy. 2014;69(10):1343–1349. doi: 10.1111/all.12482
 - Keet CA, Frischmeyer-Guerrerio PA, Thyagarajan A, et al. The safety and efficacy of sublingual and oral immunotherapy for milk allergy. J Allergy Clin Immunol. 2012;129(2):448–455. doi: 10.1016/j.jaci.2011.10.023
 - Thyagarajan A, Jones SM, Calatroni A, et al. Evidence of pathway-specific basophil anergy induced by peanut oral immunotherapy in peanut-allergic children. Clin Exp Allergy. 2012;42(8):1197–1205. doi: 10.1111/j.1365-2222.2012.04028.x
 - MacGlashan DW. Syk expression and IgE-mediated histamine release in basophils as biomarkers for predicting the clinical efficacy of omalizumab. J Allergy Clin Immunol. 2017;139(5):1680–1682. doi: 10.1016/j.jaci.2016.12.965
 
Supplementary files
				
			
							










