Janus kinase inhibitors efficacy for the treatment of adult atopic dermatitis in real clinical practice
- Authors: Shatokhina E.A.1,2, Polonskaia A.S.1, Syryseva A.Y.1, Michenko A.V.1,2, Shatokhin M.N.3, Kruglova L.S.1
-
Affiliations:
- Central State Medical Academy of Department of Presidential Affairs
- Lomonosov Moscow State University, Medical Scientific and Educational Center
- Russian Medical Academy of Continuous Professional Education
- Issue: Vol 20, No 2 (2023)
- Pages: 238-249
- Section: Case reports
- Submitted: 25.05.2023
- Accepted: 26.06.2023
- Published: 09.07.2023
- URL: https://rusalljournal.ru/raj/article/view/11544
- DOI: https://doi.org/10.36691/RJA11544
- ID: 11544
Cite item
Full Text
Abstract
Atopic dermatitis is a common chronic dermatosis characterized by a wide variability of endotypes and phenotypes.
Approaches to the treatment of atopic dermatitis are currently undergoing significant changes, especially in patients with moderate and severe forms of atopic dermatitis. JAK inhibitors according to the results of numerous studies have shown their efficacy in the treatment of various immune-mediated dermatological diseases such as atopic dermatitis, vitiligo, focal alopecia and psoriasis, etc.
The article presents the experience of treating adult patients suffering from a severe form of atopic dermatitis with the selective JAK-1 inhibitor upadacitinib. The observations presented are of particular interest due to the fact that the patients were treated with upadacitinib monotherapy. It should be noted that the drug is highly effective against itching. No adverse events (including the development of infectious diseases, hematological disorders) were registered during dynamic observation (according to the results of laboratory studies).
Keywords
Full Text
АКТУАЛЬНОСТЬ
Атопический дерматит (АтД) является распространённым хроническим иммуноопосредованным воспалительным заболеванием кожи. На сегодняшний день представлено две гипотезы патогенеза атопического дерматита, которые играют комплексную роль в развитии заболевания. В соответствии с гипотезой «outside in», развитие воспалительного процесса в коже обусловлено нарушениями эпидермального барьера. Гипотеза «inside out» подразумевает, что первичными являются иммунологические нарушения с гиперпродукцией провоспалительных цитокинов и последующим повреждением эпидермальных структур [1].
Вследствие нарушения эпидермального барьера повышаются трансэпидермальное проникновение антигенов и синтез провоспалительных хемокинов (CCL17, CCL22), цитокинов и аларминов (IL-25, IL-33 и TSLP). Результатом указанного воздействия является активация лимфоидных клеток врождённого иммунитета 2-го типа (ILC2) с поляризацией Th-клеток в сторону Th2 и образованием IL-4, IL-13 и IL-5, при этом IL-4 и IL-13 играют ведущие роли в развитии патологических аллергических процессов [1–3]. Патогенетический процесс при АтД носит двухфазный характер: в острой фазе превалируют иммунные реакции Т-хелперов 2-го типа (Th2), в то время как в хронической стадии отмечается переход к реакциям Т-хелперов 1-го типа (Th1) [1, 3].
Подходы к лечению АтД в настоящее время претерпевают существенные изменения, особенно в отношении пациентов со среднетяжёлой и тяжёлой формами заболевания. Расширение представлений о патогенетических механизмах и иммунологических особенностях АтД привело к разработке таргетных препаратов: моноклональных антител, ориентированных на ингибирование активности основных провоспалительных цитокинов (IL-4, IL-13), и «малых» молекул [2–4].
Новый рубеж в лечении АтД представлен ингибиторами янус-киназ (JAK) ― «малыми молекулами», которые благодаря низкой молекулярной массе (примерно на 300 кДа ниже порога кожного барьера) могут применяться не только в качестве системных пероральных препаратов, но и наружных лекарственных средств [4, 5].
