Anti-inflammatory activity of the antiallergic drug 7-[4-(4-benzhydrylpiperazinyl-1)butyl]-3-methylxanthine succinate (theoritin)
- Authors: Gushchin I.S.1, Kryshen K.L.2, Bondarenko A.B.2
-
Affiliations:
- National Research Center — Institute of Immunology Federal Medical-Biological Agency of Russia
- Scientific and Production Association “Home of Pharmacy”
- Issue: Vol 18, No 2 (2021)
- Pages: 20-31
- Section: Original studies
- Submitted: 12.04.2021
- Accepted: 12.05.2021
- Published: 26.06.2021
- URL: https://rusalljournal.ru/raj/article/view/1445
- DOI: https://doi.org/10.36691/RJA1445
- ID: 1445
Cite item
Abstract
BACKGROUND: Many antagonists of histamine (H1) receptor, in addition to antihistamine action, suppress allergic inflammation by inhibiting the formation and secretion of proinflammatory cytokines. The new antiallergic drug benzhydrylpiperazinyl butylmethylxanthine succinate (theoritin), which has an antihistamine activity comparable to the known second generation H1-antihistamines, surpasses them in the ability to suppress the allergic inflammatory reaction, which allows this drug to have additional anti-inflammatory properties associated with the inhibition of the formation of proinflammatory cytokines.
AIM: This study aimed to determine the effect of theoritin on the induced release of proinflammatory cytokines interleukin (IL)-6, IL-8, and tumor necrosis factor (TNF)-α in cell culture in comparison with the action of the inverse agonist of H1 receptor cetirizine and a known inflammation inhibitor glucocorticosteroid dexamethasone.
MATERIALS AND METHODS: U937 cells differentiated toward macrophage-like cells were used. Cytotoxicity of the substances used was assessed in the methyltetrazolium test at different incubation times (up to 24 h). Cells were stimulated with lipopolysaccharide (LPS). The tested compounds (theoritin and cetirizine) were evaluated at concentrations from 0.001 to 100 μM and dexamethasone at 10 μM was tested when added to cells 1 h before (prophylactic effect) or 1 h after (therapeutic effect) the addition of LPS. The presence of IL-6, IL-8, and TNFα in the supernatants was determined by enzyme immunoassay.
RESULTS: For cetirizine and theoritin, no cytotoxic action was found in the tested concentrations and time points. Dexamethasone inhibited the formation of IL-6 and TNFα to the initial level and IL-8 to 50%–60%. Theoritin led to a significant concentration-dependent decrease in the LPS-induced production of IL-6, IL-8, and TNFα, and at a concentration of 100 μM, the effect of theoritin was comparable with that of dexamethasone at a concentration of 10 μM. The “prophylactic” test scheme for theoritin was more effective in suppressing LPS-induced production of proinflammatory cytokines than the “curative” one. The described effect of theoritin on LPS-induced production of proinflammatory cytokines exceeded that of the reference drug cetirizine.
CONCLUSION: In addition to its antihistaminic action, theoritin, a new antiallergic agent, inhibits LPS-induced production of proinflammatory cytokines, which may be of clinical importance in suppressing allergic inflammation.
Full Text
ABSTRACT
Background
The development of polyfunctional antiallergic pharmacological agents became reasonable since the allergen-induced reaction of target cells (primarily mast cells and basophils) does not result from their damage. However, it is a process of cellular activation, which leads to the secretion of allergy mediators [1, 2]. Therefore, a promising method of pharmacological control of the allergic reaction is to combine an antagonistic effect on allergy mediators with inhibition of the target cell function to suppress the secretion of mediators. While implementing this approach, compounds that are modifications of the xanthine core performed by pharmacophore groups of compounds with the properties of inverse agonists (antihistamine action) were obtained [3], using the original quinuclidine derivatives engineered by M.D. Mashkovsky’s group [4]. Such modified structures had a multifunctional antiallergic effect. Their antihistamine effect at the receptor level was combined with inhibition of allergen-induced secretion of this mediator from rat mast cells and human basophils [3]. The pharmacological study of H1-antihistamines showed that most of these compounds exhibit an additional anti-inflammatory effect by suppressing the formation and secretion of pro-inflammatory cytokines. Thus, they have polyfunctional antiallergic activity, and the determination of such properties in new antihistamines has become a widely used approach [5, 6].
