Comparative analysis of clinical efficacy and safety of omalizumab biosimilar in the treatment of patients with chronic spontaneous urticaria
- Authors: Shulzhenko A.E.1, Sorokina L.E.1, Kovalkova E.V.2, Kuznetsova E.V.3, Fomina D.S.2,3,4
-
Affiliations:
- National Research Center ― Institute of Immunology Federal Medical-Biological Agency of Russia
- Center of Allergy and Immunology Clinical Moscow City Hospital 52
- The First Sechenov Moscow State Medical University (Sechenov University)
- Astana Medical University
- Issue: Vol 20, No 3 (2023)
- Pages: 309-320
- Section: Original studies
- Submitted: 14.09.2023
- Accepted: 28.09.2023
- Published: 18.10.2023
- URL: https://rusalljournal.ru/raj/article/view/15046
- DOI: https://doi.org/10.36691/RJA15046
- ID: 15046
Cite item
Full Text
Abstract
BACKGROUND: Importance of optimizing strategy for treatment of chronic spontaneous urticaria is highly becoming relevance for the clinicians. Nowadays monoclonal antibodies are preferred option of treatment the refractory chronic spontaneous urticaria, main of that is omalizumab.
AIM: to establish comparative analysis of the efficacy and safety of Genolair (JSC Generium, Russia) and Xolair (Novartis Pharma AG, Switzerland) in the treatment of patients with chronic spontaneous urticaria.
MATERIALS AND METHODS: A 36-week, open parallel-group study was conducted. Were included 43 adult patients with chronic spontaneous urticaria who were resistant to ongoing therapy with standard and escalated doses of second-generation H1-antihistamines. All patients were divided into 2 groups: the main group (MG; n=18) ― patients who administrated Genolair; the comparison group (CG; n=25) ― patients who firstly administrated Xolair and then switching therapy to Genolair. Throughout the study period, patients completed questionnaires on the assessment of disease activity (UAS 7), urticaria control (UCT), quality of life index (DLQI). Additionally, the level of total IgE in blood serum was assessed. For statistical data processing, EXCEL 2010 and STATISTICA 7.0 software packages were used.
RESULTS: After 4 weeks from the start of monoclonal antibody therapy, patients in both groups were responders to omalizumab. At the same time, there were no significant differences when comparing scores on the UAS 7, UCT scale between patients of the MG and the CG during the entire observation period (p >0.05). The change in treatment paradigm in CG also did not have a statistically significant effect on the indicators of urticaria activity and disease control (p >0.05). At the same time, the quality of everyday life changed more positively in the MG, which was reflected in a more pronounced change in the DLQI index at the time of the control assessment since 20 weeks of therapy (p=0.032). An increase in the level of total IgE in the blood serum of all patients with chronic spontaneous urticaria after the initiation of a course of immunobiological therapy was demonstrated, while there were no statistically significant intergroup differences in relation to changes in this laboratory parameter (p >0.05).
CONCLUSION: During the treatment of patients with severe chronic spontaneous urticaria, resistant to ongoing therapy with standard and escalated doses of second-generation H1-antihistamines, comparable clinical efficacy and safety of the study drug Genolair and the reference drug Xolair were shown.
Full Text
ОБОСНОВАНИЕ
Хроническая спонтанная крапивница (ХСК) ― заболевание, характеризующееся спонтанным развитием зудящих волдырных высыпаний и/или ангиоотёков на протяжении не менее 6 недель [1]. Проблема ХСК приобретает всё большую актуальность для клиницистов разного профиля, что связано с широкой распространённостью заболевания, трудностями в проведении дифференциальной диагностики, а также сложностями достижения стойкого терапевтического эффекта.
Согласно имеющимся статистическим данным, длительность сохранения симптомов крапивницы варьирует в среднем от 2 до 5 лет, при этом около 20% пациентов страдают заболеванием более 5 лет [2]. Несмотря на разработанные стратегии, рекомендованные для лечения пациентов с ХСК, выбор оптимальной терапевтической схемы часто вызывает затруднения у клиницистов. Согласно данным литературы, у каждого пятого пациента, страдающего крапивницей, отмечается резистентность к терапии Н1-антигистаминными препаратами второго поколения в стандартных и эскалированных дозах [3, 4].
Сегодня в вопросах лечения ХСК на первый план выходят анти-IgE генно-инженерные препараты, из которых единственным одобренным в настоящее время на территории России является омализумаб. Он представляет собой гуманизированное моноклональное антитело к иммуноглобулину Е (IgE). Омализумаб селективно связывается с Сε3-доменом тяжёлой цепи IgE, что приводит к блокированию связывания свободного IgЕ с его рецепторами (FcεRI и FcεRII) на поверхности различных клеток [5]. Прямым эффектом этого блокирования является невозможность образования комплекса IgE-FcεRI на тучных клетках и базофилах, что позволяет избежать высвобождения медиаторов из этих клеток после контакта с аллергеном [6]. Кроме того, омализумаб приводит к сокращению числа базофилов и выживаемости тучных клеток [7]. По данным крупных рандомизированных контролируемых клинических исследований ASTERIA I, ASTERIA II и GLACIAL, препарат способствует регрессу симптомов ХСК, а также повышению качества жизни пациентов [2].