ОБЩИЕ СВЕДЕНИЯ О ПУТИ JAK/STAT
Группы молекул янус-киназ (JAK), сигнальных преобразователей и активаторов транскрипции (STAT), являются одним из основных путей внутриклеточной передачи сигналов широкого спектра цитокинов: интерлейкинов (IL), интерферонов (IFN) и других молекул [5]. Сигнальный путь JAK/STAT относится к консервативным каскадам реакций, осуществляющим трансмембранную передачу сигнала (рис. 1) [6].
Рис. 1. Сигнальный путь JAK/STAT. / Fig. 1. JAK/STAT signaling path.
JAK относится к группе внутриклеточных тирозинкиназ. При связывании лиганда (цитокина) с внеклеточным участком рецептора происходит активация связанных с внутриклеточным фрагментом JAK, в результате чего происходит фосфорилирование цитоплазматического хвоста рецептора и создаётся рецепторное место для присоединения молекул STAT. В дальнейшем внутриклеточные активизированные участки тирозина молекулы JAK фосфорилируют и активизируют молекулы STAT, что позволяет им димеризоваться. Димер STAT-STAT способен транслоцироваться в ядро клетки и регулировать экспрессию генов [5–7].
Необходимо отметить, что активное изучение данного сигнального пути позволило установить, что молекулярные взаимодействия могут носить гораздо более широкий характер, в том числе в отношении модуляции активности JAK/STAT на различных уровнях. В частности, установлено, что благодаря большому количеству различных коактиваторов STAT обеспечиваются высокий контроль и специфичность активации генов [6]. На сегодняшний день известно о четырёх киназах семейства JAK (JAK1, JAK2, JAK3, TYK2) и семи членах семейства STAT (STAT1, STAT2, STAT3, STAT4, STAT5a, STAT5b, STAT6) [5–7].
РОЛЬ СИГНАЛЬНОГО ПУТИ JAK/STAT В ПАТОГЕНЕЗЕ ИММУНОАССОЦИИРОВАННЫХ ЗАБОЛЕВАНИЙ
Активное изучение сигнального пути JAK/STAT на протяжении последних 30 лет позволило установить его значимую роль в формировании врождённого и адаптивного иммунного ответа, а также при гемопоэзе [8]. Доказано, что нарушение передачи данного сигнального пути играет роль в развитии ряда заболеваний. В частности, мутации с потерей функции в JAK3 вызывают тяжёлый синдром комбинированного иммунодефицита (severe combined immunodeficiency, SCID) [9]. Мутации, сопровождаемые активацией JAK, приводят к развитию лимфопролиферативных и гематологических злокачественных заболеваний [10–12]. Мутации с потерей функции STAT могут быть связаны с синдромами иммунодефицита, включая синдром Джобса (STAT38) [13]. Некоторые полиморфизмы JAK/STAT связаны с повышенным риском развития аутоиммунных заболеваний [7, 14]. В патогенезе широкого спектра дерматологических иммуновоспалительных и аутоиммунных заболеваний ведущие патогенетические роли играют цитокины, реализующие передачу сигнала внутрь через путь JAK/STAT.
Таким образом, разработка таргетных препаратов ― ингибиторов JAK ― стала важным направлением развития современной лекарственной терапии иммуноассоциированных дерматологических заболеваний [15].
ЛЕКАРСТВЕННЫЕ ПРЕПАРАТЫ ― ИНГИБИТОРЫ JAK/STAT
Первое поколение ингибиторов JAK включает тофацитиниб, руксолитиниб, барицитиниб и дельгоцитиниб. Данные препараты также называют панингибиторами JAK в связи с их низкой селективностью. Второе поколение ингибиторов JAK представлено JAK1-селективными антагонистами [5] (табл. 1). Основным преимуществом селективного антагонизма JAK1 по сравнению с JAK2 и JAK3 представляется более благоприятный профиль гематологических побочных эффектов [16].