Subsequently, extended studies were conducted by R.G. Glushkov et al. [7, 8] to select optimal conditions for the synthesis of the xanthine core modifications by compounds with H1-antihistamine activity that meets the requirements of clinical medicine. Thus, the modification of the xanthine core by a benzhydrylpiperazinyl fragment, which is the central structural part of the structure of modern highly effective reverse agonists of H1 receptors (in particular, Cetirizine), a long-acting and low-toxic compound 7-[4-(4-benzhydryl-piperazine-1)butyl]-3-methylxanthine succinate (theoritin) was obtained, which had an antihistamine effect comparable to that of the reference drug (Cetirizine). However, this compound exceeded Cetirizine’s ability to suppress the skin allergic reaction [7, 8]. The latter could indicate an increase in the antiallergic effect of theoritin due to the xanthine core with an additional anti-inflammatory effect, which justified the determination of the ability of theoritin to influence the formation and release of pro-inflammatory cytokines involved in the organization of the allergic inflammatory response.
AIM: The present study aims to determine the effect of theoritin on the induced release of the pro-inflammatory cytokines, that is, interleukins (IL), in particular, IL-6 and IL-8, and tumor necrosis factor-alpha (TNF alpha) in cell culture in comparison with the inverse agonist effect of H1 receptors (Cetirizine) and a standard inflammation inhibitor (dexamethasone).
Materials and methods
The substances of the following drugs were used in the study: theoritin (Theoritin® MF, [benzhydrylpiperazinyl butylmethylxanthine succinate], Obninsk Chemical and Pharmaceutical Company, Russia) [7], cetirizine dihydrochloride (BLD Pharamatech Ltd., USA), and dexamethasone (Elfa Laboratories, India).
Cells. The study used the suspension culture of human histiocytic lymphoma cells (U937 cells) [9]. The cells were obtained from the Russian Collection of Vertebrate Cell Cultures of the Institute of Cytology of the Russian Academy of Sciences (St. Petersburg). The cells were cultured in RPMI-1640 nutrient medium (Biolot LLC, Russia), which contained 10% fetal bovine serum (HyClone, USA), 100 IU/ml penicillin, and 100 µg/ml streptomycin, at a temperature of 37°C in an atmosphere of 5% CO2. The cells were subcultured every 3–4 days with the density exceeding 2 million cells/ml by diluting the cell suspension with a fresh nutrient medium at a ratio of 1:10.
Cell differentiation. Differentiation of U937 cells into macrophages was performed in 75 cm2 adherent cell culture flasks (Nunc, USA) using phorbol-12-myristate-13-acetate (PMA) (Sigma–Aldrich, USA) at a concentration of 35 ng/ml. Within the first 24 h, cells were incubated in a nutrient medium with the addition of PMA for the transition of cells from the suspension to the adhesive form. After that, the cells not adhered to the plastic were washed out and cultured in a nutrient medium with the addition of PMA for another 24 h before placing the cells from the culture flasks into the plate wells for further experiments.
Study of the cytotoxic effect of theoritin and Cetirizine on U937 cells. The cytotoxicity of the substances was assessed using the methyl tetrazolium test (MTT test) 3, 6, 12, and 24 h after adding the substances to differentiated U937 cells. The MTT test allows to quantify the ability of mitochondrial oxidoreductases of living cells dependent on nicotinamide adenine dinucleotide phosphate (NADPH) to convert pale yellow 3-(4,5-dimethyl thiazolyl-2)-2,5-diphenyltetrazolium bromide (MTT) (Sigma–Aldrich, USA) into purple formazan crystals [10]. Next, 10 fold dilutions of the substances (theoritin and Cetirizine) were added to 96-well plates (Nunc, USA) with 105 cells each to create final concentrations in the range from 100 to 0.00001 μM (each substance concentration was tested in 6 replicates). The plates were incubated for 1, 4, 10, and 22 h at a temperature of 37°C in an atmosphere of 5% CO2. Subsequently, 20 μl MTT solution (5 mg/ml in a nutrient medium) was added to the wells and incubated for an extra 2 h. After that, the supernatant was discarded from the wells, and the formed formazan crystals were dissolved in 100 μl dimethyl sulfoxide (Biolot LLC, Russia). The optical density of the obtained solution was measured at an absorption wavelength of 550 nm and normalized against the measured background absorption at 620 nm on an xMark tablet spectrophotometer (BioRad, USA). Cell viability in the presence of the test substances was expressed as a percentage using the following formula:
(OD of experimental wells − OD of medium) / / (OD of control wells − OD of medium) × 100%,
where OD is the optical density.