В современных условиях актуальными становятся разработка и внедрение биоаналогов, позволяющих минимизировать затраты на закупку препаратов [8]. В 2020 году на российский фармацевтический рынок вышел отечественный биоаналог омализумаба ― Генолар (АО «Генериум», Россия), разработанный в соответствии с международными требованиями и прошедший все этапы предрегистрационных исследований.
Цель исследования ― проведение сравнительного анализа эффективности и безопасности препаратов Генолар (АО «Генериум», Россия) и Ксолар (Новартис Фарма АГ, Швейцария) в лечении пациентов с ХСК.
МАТЕРИАЛЫ И МЕТОДЫ
Дизайн исследования
Проведено открытое сравнительное исследование в параллельных группах.
Исследование проводилось в несколько этапов: скрининг; период сравнительного лечения препаратами исследования в течение 12 недель (±3 дня); период продолжения лечения биоаналогом омализумаба пациентов обеих групп в течение дополнительных 16 недель с целью долгосрочного изучения эффективности препарата (рис. 1).
Рис. 1. Дизайн исследования. КТ ― контрольная точка (стрелками обозначено проведение инъекций омализумаба).
Fig. 1. Study design. КТ ― control point (arrows indicate omalizumab injections).
Критерии соответствия
Критерии включения: пациенты в возрасте от 18 до 60 лет с документально подтверждённым диагнозом ХСК; отсутствие клинического ответа на фоне проводимой терапии стандартными и эскалированными дозами Н1-антигистаминных препаратов; потребность в системных глюкокортикоидах для купирования обострений; согласие на участие в исследовании.
Критерии невключения: возраст младше 18 или старше 60 лет; пациенты с острой крапивницей; наличие острого инфекционного заболевания; тяжёлая соматическая или психическая патология в анамнезе; беременность; период лактации; повышенная чувствительность к омализумабу; отказ от участия в исследовании.
Критерии исключения: пациенты с возникшими нежелательными явлениями, препятствующими продолжению терапии; невозможность осуществления регулярных контрольных визитов; отказ пациента от продолжения участия в исследовании; необходимость проведения хирургического лечения; иные патологические состояния или обострения сопутствующей патологии.
Условия проведения
Исследование выполнено на базах федерального государственного бюджетного учреждения «Государственный научный центр “Институт иммунологии”» Федерального медико-биологического агентства России и Московского городского научно-практического центра аллергологии и иммунологии Департамента здравоохранения города Москвы при государственном бюджетном учреждении здравоохранения «Городская клиническая больница № 52».
Продолжительность исследования
Исследование проводилось в период с июля 2022 по март 2023 года и включало следующие этапы:
- I (cкрининговый период) ― c 1 июля по 31 июля 2022 года;
- II (период инициации терапии омализумабом) ― с 1 августа по 31 августа 2022 года;
- III (1-я контрольная точка) ― через 4 недели терапии;
- IV (2-я контрольная точка) ― смена схемы лечения в группе пациентов, получавших Ксолар, через 12 недель терапии;
- V (3-я контрольная точка) ― через 20 недель от старта терапии;
- VI (4-я контрольная точка) ― через 28 недель от старта терапии.
Описание медицинского вмешательства
Всем пациентам, включённым в исследование, перед назначением терапии омализумабом проводили подтверждение диагноза ХСК и оценку исходных параметров. Подтверждение диагноза ХСК проводили в соответствии с федеральными клиническими рекомендациями по данной нозологии [1]. Обследование пациентов включало в себя сбор жалоб и анамнеза, осмотр врачом аллергологом-иммунологом, анализ лабораторных данных и проведение анкетирования.
Решение о назначении анти-IgE-терапии омализумабом принимала врачебная комиссия, действующая на базе лечебных учреждений. Согласно разработанному дизайну исследования, лечение осуществляли препаратами Генолар (АО «Генериум») или Ксолар (Новартис Фарма АГ), которые применяли в дополнение к Н1-антигистаминным препаратам второго поколения. Омализумаб назначался пациентам согласно инструкции в дозировке 300 мг каждые 4 недели подкожно. Препарат вводился на базе стационара средним медицинским персоналом. После инъекции препарата пациенты наблюдались динамически в течение 2 часов первые четыре инъекции, далее ― по 30 минут.
Н1-антигистаминные препараты второго поколения применяли в стандартных и/или эскалированных дозировках перорально (до наступления ремиссии заболевания); при обострении (по потребности) проводили короткие курсы системных глюкокортикоидов.
Основной исход исследования
Эффективность биоаналога омализумаба у пациентов с ХСК оценивалась по показателям активности заболевания, уровням контроля заболевания и качества жизни до начала и на фоне проводимой терапии.
В анализ безопасности были включены такие параметры, как частота развития, степень тяжести, серьёзность, значимость нежелательных явлений, а также причинно-следственная связь возникновения нежелательных реакций с применением исследуемого препарата / препарата сравнения за период исследования по данным субъективных жалоб, физикального осмотра, оценки показателей жизненно важных функций.
Дополнительные исходы исследования
Дополнительно оценивали динамику уровня общего IgE в сыворотке крови как рекомендуемого маркера при фенотипировании ХСК [9, 10].