Таблица 1. Ингибиторы JAK, применяемые в клинической практике / Table 1. JAK inhibitors used in clinical practice
Ингибиторы JAK | Мишени | Показания |
Первого поколения | ||
Руксолитиниб | JAK 1, JAK 2 | Миелофиброз, включая первичный миелофиброз и вторичный миелофиброз, развившийся вследствие истинной полицитемии и эссенциальной тромбоцитемии |
Тофацитиниб | JAK1, JAK2, JAK3, TYK2 | Умеренный или тяжёлый активный ревматоидный артрит; активный псориатический артрит; анкилозирующий спондилит; язвенный колит; полиартикулярный ювенильный ревматоидный артрит; очаговая алопеция |
Барицитиниб | JAK1, JAK2 | Ревматоидный артрит; очаговая алопеция; атопический дерматит |
Второго поколения | ||
Упадацитиниб | JAK1 | Ревматоидный артрит умеренной и высокой активности; атопический дерматит среднетяжёлой и тяжёлой степени у взрослых и детей с 12 лет; активный псориатический артрит; активный анкилозирующий спондилоартрит; активный аксиальный спондилоартрит без рентгенологических изменений; язвенный колит; болезнь Крона |
Аброцитиниб | JAK1 | Атопический дерматит средней и тяжёлой степени у взрослых и детей с 12 лет |
Приводим собственный опыт применения селективного ингибитора JAK1 упадацитиниба у взрослых пациентов с тяжёлым течением АтД.
ОПИСАНИЕ КЛИНИЧЕСКИХ СЛУЧАЕВ
Клинический случай 1
О пациенте. Пациентка А., 1971 года рождения, обратилась на приём к дерматовенерологу в Университетскую клинику Медицинского научно-образовательного центра МГУ имени М.В. Ломоносова с жалобами на высыпания на коже лица, туловища, конечностей, сопровождающиеся выраженным зудом, нарушающие сон; выраженную сухость кожных покровов.
Анамнез заболевания. Со слов пациентки, с раннего детства страдает АтД; получала лечение топическими глюкокортикоидами, дерматокосметическими средствами. По результатам проведённого аллергологического обследования установлена аллергия на домашнюю пыль и шерсть собак. С 2012 по 2016 год заболевание носило прогрессирующий рецидивирующий характер, в связи с чем с целью купирования обострений получала терапию раствором дексаметазона внутривенно капельно (около 6 раз за год), наружную терапию с применением липидовосполняющих бальзамов. С 2017 по 2020 год отмечала более продолжительные ремиссии, сезонные обострения. Весной 2021 года ― очередное обострение заболевания: в соответствии с назначениями дерматовенерологов длительно применяла топические глюкокортикоиды со слабоположительным эффектом.
В августе 2021 года резкое ухудшение кожного процесса, в связи с чем пациентка была госпитализирована в кожно-венерологический стационар, где получала системную терапию раствором дексаметазона внутримышечно, перорально цетиризин и гидроксизин; наружное лечение комбинированным кремом фузидовой кислоты и гидрокортизона ацетата. По завершении курсового лечения отмечала краткосрочный положительный эффект до сентября 2021 года. В связи с очередным обострением обратилась в Университетскую клинику Медицинского научно-образовательного центра МГУ имени М.В. Ломоносова.
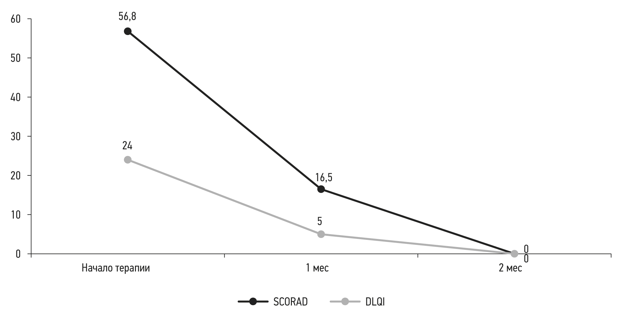
Локальный статус. Кожный патологический процесс носит распространённый островоспалительный характер, локализуется на коже лица, туловища и преимущественно сгибательных поверхностей рук и ног (рис. 2). Представлен эритематозными инфильтрированными очагами розового цвета с нечёткими границами, умеренным мелкопластинчатым шелушением, множественными экскориациями с геморрагическими корочками на поверхности. Выраженная лихенификация на коже лучезапястных суставов. Индекс SCORAD (Scoring of Atopic Dermatitis ― оценка тяжести АтД) 56,8 баллов, DLQI (Dermatology life Quality Index ― дерматологический индекс качества жизни) 24 балла.