Assessment of the effects of theoritin and Cetirizine on cytokine production induced by lipopolysaccharide (LPS) by differentiated U937 cells. The anti-inflammatory effect of the studied substances was assessed by changes in the number of pro-inflammatory cytokines produced using both prophylactic and therapeutic drug administration schemes. In the wells of 24-well plates which contained 106 differentiated U-937 cells in 800 μl of a nutrient medium, 100 μl of ten-fold dilutions of the test substances were added to create final concentrations in the range from 100 to 0.001 μM under two schemes: 1 hour before the addition of Escherichia coli O111:B4 LPS (Sigma–Aldrich, USA) (“prophylactic effect”) and 1 h after the addition of LPS (“therapeutic effect”). LPS in a volume of 100 μl was added to the well to create a final concentration of 100 μg/ml. Differentiated cells to which no LPS or test substances were added served as a negative control. The control for the induction of pro-inflammatory cytokines was cells to which LPS was added, whereas dexamethasone (Elfa Laboratories, India) at a final concentration of 10 μM was used as an anti-inflammatory control. Each drug substance scheme was reproduced in 4 replicates. After 6 h incubation of the cells and the addition of LPS, the culture fluid was taken and stored at −80°C for the subsequent quantitative determination of the production of pro-inflammatory cytokines IL-6, IL-8, and TNF alpha by the method of enzyme-linked immunosorbent assay using reagent kits (Vector-Best JSC, Novosibirsk).
Statistical analysis. Descriptive statistics were applied to all data; that is, the data were checked for compliance with the normal distribution law using the Shapiro–Wilk test. First, the mean and standard deviation were calculated. Student’s t-test and one-way analysis of variance (ANOVA) with Dunnett’s test (post hoc analysis) for intergroup comparison were used to assess the data with normal distribution. Kruskal–Wallis test followed by multiple comparisons of mean ranks (Dunn’s test) was applied for cytotoxicity data of tested objects expressed as percentages. The EC50 (biological efficiency at the 50% level) was calculated using a four-parametric approximation of the percentage graph depending on the concentration of theoritin. Statistical analysis was performed using GraphPad Prism 8.0 software (GraphPad, USA). Differences were considered statistically significant at a level of p < 0.05.
Results
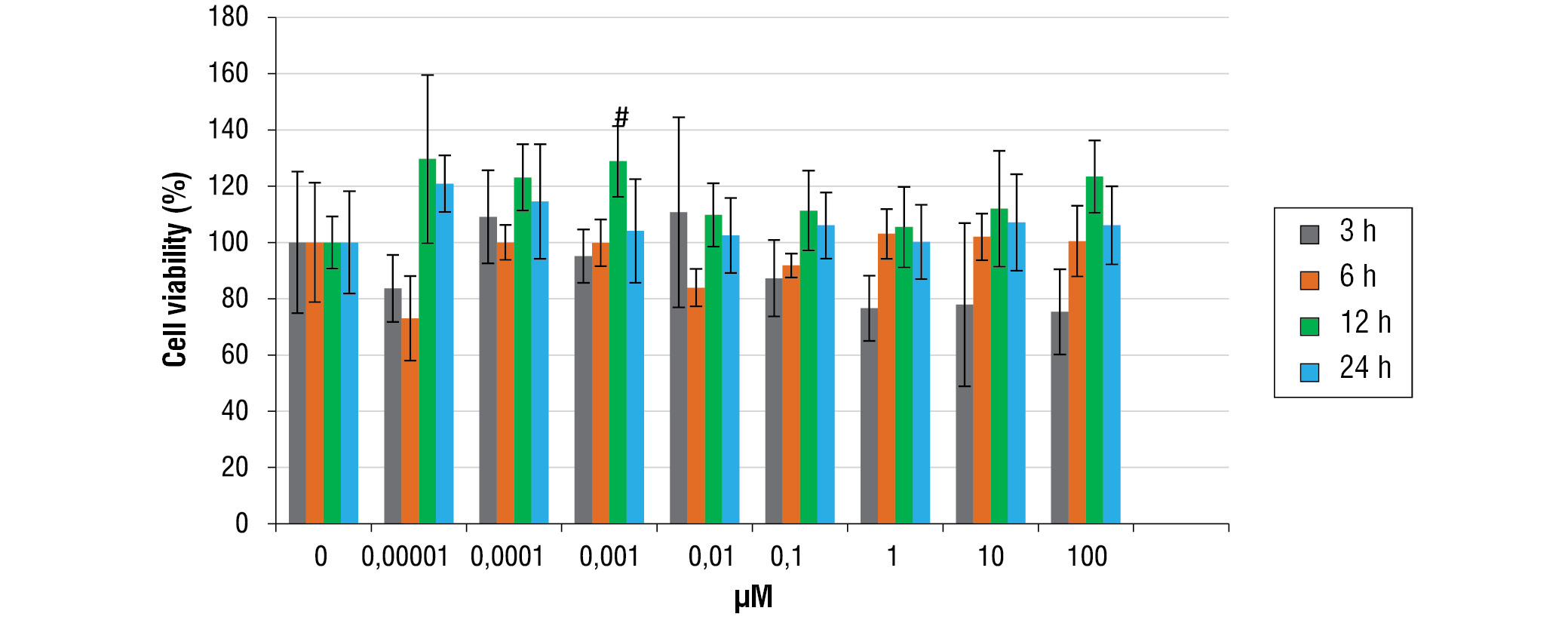
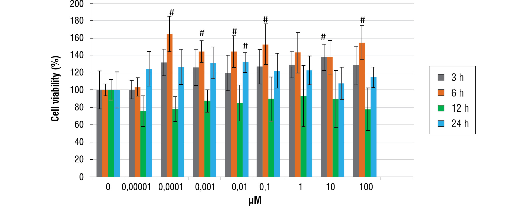
The cytotoxic effects of theoritin and Cetirizine at final concentrations from 100 to 0.00001 μM were studied on macrophage-differentiated U937 cells using the MTT test when incubated for 3, 6, 12, and 24 h. The results of assessing the cytotoxic effects of Cetirizine and theoritin on differentiated U937 cells are shown in Figures 1 and 2.