Анализ в подгруппах
В рамках исследования скринированы 52 пациента, из них 43 инициировано курсовое лечение в зависимости от используемого в рамках иммунобиологической терапии брендового препарата (рис. 2).
Рис. 2. Распределение пациентов для проведения исследования.
Fig. 2. Distribution of patients during the study.
Все пациенты, включённые в исследование, распределены в 2 группы:
- основная (ОГ; n=18) ― впервые инициированное курсовое лечение биоаналогом омализумаба;
- сравнения (ГС; n=25) ― лечение с заменой курса терапии препаратом Ксолар на Генолар.
Методы регистрации исходов
Во время плановых визитов лечащий врач собирал сведения об обострениях, получаемой терапии, побочных явлениях; проводились анализы (общеклинический, биохимический) крови, оценка уровня общего IgE. На протяжении всего периода исследования пациенты заполняли опросники по оценке активности заболевания (Urticaria Activity Score 7, UAS 7), контролю над крапивницей (Urticaria Control Test, UCT), индексу качества жизни (Dermatology Life Quality Index, DLQI).
Статистический анализ
Ввиду проведения исследования в реальной клинической практике размер выборки предварительно не рассчитывался.
Для статистической обработки данных использованы пакеты программ EXCEL 2010 и STATISTICA 7.0. Демографические характеристики пациентов приведены с использованием методов описательной статистики. Нормальность распределения количественных признаков проверяли с использованием критерия Колмогорова–Смирнова. Сравнение групп пациентов проводили с помощью критерия Стьюдента (t-критерия) для нормально распределённых показателей и точного метода Фишера, критерия Манна–Уитни и критерия Краскела–Уоллиса при распределении данных, отличающихся от нормального. Результаты отображены с использованием среднего значения ± стандартное отклонение (M±m при нормальном распределении данных). Различия считались достоверными при p <0,05.
РЕЗУЛЬТАТЫ
Объекты (участники) исследования
Клинико-анамнестическая характеристика пациентов представлена в табл. 1.
Таблица 1. Клинико-анамнестическая характеристика обследуемых пациентов с хронической спонтанной крапивницей
Table 1. Clinical and anamnestic characteristics of examined patients with chronic spontaneous urticaria
Параметр | Основная группа n=18 | Группа сравнения n=25 | р |
Возраст, лет | 40,07±16,11 | 37,71±11,47 | 0,627 |
Женский пол, % | 63,3 | 73,3 | 0,502 |
Масса тела, кг | 75,5±17,42 | 81,9±16,49 | 0,348 |
Рост, см | 168,6±10,4 | 166,1±9,5 | 0,119 |
Индекс массы тела, кг/м2 | 27,9±5,57 | 29,9±7,21 | 0,036 |
Частота встречаемости различных форм ХИНДК, %: • дермографическая • холинергическая • холодовая |
17 6 6 |
12 8 4 |
0,440 0,313 0,473 |
Сопутствующая хроническая патология, %: • заболевания сердечно-сосудистой системы • заболевания желудочно-кишечного тракта • заболевания ЛОР-органов • патология кожи • узловой зоб • аутоиммунный тиреоидит • сахарный диабет |
56 44 44 11 6 6 - |
44 24 28 16 4 16 4 |
0,719 0,401 0,372 0,300 0,473 0,372 - |
Длительность заболевания ХСК, мес | 30 | 26 | 0,311 |
Использование ГКС до лечения, % | 41 | 46 | 0,630 |
Исходный уровень IgE, нг/мл | 201,0±198,11 | 292,4±262,33 | 0,015 |
Базовый UAS 7, балл | 30,4±5,57 | 32,8±7,23 | 0,719 |
Сопутствующая терапия ХСК перед назначением омализумаба, %: • эбастин по 20 мг (х4) • цетиризин по 10 мг (х3) • левоцетиризин по 5 мг (х4) | 82 40 39 21 | 96 23 14 63 | 0,558 0,524 0,222 0,046 |
Примечание. ХИНДК ― хроническая индуцированная крапивница; ХСК ― хроническая спонтанная крапивница; ГКС ― глюкокортикостероид.
Note: ХИНДК ― chronic induced urticaria; ХСК ― chronic spontaneous urticaria; ГКС ― glucocorticosteroid.
Средний возраст пациентов ОГ составил 40,07± 16,11 лет, ГС ― 37,71±11,47 лет. Женщин в ОГ было 63,3%, в ГС ― 73,3%.
По результатам проведённого статистического анализа показано, что все лица, включённые в исследование, были сопоставимы по антропометрическим показателям. Выявленные статистически значимые различия между группами лечения по индексу массы тела не являются клинически значимыми и могут быть результатом множественности сравнения.
В структуре сопутствующей патологии в обеих группах преобладали заболевания желудочно-кишечного тракта.
Исходя из данных анамнеза, на момент включения в исследование у пациентов обеих групп длительность ХСК составляла более 2 лет. При межгрупповом сравнении статистически значимых отличий по частоте применения глюкокортикоидов до включения в исследование и исходным результатам UAS 7 не выявлено. В обеих группах перед лечением у большей части пациентов индекс активности крапивницы по данным UAS 7 составил >30 баллов.