Рис. 2. Пациентка А., 1971 года рождения, с атопическим дерматитом тяжёлого течения в стадии обострения: динамика кожного процесса на фоне терапии упадацитинибом. / Fig. 2. Patient A., born in 1971, with severe atopic dermatitis in the acute stage: The dynamics of the skin process during therapy with upadacitinib.
Комплексное обследование, диагноз. На основании жалоб, данных анамнеза и объективного осмотра установлен диагноз «Атопический дерматит, тяжёлое течение, стадия обострения».
До начала системного лечения проведено комплексное обследование: клинический и биохимический анализ крови ― показатели в пределах нормы; HBsAg (поверхностный антиген вируса гепатита В), anti-HCV (антитела к вирусу гепатита С), anti-HIV (антитела к белкам вируса иммунодефицита человека), PRP (антикардиолипиновый тест), T-SPOT (иммунодиагностика туберкулёзной инфекции) ― тесты отрицательные.
Лечение. Учитывая данные анамнеза, объективного осмотра, распространённость кожного процесса и выраженность субъективных симптомов, низкую эффективность проводимой системной и наружной терапии, рекомендована системная терапия селективным ингибитором JAK1 упадацитинибом в дозе 15 мг (1 таблетка) 1 раз в сутки. В качестве наружной терапии рекомендовано применение липидовосполняющих наружных средств.
Исходы и результаты последующего наблюдения. На фоне проводимого системного лечения упадацитинибом наблюдалась выраженная положительная динамика (см. рис. 2): к третьим суткам терапии пациентка отметила полное купирование зуда, к концу 2-го месяца лечения ― полный регресс высыпаний, отсутствие влияния кожного процесса на качество жизни (SCORAD 0 баллов, DLQI 0 баллов).
Клинический случай 2
О пациенте. Пациентка О., 1989 года рождения, обратилась на приём к дерматовенерологу в Университетскую клинику Медицинского научно-образовательного центра МГУ имени М.В. Ломоносова с жалобами на распространённые высыпания на коже лица, передней и задней поверхности туловища, верхних и нижних конечностей, сопровождающиеся изнурительным зудом.
Анамнез заболевания. Со слов пациентки, заболевание началось в раннем детстве в виде высыпаний на коже щёк. К дерматовенерологу на тот момент не обращались. В подростковом периоде впервые отметили появление сыпи на коже ладоней и стоп. При обращении к дерматовенерологу установлен диагноз ладонно-подошвенного псориаза. Были рекомендованы наружное лечение топическими глюкокортикоидами и системная гормональная терапия бетаметазоном, с временным положительным эффектом. В 2011 году патологический процесс распространился на кожу конечностей и туловища, в связи с чем пациентка была госпитализирована в кожно-венерологический стационар и получала лечение в следующем объёме: системная терапия раствором бетаметазона внутримышечно 1 раз в 7 дней, № 3; десенсибилизирующая терапия; наружная терапия топическими глюкокортикоидами. На фоне проводимого лечения наблюдалась временная положительная динамика. В дальнейшем заболевание носило торпидный характер, в течение последних 10 лет ― непрерывный. При возникновении обострений пациентка самостоятельно применяла топические глюкокортикоиды, с некоторым положительным эффектом. С марта 2022 года ― очередное выраженное обострение с быстрым распространением высыпаний на кожу лица, туловища, верхних и нижних конечностей. Субъективно пациентка отмечала появление изнуряющего зуда, сохраняющегося на протяжении всего дня и в ночное время. В связи с указанными жалобами обратилась в Университетскую клинику Медицинского научно-образовательного центра МГУ имени М.В. Ломоносова.