Fig. 1. Results of evaluating the cytotoxic effect of cetirizine on U937 cells differentiated into macrophages. Y-axis: cell viability (optical density as a percentage of control). X-axis: cetirizine concentration in μM. Hereinafter, the mean value (M) + standard deviation (SD) are given. # Differences are statistically significant in comparison with the control (0 μM), nonparametric Kruskall-Wallis test, multiple comparisons using Dunn’s test, p <0.05, n=6.
U937 cell viability assay regarding the activity of mitochondrial oxidoreductases showed the absence of cytotoxic effect of Cetirizine in the range of final concentrations from 100 µM to 0.01 nM when incubated with cells for 3, 6, 12, and 24 h. The ANOVA test showed statistical significance compared with the negative control (0 μM) for a concentration of 0.001 μM after 12 h incubation (see Fig. 1). However, due to the absence of concentration dependence, the recorded difference is not clinically significant.
Fig. 2. Results of evaluating the cytotoxic effect of theoritin on U937 cells differentiated into macrophages. Y-axis: cell viability (optical density as a percentage of control). X-axis: theoritin concentration in μM. # Differences are statistically significant in comparison with the control (0 μM), nonparametric Kruskall–Wallis test, multiple comparisons using Dunn’s test, p <0.05, n=6.
In addition, the absence of cytotoxic effect in the range of final concentrations from 100 µM to 0.01 nM in the period from 3 to 24 h of incubation of theoritin with cells was shown. Moreover, theoritin increases mitochondrial NADPH-dependent oxidoreductases and cellular respiration activity (Fig. 2). Importantly, a statistically significant increase in cell viability was observed after 6 h for concentrations of 0.0001, 0.001, 0.01, 0.1, and 100 μM (see Fig. 2). In addition, an increase in cellular respiration was observed after 3 h for a concentration of 10 μM and after 24 h for a concentration of 0.01 μM. Based on the data obtained, 6 concentrations (100, 10, 1, 0.1, 0.01, and 0.001 μM) for both theoritin and Cetirizine were selected to study further the anti-inflammatory effect of the dilutions studied substances.
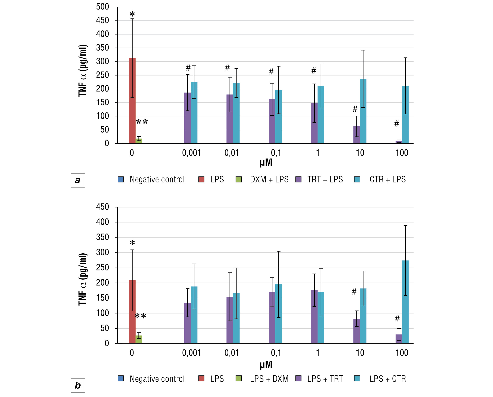
Fig. 3. Influence of the studied compounds on the level of LPS-induced production of IL-6: а ― test compounds were added 1 hour before treatment with LPS cells; b ― test compounds were added 1 hour after treatment with LPS cells (LPS 10 μg/ml; dexamethasone 10 μM). Y-axis: concentration of IL-6 (pg/ml) in the supernatant. X-axis: concentration of test compounds (theoritin and cetirizine) added to the cells in μM. Here and in Fig. 4, 5: ЛПС ― lipopolysaccharide; ТРТ ― theoritin; ЦТР ― cetirizine; ДКМ ― dexamethasone. * Differences are statistically significant in comparison with the background level (negative control), Student’s t-test; ** differences are statistically significant in comparison with LPS, Student’s t-test (for dexamethasone); # differences are statistically significant in comparison with LPS, ANOVA post-hoc Dunnett’s test, p <0.05, n=8.
The quantitative determination of changes in the levels of TNFα, IL-6, and IL-8 under the influence of the studied substances was performed by enzyme immunoassay 6 h after adding LPS at a concentration of 10 μg/ml to macrophage-differentiated U937 cells. In addition, Theoritin, Cetirizine, and dexamethasone at a final concentration of 10 μM as control of anti-inflammatory effect were added under prophylactic and therapeutic schemes: 1 h before and 1 h after the addition of LPS, respectively.