Между тем стоит отметить, что группы лечения различались по уровню общего IgE в сыворотке крови. Так, в ОГ средний уровень IgE составил 201,0±198,11, в ГС ― 292,4±262,33.
Анализ терапии, используемой до начала терапии омализумабом, показал, что пациентам ОГ достоверно чаще в качестве стандартного лечения назначался эбастин, в то время как лицам ГС ― левоцетиризин. На момент включения в исследование все пациенты получали эскалированную дозу Н1-антигистаминных препаратов, которая не приводила к улучшению течения крапивницы.
Таким образом, проведённая оценка клинико-анамнестических характеристик обследуемых пациентов не выявила значительных различий между группами лечения по анализируемым параметрам, за исключением исходного уровня общего IgE и препаратов, используемых в качестве стандартной терапии.
Основные результаты исследования
Особенности клинического эффекта омализумаба у пациентов с ХСК в обследуемых группах оценивали по скорости наступления ответа, при этом ранний ответ на омализумаб определялся как исчезновение или снижение количества баллов по шкале UAS 7 более чем на 50% в течение 4 недель после первого введения препарата. Поздним клиническим ответом считался тот, который регистрировался в промежутке между 1-м и 3-м месяцем после первого введения препарата.
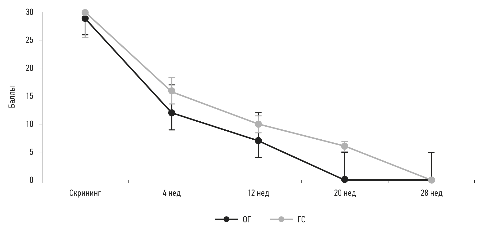
Проведённый анализ активности заболевания по данным UAS 7 продемонстрировал достоверное снижение итогового показателя к 4-й неделе наблюдения в 1,9 раза в группе ОГ и в 2,3 раза в группе ГС (p <0,05); рис. 3.
Рис. 3. Динамика изменений итогового показателя активности крапивницы по шкале UAS 7 в группах лечения.
Fig. 3. Dynamics of changes in the final indicator of urticaria activity according to the UAS 7 scale in treatment groups.
Таким образом, в ходе исследования среди пациентов обеих групп были выделены так называемые ранние (13 в ОГ и 22 в ГС) и поздние (5 в ОГ и 3 в ГС) ответчики.
Смена схемы лечения через 3 месяца от начала иммунобиологической терапии не оказала влияния на динамику активности заболевания. Обращает на себя внимание тенденция в отношении снижения активности крапивницы в ОГ, при этом не достигающая статистически значимых различий (р=0,067). Полный регресс клинической симптоматики заболевания в обеих группах наблюдался к концу 7-го месяца терапии.
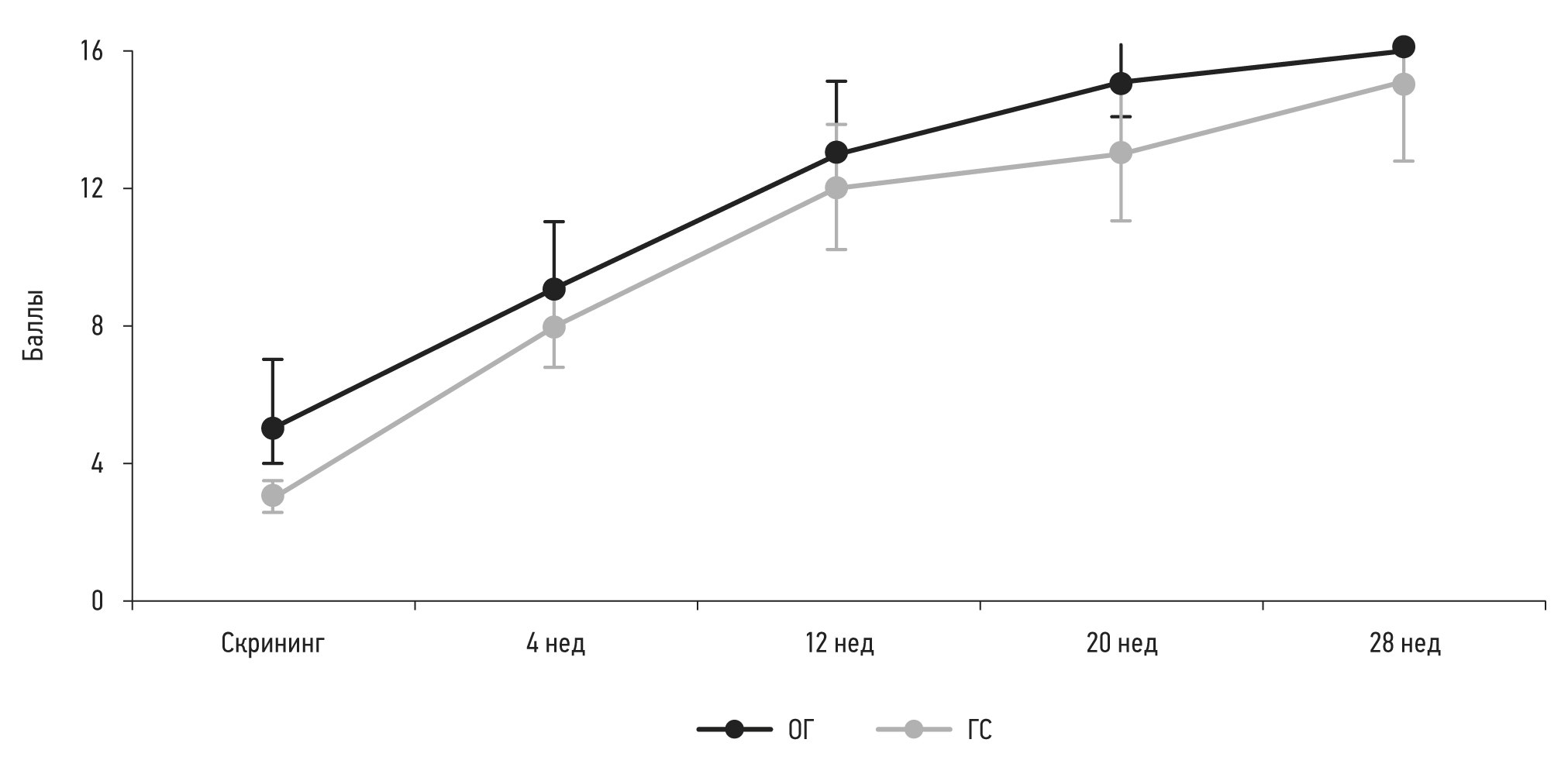
По данным опросника UCT, тенденция к установлению контроля заболевания наметилась у пациентов обследуемых групп уже через 4 недели от начала терапии омализумабом (рис. 4). По данным опросников, в динамике наиболее выраженный ответ на лечение наблюдался на 7-й день после введения препарата. Полный контроль заболеванием у пациентов ОГ был достигнут к 7-му месяцу лечения, в то время как у лиц из ГС ― лишь на 8-й. При этом достоверных различий при сравнении баллов по шкале UCT между пациентами ОГ и ГС на протяжении всего периода наблюдения не отмечено (p >0,05). Смена парадигмы лечения в ГС также не оказала статистически значимого влияния на показатели контроля над заболеванием.
Рис. 4. Динамика изменений итогового показателя контроля над крапивницей по шкале UСТ в группах лечения.