Локальный статус. Кожный патологический процесс носит распространённый симметричный островоспалительный характер, локализуется на коже лица, туловища, верхних и нижних конечностей (рис. 3). Представлен сливными эритематозными очагами ярко-розового цвета с нечёткими границами, муковидным и среднепластинчатым шелушением, множественными линейными экскориациями, покрытыми геморрагическими корочками. Пальпаторно в области высыпаний отмечаются гипертермия, белый дермографизм. На переднебоковой поверхности живота ― линейные, вертикально ориентированные стрии. Кожа ладоней и стоп лихенифицирована, насыщенно-розового цвета. Ногтевые пластины пальцев кистей и стоп патологически не изменены. SCORAD 91 балл, EASI (Eczema Area and Severity Index ― площадь экземы и индекс тяжести) 69 баллов, BSA 81 (body surface area ― площадь поверхности тела), DLQI 27 баллов.
Рис. 3. Пациентка О., 1989 года рождения, с атопическим дерматитом тяжёлого течения в стадии обострения: динамика кожного процесса на фоне терапии упадацитинибом. / Fig. 3. Patient О., born in 1989, with severe atopic dermatitis in the acute stage: Dynamics of the skin process during therapy with upadacitinib.
Комплексное обследование, диагноз. С целью верификации диагноза выполнена диагностическая punch- биопсия. По результатам патоморфологического исследования, выявленные изменения соответствуют атопическому дерматиту. На основании жалоб, данных анамнеза и объективного осмотра, результатов патоморфологического исследования, установлен диагноз: «Атопический дерматит, тяжёлое течение, стадия обострения».
До начала системного лечения проведено комплексное обследование: клинический и биохимический анализ крови ― показатели в пределах нормы; HbsAg, anti-HCV, anti-HIV, PRP, T-SPOT ― отрицательно.
Лечение. Учитывая данные анамнеза, объективного осмотра, распространённость кожного процесса и выраженность субъективных симптомов, рекомендована системная терапия селективным ингибитором JAK1 упадацитинибом в дозе 30 мг в сутки. В качестве наружной терапии рекомендовано применение липидовосполняющих бальзамов.
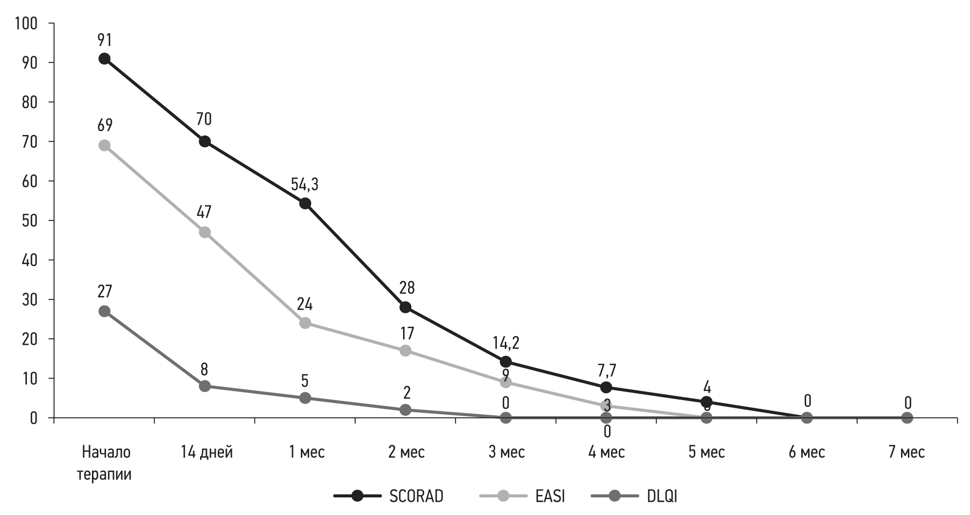
Исходы и результаты последующего наблюдения. На фоне проводимого лечения упадацитинибом отмечалась быстрая положительная динамика кожного процесса в виде уменьшения интенсивности инфильтрации, снижения выраженности воспалительного процесса, шелушения и зуда (рис. 4). Показатели диагностических индексов через 14 дней от начала терапии: SCORAD 70 баллов, EASI 47 баллов, DLQI 13 баллов, BSA 67.