Fig. 4. Influence of the studied compounds on the level of LPS-induced production of IL-8: а ― test compounds were added 1 hour before treatment with LPS cells; b ― test compounds were added 1 hour after treatment with LPS cells (LPS 10 μg/ml; dexamethasone 10 μM). Y-axis: concentration of IL-8 (pg/ml) in the supernatant. X-axis: concentration of test compounds (theoritin and cetirizine) added to the cells in μM.
Administration of LPS at a final concentration of 10 μg/ml resulted in the synthesis and secretion of all pro-inflammatory cytokines in two experiments: after 6 h of incubation, IL-6 level was from 10 to 30 pg/ml (Fig. 3), IL-8 from 800 to 1000 pg/ml (Fig. 4), and TNF alpha from 200 to 300 pg/ml (Fig. 5).
Fig. 3. Influence of the studied compounds on the level of LPS-induced production of IL-6: а ― test compounds were added 1 hour before treatment with LPS cells; b ― test compounds were added 1 hour after treatment with LPS cells (LPS 10 μg/ml; dexamethasone 10 μM). Y-axis: concentration of IL-6 (pg/ml) in the supernatant. X-axis: concentration of test compounds (theoritin and cetirizine) added to the cells in μM. Here and in Fig. 4, 5: ЛПС ― lipopolysaccharide; ТРТ ― theoritin; ЦТР ― cetirizine; ДКМ ― dexamethasone. * Differences are statistically significant in comparison with the background level (negative control), Student’s t-test; ** differences are statistically significant in comparison with LPS, Student’s t-test (for dexamethasone); # differences are statistically significant in comparison with LPS, ANOVA post-hoc Dunnett’s test, p <0.05, n=8.
Dexamethasone (anti-inflammatory control drug from the glucocorticoid group) decreased IL-6 and TNF alpha production almost to the background level and the level of IL-8 by 50%–60%.
The addition of Cetirizine in the concentration range from 0.001 to 100 µM for both prophylactic and therapeutic schemes (1 h before and 1 h after the addition of LPS) did not significantly decrease the level of pro-inflammatory cytokines that were secreted by differentiated U937 cells (see Fig. 3–5). Furthermore, the tendency for a decrease in cytokine formation when testing individual concentrations of Cetirizine did not reach statistical significance.
The addition of theoritin to the cell culture resulted in a significant decrease in LPS-induced production of pro-inflammatory cytokines IL-6 (see Fig. 3), IL-8 (see Fig. 4), and TNF alpha (see Fig. 5). In addition, the results indicate the effect of the studied substances on the level of LPS-induced TNF alpha production (Fig. 5). The impact of theoritin at a concentration of 100 μM was comparable to that of the glucocorticoid dexamethasone at a concentration of 10 μM.
Fig. 4. Influence of the studied compounds on the level of LPS-induced production of IL-8: а ― test compounds were added 1 hour before treatment with LPS cells; b ― test compounds were added 1 hour after treatment with LPS cells (LPS 10 μg/ml; dexamethasone 10 μM). Y-axis: concentration of IL-8 (pg/ml) in the supernatant. X-axis: concentration of test compounds (theoritin and cetirizine) added to the cells in μM.
The EC50 with a concentration at the level of 50% efficiency was calculated by a four-parametric approximation of the graph of the percentage dependence on the concentration of theoritin using GraphPad Prism 8.0 licensed software (GraphPad, USA). The EC50 for the aggregate suppression by theoritin of producing the three analyzed cytokines ranged from 5.93 to 12.82 μM. For IL-6, IL-8, and TNF alpha, the EC50 was approximately 12.82, 9.91, and 5.93 for the prophylactic scheme, respectively, and 9.57, 7.04 9.42 the therapeutic scheme, respectively.
IL-6 decreased almost to the initial level when adding theoritin at a concentration of 100 μM in both administration schemes.
When using the prophylactic scheme of administering theoritin at a concentration of 100 µM (1 h before the induction of the IL-8 pro-inflammatory cytokine secretion), IL-8 decreased to approximately 25% of the initial level and about 50% of the level observed under the therapeutic scheme (1 h after the addition of LPS) (see Fig. 4).
Under the prophylactic scheme, significant inhibition of TNF alpha cytokine production was observed at all used concentrations of theoritin, starting with the lowest one (0.001 μM). At a concentration of 100 μM, the level of TNF alpha decreased approximately to zero (see Fig. 5, a). When using the administration scheme 1 h after adding LPS to the cells, statistically significant differences were observed for the concentrations of 10 and 100 μM (see Fig. 5, b).