Fig. 4. Dynamics of changes in the final indicator of urticaria control according to the UST scale in treatment groups.
Сравнительный анализ оценки качества жизни пациентов с ХСК по данным опросника DLQI представлен на рис. 5. Полученные данные свидетельствуют об улучшении физического и психоэмоционального состояния пациентов после инициации иммунобиологической терапии омализумабом, при этом качество повседневной жизни изменялось более позитивно в ОГ, что отражалось в более выраженном изменении индекса DLQI на момент контрольной оценки в январе 2023 года (р=0,032). В отношении других контрольных точек значимых изменений в динамике итогового балла шкалы DLQI в обеих группах на фоне терапии омализумабом не выявлено.
Рис. 5. Динамика изменений итогового показателя качества жизни по шкале DLQI в группах лечения.
Fig. 5. Dynamics of changes in the final indicator of urticaria control according to the UST scale in treatment groups.
Дополнительные результаты исследования
Результаты лабораторного исследования продемонстрировали увеличение уровня общего IgE в сыворотке крови всех пациентов с ХСК после инициации курса иммунобиологической терапии. При последующих инъекциях омализумаба каждые 4 недели тенденция к увеличению общего IgE сохранялась, при этом статистически значимых межгрупповых отличий в отношении изменения данного лабораторного показателя не зафиксировано (рис. 6).
Рис. 6. Динамика изменений общего сывороточного IgE в группах лечения.
Fig. 6. Dynamics of changes in total serum IgE in treatment groups.
Нежелательные явления
В течение 36-недельного периода наблюдения нежелательные явления, связанные с терапией ХСК, включая введение препаратов омализумаба, не зарегистрированы.
ОБСУЖДЕНИЕ
Резюме основного результата исследования
Биологический препарат омализумаб, используемый в мировой клинической практике с 2003 года для лечения IgE-опосредованных патологий, уже неоднократно демонстрировал свою эффективность в лечении пациентов с тяжёлым течением заболеваний, резистентных к проводимой стандартной терапии [11–15]. Многолетний положительный опыт применения омализумаба позволяет отнести данный препарат к перечню жизненно важных и необходимых лекарственных средств [16].
Значительный интерес к омализумабу обусловлен также финансовой выгодой с точки зрения фармакоэкономики. Проведённые экспертизы неоднократно подтверждали, что применение омализумаба в реальной врачебной практике является экономически оправданным, так как за счёт уменьшения расходов на госпитализацию пациентов сберегаются материальные ресурсы [17, 18]. Выход на отечественный рынок биоаналога омализумаба в 2020 году позволил оптимизировать затраты системы здравоохранения и обеспечил доступ российских пациентов к биологическому препарату нового поколения. Так, по результатам проведённого В.С. Крысановой и соавт. [19] фармакоэкономического анализа установлено, что применение Генолара у пациентов с атопической бронхиальной астмой имеет экономическое преимущество. Разница в пользу отечественного биоаналога по сравнению с другими генно-инженерными препаратами составила 407 440,84 рублей, или 40% в течение 1 года на 1 пациента.