Рис. 4. Пациентка О. через 7 месяцев от начала терапии упадацитинибом. / Fig. 4. Patient O., 7 months after the start of upadacitinib therapy.
Со 2-го месяца терапии ― редукция дозы упадацитиниба до 15 мг в сутки. Переносимость препарата удовлетворительная, нежелательных явлений не отмечалось. Лечение продолжено до 7 месяцев в полном объёме (рис. 5, 6).
Рис. 5. Пациент А. Динамика диагностических индексов SCORAD и DLQI в течение 2 месяцев на фоне терапии упадацитинибом. / Fig. 5. Patient A. Dynamics of diagnostic indices SCORAD and DLQI within 2 months during therapy with upadacitinib.
Рис. 6. Пациентка О. Динамика диагностических индексов SCORAD, EASI и DLQI в течение 7 месяцев терапии упадацитинибом. / Fig. 6. Pation O. Dynamics of diagnostic indices SCORAD, EASI and DLQI within 7 months during therapy with upadacitinib.
ОБСУЖДЕНИЕ
АтД является распространённым хроническим дерматозом, для которого характерна широкая вариабельность эндотипов и фенотипов [1, 17].
На сегодняшний день существует возможность разработки таргетных лекарственных препаратов, ориентированных на различные терапевтические цели, в том числе на ключевые молекулярные звенья воспалительных путей, участвующих в патогенезе АтД.
В последние годы отмечается изменение подходов к системной терапии среднетяжёлых и тяжёлых форм АтД с переходом от традиционных иммуносупрессивных препаратов (глюкокортикоиды, циклоспорин А и др.) к современным препаратам генно-инженерной биологической терапии и «малым» молекулам. Ингибиторы JAK, по результатам многочисленных исследований, показали свою эффективность при лечении различных иммуноопосредованных дерматологических заболеваний, таких как атопический дерматит, витилиго, очаговая алопеция, псориаз и др. [5, 7, 14].
Представленные в настоящей работе клинические случаи подтверждают высокую эффективность монотерапии селективным ингибитором JAK1 упадацитинибом у взрослых пациентов с тяжёлой формой АтД.
Несмотря на то, что у пациенток в ходе динамического наблюдения не было зарегистрировано нежелательных явлений, необходимо отметить важность строгого контроля гематологических показателей, учёта рисков развития инфекционных процессов даже при терапии селективными ингибиторами JAK1 [18].
ЗАКЛЮЧЕНИЕ
Настоящие клинические случаи демонстрируют эффективность применения селективного ингибитора JAK1 упадацитиниба у взрослых пациентов с тяжёлой формой АтД.
Представленные наблюдения имеют особый интерес в связи с тем, что пациентки получали монотерапию упадацитинибом, в то время как наружное лечение было ограничено применением эмолентов. Необходимо отметить высокую эффективность упадацитиниба в отношении кожного зуда у пациентов в нашем исследовании. В частности, у пациентки А. уже к концу вторых суток отмечалось полное купирование субъективных симптомов, у пациентки О. ― значимое снижение интенсивности зуда к седьмому дню терапии. У обеих пациенток достигнута стойкая ремиссия АтД. В ходе динамического наблюдения (по результатам лабораторных исследований) не зарегистрировано нежелательных явлений (в том числе развития инфекционных заболеваний, гематологических нарушений).
ДОПОЛНИТЕЛЬНАЯ ИНФОРМАЦИЯ
Источник финансирования. Авторы заявляют об отсутствии внешнего финансирования при проведении поисково-аналитической работы.