Discussion
The choice of the U937 cell line to study the effect of the theoritin on pro-inflammatory cytokine formation and secretion depends on several circumstances.
U937 is a human myeloid leukemia cell line isolated from the histiocytic lymphoma of a 37-year-old man [11]. U937 promonocytes differentiate into mature monocytes or macrophages under the influence of PMA. These differentiated macrophage cells can produce many pro-inflammatory cytokines, including TNF alpha, IL-6, and IL-8. They are essential for studying the function of human mononuclear cells in bronchial asthma [12].
Studies conducted on these cells are particularly promising since U937 cells express histamine receptors (H1 and H2 types), and this expression persists on differentiated macrophage-like cells [9]. Therefore, this model may help elucidate the role of histamine (a key mediator of allergy) in stimulating and controlling the production of pro-inflammatory cytokines.
One of the most active inducers of formation and secretion of pro-inflammatory cytokines by these cells is LPS [13], which allows assessing under standard conditions the effect of various substances on the production of pro-inflammatory cytokines, which mediate the development and maintenance of multiple forms of inflammation, including allergic genesis.
In the present study, theoritin and the reference drug cetirizine were tested in a wide concentration range with no cytotoxic effect on macrophage-differentiated U937 cells. When using a prophylactic scheme (adding the drug 1 h before stimulation of LPS cells), theoritin induced a dose-dependent suppression of IL-6 secretion in the concentration range from 1 to 100 μM. At a concentration of 100 μM, the effect was comparable to the suppressive effect of dexamethasone (10 μM). The same pattern was revealed when conducting tests under the therapeutic scheme (adding the drug 1 h after stimulation of LPS cells).
Theoritin-induced suppression of IL-8 secretion under the prophylactic test scheme was dose-dependent and in the concentration range from 1 to 100 μM. The effect of the theoritin at the highest concentration was comparable to the inhibition of IL-8 release from cells induced by dexamethasone.
Using the therapeutic test scheme, theoritin at concentrations of 10 and 100 μM suppressed the LPS-induced IL-8 production to approximately the same extent as dexamethasone (10 μM).
The most pronounced suppressive effect of theoritin was evident concerning LPS-induced TNF alpha production and was dose-dependent. Significant TNF alpha inhibition was reproduced by all tested concentrations up to complete blockade of induced cytokine production under the prophylactic test scheme. The suppressive effect of theoritin on TNF alpha production was produced under the therapeutic test scheme as well, but to a somewhat lesser extent.
Thus, our results demonstrated a reliable and dose-dependent ability of theoritin to inhibit the LPS-induced production and secretion of all pro-inflammatory cytokines (IL-6, IL-8, and TNF alpha) in differentiated macrophage-like U937 cells, which may confirm and explain the anti-inflammatory effect of the drug.
In contrast to theoritin, Cetirizine did not show a consistent suppressive effect on the formation and release of pro-inflammatory cytokines (IL-6, IL-8, and TNF alpha) by cells in the model used. According to the data above, only with individual concentrations of Cetirizine, a weakly pronounced tendency to some suppression of cytokine formation and secretion was noted. Thus, the available literature does not represent Cetirizine’s effect on pro-inflammatory cytokine production in U937 cells. However, studies conducted on other cell models (epithelial cell culture [6, 14, 15], immature dendritic cells [16], nasal polyp cells [17], and mast cells [18]) have shown that the intensity of the Cetirizine-effect depends on both the cellular object used and the type of stimulation of the cytokine secretion (IL-1 beta, TNF alpha, and IL-6). In addition, it was not possible to show the compliance of this effect with the dose-response relationship [16, 18]. Therefore, the data of this study, which do not indicate a significant ability of Cetirizine to inhibit the secretion of cytokines, may be associated with the type of cells used and the nature of the stimulant. Notably, in the absence or decrease in the inhibitory signal of Cetirizine, theoritin shows an inhibitory effect on the secretion of pro-inflammatory cytokines.
The uncovered inhibitory effect of theoritin on the secretion of inflammatory mediators may be associated with the presence of theobromine (a xanthine derivative) in its structure. Theobromine, along with other methylxanthines, is a known phosphodiesterase inhibitor [19, 20], which increases the intracellular content of 3′,5′-cyclic adenosine monophosphate, which, as it was long-established, inhibits the secretion of allergic inflammatory mediators, particularly histamine, slow-reacting substance of anaphylaxis, and eosinophilic chemotactic anaphylaxis factor [21]. Subsequently, new evidence was obtained for the anti-inflammatory effect of theobromine. Thus, theobromine inhibits the activity of the nuclear enzyme poly(ADP-ribose) polymerase-1, with its activation being involved in acute and chronic inflammatory processes [22]. Furthermore, in cultured human cells of the 3T3-L1 line, theobromine inhibits the production and secretion of TNF alpha and IL-6 as measured by mRNA and protein content [23]. Theobromine significantly decreased the levels of pro-inflammatory cytokines (monocyte chemotactic factor-1 and IL-1 beta) in supernatants that were derived from interacting mature adipocytes (SGBS line) and macrophage-like cells (U937 line), which was used as an in vitro inflammatory model [24].