В аспекте клинической эффективности проведённый нами обзор литературы выявил лишь единичные прямые сравнительные клинические исследования препаратов омализумаба [20]. Стоит отметить, что ранее проведённые работы, оценивающие профиль эффективности, долгосрочной безопасности и переносимости, относились лишь к когорте пациентов с бронхиальной астмой. Так, в рамках III фазы многоцентрового рандомизированного двойного слепого исследования длительностью 26 недель была доказана клиническая сопоставимость препаратов Генолар (АО «Генериум», Россия) и Ксолар (Новартис Фарма АГ, Швейцария) в лечении персистирующей атопической бронхиальной астмы среднетяжёлого и тяжёлого течения, симптомы которой недостаточно контролировались 4-й ступенью терапии [20].
Обсуждение основного результата исследования
Данная работа посвящена сравнительному анализу эффективности и безопасности препаратов Генолар (АО «Генериум», Россия) и Ксолар (Новартис Фарма АГ, Швейцария) в рамках лечения пациентов с ХСК. Важнейшим результатом исследования является демонстрация эффективности отечественного биоаналога с благоприятным профилем безопасности у пациентов с ХСК. Биоаналог омализумаба (АО «Генериум», Россия), вводимый в схему лечения на любом этапе терапии, показал положительное влияние на течение крапивницы, что подтверждалось данными комплексного клинико-лабораторного обследования.
Продемонстрирована сопоставимость исследуемых препаратов по показателям активности крапивницы, контроля над заболеванием и качеству жизни согласно данным международных стандартизированных опросников UAS 7, UСЕ и DLQI. Стоит подчеркнуть, что у пациентов ОГ, которые на протяжении всего периода наблюдения получали биоаналог омализумаба, наметилась тенденция к более быстрому регрессу клинической симптоматики и установлению контроля над заболеванием, однако выявленные различия не достигали статистической значимости.
Выявленные различия в скорости развития клинического эффекта среди пациентов групп сравнения могут объясняться разными патофизиологическими механизмами развития ХСК. На сегодняшний день в научной литературе активно обсуждаются предположения, что быстрый и отсроченный ответ на омализумаб может быть связан с аутоиммунными реакциями 1-го типа и 2-го типа соответственно. Так, J. Gericke и соавт. [21] в своей работе продемонстрировали, что сывороточная аутореактивность, определяемая как положительный результат теста с аутологичной сывороткой и теста высвобождения гистамина из базофилов, может предсказывать более медленный ответ на омализумаб у больных 2-м типом аутоиммунных реакций, при этом для уточнения причины и точных механизмов обнаруженной зависимости нужны дополнительные исследования.
Известно, что лечение омализумабом приводит к дозозависимому уменьшению содержания свободного IgE и увеличению уровня общего IgE в сыворотке крови, что объясняется собственно фармакодинамическими свойствами препарата. Неоднократно подтверждённое повышение концентрации общего сывороточного IgE по данным клинических исследований было сопоставимо и с результатами нашей работы [22–24]. Через 4 недели с момента инициации иммунобиологической терапии у пациентов обеих групп наметилась тенденция к увеличению общего IgE, при этом статистически значимых межгрупповых отличий в отношении изменения данного лабораторного показателя не зафиксировано.
В ходе исследования не получено убедительных указаний на наличие нежелательных реакций в обеих группах. Таким образом, исследуемый биоаналог омализумаба и препарат сравнения Ксолар были сопоставимы по изучаемым параметрам безопасности.
Не теряет своей актуальности и вопрос прекращения терапии в связи с достижением ремиссии заболевания. Утверждённых протоколов отмены омализумаба нет. Отечественными и зарубежными клиницистами активно выдвигаются положения о рассмотрении подходов одновременной полной отмены препарата, увеличения интервала введения омализумаба, снижения дозы омализумаба и увеличения интервала введения препарата [25]. Обращает на себя внимание и проблема отсутствия чёткого определения ремиссии ХСК. Активно ведутся дискуссии о том, могут ли быть отнесены к группе пациентов с полной ремиссией лица, у которых нет симптомов ХСК (0 баллов по UAS 7), при условии отсутствия приёма каких-либо лекарств более 6 месяцев [26]. Таким образом, на сегодняшний день длительность терапии омализумабом не определена и диктуется клинической ситуацией в каждом конкретном случае.
Ограничения исследования
Интерпретация полученных результатов ограничена немногочисленной выборкой и отсутствием независимой контрольной группы. Малый размер выборки снижает возможности статистического анализа при поиске различий в аспекте скорости наступления терапевтического эффекта у пациентов, получавших биоаналог омализумаба на протяжении всего периода лечения, и пациентов, сменивших схему терапии. Остаётся неясным, имеют ли место выявленные межгрупповые различия в отношении более быстрого регресса клинической симптоматики и установления контроля над заболеванием, что открывает перспективы для дальнейших исследований.
ЗАКЛЮЧЕНИЕ
Таким образом, в ходе лечения пациентов с тяжёлой ХСК, резистентной к проводимой терапии стандартными и эскалированными дозами Н1-антигистаминных препаратов, показана сопоставимая клиническая эффективность и безопасность исследуемого препарата Генолар (АО «Генериум», Россия) и препарата сравнения Ксолар (Новартис Фарма АГ, Швейцария).