Конфликт интересов. Авторы декларируют отсутствие явных и потенциальных конфликтов интересов, связанных с публикацией настоящей статьи.
Вклад авторов. Все авторы подтверждают соответствие своего авторства международным критериям ICMJE (все авторы внесли существенный вклад в разработку концепции, проведение работы и подготовку статьи, прочли и одобрили финальную версию перед публикацией). Наибольший вклад распределён следующим образом: Е.А. Шатохина ― сбор и обработка материала, написание и редактирование текста статьи, утверждение окончательного варианта статьи, ответственность за целостность всех частей статьи; А.С. Полонская, А.Ю. Сырысева ― сбор и обработка материала, написание текста статьи; А.В. Миченко, М.Н. Шатохин ― написание текста статьи; Л.С. Круглова ― утверждение содержания статьи.
Информированное согласие на публикацию. Авторы получили письменное согласие пациентов на публикацию медицинских данных и фотографий в «Российском аллергологическом журнале».
ADDITIONAL INFORMATION
Funding source. This article was not supported by any external sources of funding.
Competing interests. The authors declare that they have no competing interests.
Authors’ contribution. All authors made a substantial contribution to the conception of the work, acquisition, analysis, interpretation of data for the work, drafting and revising the work, final approval of the version to be published and agree to be accountable for all aspects of the work. E.A. Shatokhina ― collection and processing of material, writing and editing the text of the article, approval of the final version of the article, responsibility for the integrity of all parts of the article; A.S. Polonskaya, A.Yu. Syryseva ― collection and processing of material, writing the text of the article; A.V. Michenko, M.N. Shatokhin ― writing the text of the article; L.S. Kruglova ― approval of the content of the article.
Consent for publication. Written consent was obtained from the patient for publication of relevant medical information and all of accompanying images within the manuscript in Russian Journal of Allergy.
About the authors
Evgeniya A. Shatokhina
Central State Medical Academy of Department of Presidential Affairs; Lomonosov Moscow State University, Medical Scientific and Educational Center
Author for correspondence.
Email: e.a.shatokhina@gmail.com
ORCID iD: 0000-0002-0238-6563
SPIN-code: 3827-0100
Scopus Author ID: 57189575975
MD, Dr. Sci. (Med.), Professor
Россия, Moscow; MoscowAleksandra S. Polonskaia
Central State Medical Academy of Department of Presidential Affairs
Email: dr.polonskaia@gmail.com
ORCID iD: 0000-0001-6888-4760
Россия, Moscow
Anastasiya Yu. Syryseva
Central State Medical Academy of Department of Presidential Affairs
Email: syryseva.a@yandex.ru
ORCID iD: 0000-0001-9585-8373
ординатор кафедры
Россия, MoscowAnna V. Michenko
Central State Medical Academy of Department of Presidential Affairs; Lomonosov Moscow State University, Medical Scientific and Educational Center
Email: amichenko@mail.ru
ORCID iD: 0000-0002-2985-5729
MD, Cand. Sci. (Med), Assistant Professor
Россия, Moscow; MoscowMaksim N. Shatokhin
Russian Medical Academy of Continuous Professional Education
Email: m.n.shatokhin@gmail.com
ORCID iD: 0000-0002-1285-7357
MD, Dr. Sci. (Med.), Professor
Россия, MoscowLarisa S. Kruglova
Central State Medical Academy of Department of Presidential Affairs
Email: kruglovals@mail.ru