Thus, the data of the present study indicate that theoritin {7-[4-(4-benzhydryl piperazinyl-1)butyl]-3-methylxanthine succinate}, which exhibits high H1-antihistamine activity [7], has anti-inflammatory property, which is probably associated with the inclusion of 3,7-dimethylxanthine (theobromine) in its structure. Hence, it confirms the earlier opinion [3, 7] on the possibility of obtaining a polyfunctional antiallergic pharmacological agent by modifying the anti-inflammatory substance (xanthine derivatives) with a selective H1-receptor antagonist (in this case, a benzhydryl piperazinyl alkyl fragment).
Conclusion
Thus, the above study suggests that the antihistamine activity of theoritin is not inferior to the antihistamine effect of Cetirizine and other H1-antihistamines of the 2nd generation [7]. In addition, this new antiallergic drug theoritin has additional anti-inflammatory potential to suppress the production and secretion of inflammatory mediators (TNF alpha, IL-6, and IL-8 cytokines), which illustrates the broad antiallergic options of the drug.
Additional information
Funding source. This study was funded by JSC “Valenta Pharmaceuticals” as part of a complex of exploratory research works.
The authors state that there is no funding for the preparation of the manuscript.
Competing interests. I.S. Gushchin delivered a lecture at a symposium supported by “Valenta Pharm”. The authors have no other and apparent conflicts of interests to disclose in relation to this article.
Authors’ contribution. K.L. Kryshen, A.B. Bondarenko ― the concept and design of the study, collection and processing of material; K.L. Kryshen, A.B. Bondarenko, I.S. Gushchin ― analysis of the obtained data; I.S. Gushchin, K.L. Kryshen, A.B. Bondarenko ― text writing; I.S. Gushchin ― editing. All authors made a substantial contribution to the conception of the work, acquisition, analysis, interpretation of data for the work, drafting and revising the work, final approval of the version to be published and agree to be accountable for all aspects of the work.
About the authors
Igor S. Gushchin
National Research Center — Institute of Immunology Federal Medical-Biological Agency of Russia
Author for correspondence.
Email: igushchin@yandex.ru
ORCID iD: 0000-0002-4465-6509
SPIN-code: 1905-4758
MD, PhD, professor, corresponding member of Russian Academy of Sciences, head of the Departament of Clinical Immunology and Allergology
Россия, 24, Kashirskoe shosse, Moscow, 115522Kirill L. Kryshen
Scientific and Production Association “Home of Pharmacy”
Email: info@doclinika.ru
ORCID iD: 0000-0003-1451-7716
SPIN-code: 5650-2840
Cand. Sci. (Biol.)
Россия, Leningrad region, Kuzmolovsky villageAndrei B. Bondarenko
Scientific and Production Association “Home of Pharmacy”
Email: info@doclinika.ru
ORCID iD: 0000-0002-8437-1313
SPIN-code: 3376-6819
Россия, Leningrad region, Kuzmolovsky village
References
- Gushchin IS, Orlov SM, Czju NL. On the triggering mechanism of anaphylactic reactions in rat mast cells. Allergol Immunopathol (Madr). 1974;2(2):69–76.
- Gushchin IS, Uvnäs B. In vitro uptake of 5-hydroxytryptamine and dopamine by rat mast cells after exocytosis induced by antigen or compound 48/80. Acta Physiol Scand. 1976;98(2):168–174. doi: 10.1111/j.1748-1716.1976.tb00236.x
- Gushchin IS, Zebrev AI, Chitaeva VG, et al. Polyfunctional antiallergic compounds combining antihistamine activity with stabilization of mast cells and basophils. Pharmaceutical Chemistry Journal. 1987;21(11):1313–1318. (In Russ).
- Mashkovsky MD, Yakhontov LN, Kaminka ME, Mikhlina EE. Further developments in research on the chemistry and pharmacology of synthetic quinuclidine derivatives. Prog Drug Res. 1983;27:9–61. doi: 10.1007/978-3-0348-7115-0_1
- Leurs R, Church MK, Taglialatela M. H1-antihistamines: inverse agonism, anti-inflammatory actions and cardiac effects. Clin Exp Allergy. 2002;32(4):489–498. doi: 10.1046/j.0954-7894.2002.01314.x
- Cheng KC, Hsu JY, Fu LS, et al. Influence of cetirizine and loratadine on granulocyte-macrophage colony-stimulating factor and interleukin-8 release in A549 human airway epithelial cells stimulated with interleukin-1beta. J Microbiol Immunol Infect. 2006;39(3):206–211.