Доказана возможность рассмотрения биоаналога омализумаба в качестве препарата выбора третьей ступени лечения тяжёлой формы ХСК. Для определения сроков длительности и индивидуальных схем лечения биоаналогом омализумаба с учётом реальной клинической практики необходимо проведение дальнейших исследований.
ДОПОЛНИТЕЛЬНО
Источник финансирования. Авторы заявляют об отсутствии внешнего финансирования при проведении исследования и подготовке рукописи.
Конфликт интересов. Авторы декларируют отсутствие явных и потенциальных конфликтов интересов, связанных с публикацией настоящей статьи.
Вклад авторов. Все авторы подтверждают соответствие своего авторства международным критериям ICMJE (все авторы внесли существенный вклад в разработку концепции, проведение исследования и подготовку статьи, прочли и одобрили финальную версию перед публикацией). Наибольший вклад распределён следующим образом: А.Е. Шульженко ― значительный вклад в разработку дизайна статьи, редактирование статьи; Л.Е. Сорокина ― курация пациентов, обзор литературы, сбор и анализ литературных источников, написание текста статьи; Д.С. Фомина ― написание текста и редактирование статьи; Е.В. Ковалькова ― курация пациентов; Е.В. Кузнецова ― курация пациентов, сбор и анализ литературных источников.
ADDITIONAL INFORMATION
Funding source. This study was not supported by any external sources of funding.
Competing interests. The authors declare that they have no competing interests.
Authors’ contribution. All authors made a substantial contribution to the conception of the work, acquisition, analysis, interpretation of data for the work, drafting and revising the work, final approval of the version to be published and agree to be accountable for all aspects of the work. A.E. Shulzhenko ― a significant contribution to the development of the design of the article, editing the article; L.E. Sorokina ― curation of patients, literature review, collection and analysis of literary sources, writing the text of the article; D.S. Fomina ― writing text and editing articles; E.V. Kovalkova ― patient care; E.V. Kuznetsova ― curation of patients, collection and analysis of literary sources.
About the authors
Andrey E. Shulzhenko
National Research Center ― Institute of Immunology Federal Medical-Biological Agency of Russia
Email: shulzhenko_ae@mail.ru
ORCID iD: 0000-0003-0268-9350
SPIN-code: 4584-4915
MD, Dr. Sci. (Med.), Professor
Россия, MoscowLeya E. Sorokina
National Research Center ― Institute of Immunology Federal Medical-Biological Agency of Russia
Author for correspondence.
Email: leya.sorokina@mail.ru
ORCID iD: 0000-0002-1862-6816
SPIN-code: 5934-0679
Россия, Moscow
Elena V. Kovalkova
Center of Allergy and Immunology Clinical Moscow City Hospital 52
Email: ev-kovalkova@ya.ru
ORCID iD: 0000-0002-1212-3767
SPIN-code: 3078-0976
Россия, Moscow
Elizaveta V. Kuznetsova
The First Sechenov Moscow State Medical University (Sechenov University)
Email: wuiw105@mail.ru
ORCID iD: 0000-0001-7098-0049
Россия, Moscow
Daria S. Fomina
Center of Allergy and Immunology Clinical Moscow City Hospital 52; The First Sechenov Moscow State Medical University (Sechenov University); Astana Medical University
Email: daria_fomina@mail.ru
ORCID iD: 0000-0002-5083-6637
SPIN-code: 3023-4538
MD, Cand. Sci. (Med.), Associate Professor
Россия, Moscow; Moscow; AstanaReferences
- Urticaria. Clinical recommendations. Russian Society of Allergologists and Clinical Immunologists, Russian Society of Dermatovenerologists and Cosmetologists, Union of Pediatricians of Russia; 2020. (In Russ).
- Pereverzina NO, Kruglova LS, Musaev IE. Present and future in the therapy of chronic spontaneous urticaria. Clin Dermatol Venereol. 2020;19(5):604–612. (In Russ). doi: 10.17116/klinderma202019051604
- Kocatürk E, Maurer M, Metz M, Grattan C. Looking forward to new targeted treatments for chronic spontaneous urticaria. Clin Transl Allergy. 2017;(7):1. doi: 10.1186/s13601-016-0139-2
- Guillen-Aguinaga S, Presa I, Aguinaga-Ontoso E, et al. Updosing nonsedating antihistamines in patients with chronic spontaneous urticaria: A systematic review and meta-analysis. Br J Dermatol. 2016;175(6):1153–1165. doi: 10.1111/bjd.14768
- Soresi S, Togias A. Mechanisms of anti-immunoglobulin E thеrapy. Allergy Asthma Proc. 2006;27(2 Suppl 1):15–23.