ORCID iD: 0000-0002-5044-5265
MD, Dr. Sci. (Med.), Professor
Россия, MoscowReferences
- Murashkin NN, Namazova-Baranova LS, Opratin LA, et al. Biological therapy of moderate and severe forms of atopic dermatitis in childhood. Issues Modern Pediatrics. 2020;19(6):432–443. (In Russ). doi: 10.15690/vsp.v19i6.2145
- He H, Guttman-Yassky E. Jak inhibitors for atopic dermatitis: An update. Am J Clin Dermatol. 2019;20(2):181–192. doi: 10.1007/s40257-018-0413-2
- Salvati L, Cosmi L, Annunziato F. From emollients to biologicals: Targeting atopic dermatitis. Int J Mol Sci. 2021;22(19):10381. doi: 10.3390/ijms221910381
- Cotter DG, Schairer D, Eichenfield L. Emerging therapies for atopic dermatitis: JAK inhibitors. J Am Academy Dermatol. 2018; 78(3, Suppl 1):S53–S62. doi: 10.1016/j.jaad.2017.12.019
- Solimani F, Meier K, Ghoreschi K. Emerging topical and systemic JAK inhibitors in dermatology. Front Immunol. 2019;(10):2847. doi: 10.3389/fimmu.2019.02847
- Shaposhnikov AV, Komarkov IF, Lebedeva LA, Shidlovsky YV. The structure of the JAK/STAT signaling pathway and its relationship with the transcription apparatus. Molecular Biology. 2013;47(3):388. (In Russ). doi: 10.7868/S0026898413030130
- Clark JD, Flanagan ME, Telliez JB. Discovery and development of Janus kinase (JAK) inhibitors for inflammatory diseases. J Med Chem. 2014;57(12):5023–5038. doi: 10.1021/jm401490p
- Damsky W, King BA. JAK inhibitors in dermatology: The promise of a new drug class. J Am Acad Dermatol. 2017;76(4):736–744. doi: 10.1016/j.jaad.2016.12.005
- Casanova JL, Holland SM, Notarangelo LD. Inborn errors of human JAKs and STATs. Immunity. 2012;36(4):515−528. doi: 10.1016/j.immuni.2012.03.016
- Basquiera AL, Soria NW, Ryser R, et al. Clinical significance of V617F mutation of the JAK2 gene in patients with chronic myeloproliferative disorders. Hematology. 2009;14(6):323–330. doi: 10.1179/102453309X12473408860226
- Koo GC, Tan SY, Tang T, et al. Janus kinase 3-activating mutations identified in natural killer/T-cell lymphoma. Cancer Discov. 2012;2(7):591–597. doi: 10.1158/2159-8290.CD-12-0028
- Zhang J, Ding L, Holmfeldt L, et al. The genetic basis of early T-cell precursor acute lymphoblastic leukaemia. Nature. 2012;481(7380):157–163. doi: 10.1038/nature10725
- Tsilifis C, Freeman AF, Gennery AR. STAT3 Hyper-IgE syndrome-an update and unanswered questions. J Clin Immunol. 2021;41(5):864–880. doi: 10.1007/s10875-021-01051-1
- Kim HO. Development of JAK inhibitors for the treatment of immune-mediated diseases: Kinase-targeted inhibitors and pseudokinase-targeted inhibitors. Arch Pharm Res. 2020;43(11): 1173–1186. doi: 10.1007/s12272-020-01282-7
- Rodrigues MA, Torres T. JAK/STAT inhibitors for the treatment of atopic dermatitis. J Dermatolog Treat. 2020;31(1):33–40. doi: 10.1080/09546634.2019.1577549
- Calabrese L, Chiricozzi A, De Simone C, et al. Pharmacodynamics of Janus kinase inhibitors for the treatment of atopic dermatitis. Expert Opin Drug Metab Toxicol. 2022;18(5):347–355. doi: 10.1080/17425255.2022.2099835
- Tokura Y, Hayano S. Subtypes of atopic dermatitis: From phenotype to endotype. Allergol Int. 2022;71(1):14–24. doi: 10.1016/j.alit.2021.07.003
- Wan H, Jia H, Xia T, Zhang D. Comparative efficacy and safety of abrocitinib, baricitinib, and upadacitinib for moderate-to-severe atopic dermatitis: A network meta-analysis. Dermatol Ther. 2022;35(9):e15636. doi: 10.1111/dth.15636
Supplementary files