- Glushkov RG, Yuzhakov SD, Alekseev MV, et al. New group of 1- and 7-[ω-(benzhydryl) alkyl]-3-methylxantine derivatives possessing antihistaminic properties. Pharmaceutical Chemistry Journal. 2011;45(1):3–13. (In Russ).
- Glushkov RG, Yuzhakov SD. Experience in creating new drugs using traditional technologies. Pharmaceutical Chemistry Journal. 2011;45(9):3–7. (In Russ).
- Nebreda AD, Zappia CD, González AR, et al. Involvement of histamine H1 and H2 receptor inverse agonists in receptor’s crossregulation. Eur J Pharmacol. 2019;847:42–52. doi: 10.1016/j.ejphar.2019.01.026
- Plumb JA. Cell sensitivity assays: the MTT assay. Methods Mol Med. 2004;88:165–169. doi: 10.1385/1-59259-406-9:165
- Sundström C, Nilsson K. Establishment and characterization of a human histiocytic lymphoma cell line (U-937). Int J Cancer. 1976;17(5):565–577. doi: 10.1002/ijc.2910170504
- Garrelds IM, van Hal PT, Haakmat RC, et al. Time dependent production of cytokines and eicosanoids by human monocytic leukaemia U937 cells; effects of glucocorticosteroids. Mediators Inflamm. 1999;8(4-5):229–235. doi: 10.1080/09629359990397
- Haque MA, Jantan I, Harikrishnan H. Zerumbone suppresses the activation of inflammatory mediators in LPS-stimulated U937 macrophages through MyD88-dependent NF- κB/ MAPK/PI3K-Akt signaling pathways. Int Immunopharmacol. 2018;55:312–322. doi: 10.1016/j.intimp.2018.01.001
- Shih MY, Hsu JY, Weng YS, Fu LS. Influence of cetirizine and levocetirizine on two cytokines secretion in human airway epithelial cells. Allergy Asthma Proc. 2008;29(5):480–485. doi: 10.2500/aap.2008.29.3156
- Arnold R, Rihoux J, König W. Cetirizine counter-regulates interleukin-8 release from human epithelial cells (A549). Clin Exp Allergy. 1999;29(12):1681–1691. doi: 10.1046/j.1365-2222.1999.00630.x
- Ohtani T, Aiba S, Mizuashi M, et al. Evaluation of the efficacy of antihistamines using human monocyte-derived dendritic cells stimulated with histamine. J Am Acad Dermatol. 2003;49(2):234–242. doi: 10.1067/s0190-9622(03)01478-6
- Küsters S, Schuligoi R, Hüttenbrink KB, et al. Effects of antihistamines on leukotriene and cytokine release from dispersed nasal polyp cells. Arzneimittelforschung. 2002;52(2):97–102. doi: 10.1055/s-0031-1299863
- Lippert U, Möller A, Welker P, et al. Inhibition of cytokine secretion from human leukemic mast cells and basophils by H1- and H2-receptor antagonists. Exp Dermatol. 2000;9(2):118–124. doi: 10.1034/j.1600-0625.2000.009002118.x
- Bender AT, Beavo JA. Cyclic nucleotide phosphodiesterases: molecular regulation to clinical use. Pharmacol Rev. 2006;58(3):488–520. doi: 10.1124/pr.58.3.5
- Yoneda M, Sugimoto N, Katakura M, et al. Theobromine up-regulates cerebral brain-derived neurotrophic factor and facilitates motor learning in mice. J Nutr Biochem. 2017;39:110–116. doi: 10.1016/j.jnutbio.2016.10.002
- Kaliner M. Symposium on allergic lung disease. IV. Immunologic mechanisms for release of chemical mediators of anaphylaxis from human lung tissue. Can Med Assoc J. 1974;110(4):431.
- Geraets L, Moonen HJ, Wouters EF, et al. Caffeine metabolites are inhibitors of the nuclear enzyme poly(ADP-ribose)polymerase-1 at physiological concentrations. Biochem Pharmacol. 2006;72(7):902–910. doi: 10.1016/j.bcp.2006.06.023
- Jang YJ, Koo HJ, Sohn EH, et al. Theobromine inhibits differentiation of 3T3-L1 cells during the early stage of adipogenesis via AMPK and MAPK signaling pathways. Food Funct. 2015;6(7):2365–2374. doi: 10.1039/c5fo00397k
- Fuggetta MP, Zonfrillo M, Villivà C, et al. Inflammatory microenvironment and adipogenic differentiation in obesity: the inhibitory effect of theobromine in a model of human obesity in vitro. Mediators Inflamm. 2019;2019:1515621. doi: 10.1155/2019/1515621.
Supplementary files