- Hu J, Chen J, Ye L, et al. Anti-IgE therapy for IgE-mediated allergic diseases: From neutralizing IgE antibodies to eliminating IgE+ B cells. Clin Transl Allergy. 2018;(8):27. doi: 10.1186/s13601-018-0213-z
- Hill DA, Siracusa MC, Ruymann KR, et al. Omalizumab therapy is associated with reduced circulating basophil populations in asthmatic children. Allergy. 2014;69(5):674–677. doi: 10.1111/all.12375
- Ivanov R, Sekareva G, Kravtsova O, et al. Rules for conducting research on biosimilar medications (biosimilars). Pharmacokinetics Pharmacodynamics. 2014;(1):21–36. (In Russ).
- Nosbaum A, Augey F, Nicolas JF, Bérard F. Pathophysiology of urticaria. Ann Dermatol Venereol. 2014;141(Suppl 3):559–564. doi: 10.1016/S0151-9638(14)70158-9
- Kolkhir PV, Olisova OY, Kochergin NG. Endotypic classification of chronic spontaneous urticaria: The way to personalized therapy. Attending Physician. 2015;(5):45. (In Russ).
- Saini SS, Bindslev-Jensen C, Maurer M, et al. Efficacy and safety of omalizumab in patients with chronic idiopathic/spontaneous urticaria who remain symptomatic on H1 antihistamines: A randomized, placebo-controlled study. J Invest Dermatol. 2015;135(1):67–75. doi: 10.1038/jid.2014.306
- Labrador-Horrillo M, Valero A, Velasco M, et al. Efficacy of omalizumab in chronic spontaneous urticaria refractory to conventional therapy: Analysis of 110 patients in reallife practice. Expert Opin Biol Ther. 2013;13(9):1225–1228. doi: 10.1517/14712598.2013.822484
- Metz M, Ohanyan T, Church MK, Maurer M. Omalizumab is an effective and rapidly acting therapy in difficult-to-treat chronic urticaria: A retrospective clinical analysis. J Dermatol Sci. 2014;73(1):57–62. doi: 10.1016/j.jdermsci.2013.08.011
- Rottem M, Segal R, Kivity S, et al. Omalizumab therapy for chronic spontaneous urticaria: The Israeli experience. Isr Med Assoc J. 2014;16(8):487–490.
- Sussman G, Hebert J, Barron C, et al. Real-life experiences with omalizumab for the treatment of chronic urticaria. Ann Allergy Asthma Immunol. 2014;112(2):170–174. doi: 10.1016/j.anai.2013.12.005
- Demko IV, Sobko EA, Kraposhina AY, Shestakova NA. Aspects of the application of the Russian biosimilar omalizumab in clinical practice. Practical Pulmonol. 2022;(1):17–22. (In Russ). doi: 10.24412/2409-6636-2022-12829
- Kolbin AS, Klimko NN, Andreev BV. Clinical and pharmacological justification of the use of Xolar (omalizumab) in the bronzial system. Qualitative Clin Pract. 2008;(2):53–61. (In Russ).
- Dorzhieva VV. State policy of import substitution as a factor in the development of the pharmaceutical industry in Russia: The impact of sanctions and steps to success. Bulletin Institute Economics Russ Academy Sci. 2022;(6):68–78. (In Russ). doi: 10.52180/2073-6487-2022-6-68-78
- Krysanova VS, Ermolaeva D, Ermolaeva TN, et al. Economic aspects of the use of the Russian biosimilar omalizumab in patients with atopic bronchial asthma of moderate and severe course. Pharmacy Pharmacol. 2021;9(3):235–248. (In Russ). doi: 10.19163/2307-9266-2021-9-3-235-248
- Nenasheva NM, Averyanov AV, Ilyina NI, et al. Comparative study of the clinical efficacy of a bio-analogous drug Genolar based on the results of a randomized phase III clinical trial. Pulmonology. 2020;30(6):782–796. (In Russ).
- Gericke J, Metz M, Ohanyan T, et al. Serum autoreactivity predicts time to response to omalizumab therapy in chronic spontaneous urticaria. J Allergy Clin Immunol. 2017;139(3):1059–1061, e1051. doi: 10.1016/j.jaci.2016.07.047
- Ertas R, Ozyurt K, Atasoy M, et al. The clinical response to omalizumab in chronic spontaneous urticaria patients is linked to and predicted by IgE levels and their change. Allergy. 2018;73(3):705–712. doi: 10.1111/all.13345
- Weller K, Ohanyan T, Hawro T, et al. Total IgE levels are linked to the response of chronic spontaneous urticaria patients to omalizumab. Allergy. 2018;73(12):2406–2408. doi: 10.1111/all.13586
- Cugno M, Genovese G, Ferrucci S, et al. IgE and D-dimer baseline levels are higher in responders than nonresponders to omalizumab in chronic spontaneous urticaria. Br J Dermatol. 2018;179(3): 776–777. doi: 10.1111/bjd.16593
- Türk M, Carneiro-Leão L, Kolkhir P, et al. how to treat patients with chronic spontaneous urticaria with omalizumab: questions and answers. J Allergy Clin Immunol Pract. 2020;8(1):113–124. doi: 10.1016/j.jaip.2019.07.021
- Kulthanan K, Tuchinda P, Likitwattananurak C, et al. Does omalizumab modify a course of recalcitrant chronic spontaneous urticaria? A retrospective study in Asian patients. J Dermatol. 2018;45(1):17–23. doi: 10.1111/1346-8138.14081
Supplementary files









