A bioequivalence study of Allergostin compared to administration of Kestin in healthy volunteers
- Authors: Vasilyuk V.B.1,2, Faraponova M.V.1, Verveda A.B.1,3, Fomichev A.V.1, Syraeva G.I.1,4, Kovalenko A.L.5
-
Affiliations:
- The Limited Liability Company “Research Center Eco-safety”
- North-Western State Medical University named after I.I. Mechnikov
- Research Institute of Industrial and Maritime Medicine of Federal Medical Biological Agency
- Academician I.P. Pavlov First St. Petersburg State Medical University
- Golikov Research Clinical Center of Toxicology
- Issue: Vol 20, No 2 (2023)
- Pages: 143-151
- Section: Original studies
- Submitted: 09.03.2023
- Accepted: 03.04.2023
- Published: 09.07.2023
- URL: https://rusalljournal.ru/raj/article/view/7525
- DOI: https://doi.org/10.36691/RJA7525
- ID: 7525
Cite item
Full Text
Abstract
BACKGROUND: Ebastine is widely used in medical practice for treating urticaria and allergic rhinitis. This compound is an antiallergic drug that belongs to the second generation of H1 histamine receptor blockers. The effectiveness of ebastine can be observed when it is orally administered. As a part of the registration of the trade name Allergostin, a clinical study of its bioequivalence with Kestin was conducted involving 26 healthy volunteers.
AIM: To summarize the results of the clinical study of the comparative pharmacokinetics and bioequivalence, safety, and the tolerability of Allergostin (film-coated tablets, 20 mg; NTFF POLYSAN LLC, Russia) and Kestin (film-coated tablets, 20 mg; Almirall S.A., Spain) among healthy volunteers after a single oral dose on an empty stomach.
MATERIALS AND METHODS: To confirm bioequivalence, we conducted an open, randomized, two-period crossover study of comparative pharmacokinetics and bioequivalence of drugs with a single oral administration on an empty stomach in healthy male and female volunteers aged ≥18. During the study, blood plasma samples were collected from volunteers. Each sample was tested using a validated high-performance liquid chromatography with tandem mass spectrometry method, and the concentrations of ebastine and the active metabolite carabastin were determined. Based on the obtained data, pharmacokinetic and statistical analyses were carried out, and 90% confidence intervals were calculated for the ratio of the geometric mean values of the pharmacokinetic parameters Cmax and AUC0-72 for carabastin.
RESULTS: Based on the results of statistical analysis, the pharmacokinetic parameters of the test (Allergostin) and reference (Kestin) drugs were characterized by high similarity. For the estimated pharmacokinetic parameters of carabastin, the 90% confidence intervals ranged from 80% to 125% for AUC0-t and Cmax.
CONCLUSION: Therefore, in accordance with the applied criteria, the drugs are recognized as bioequivalent.
Keywords
Full Text
ОБОСНОВАНИЕ
По данным открытых литературных источников, хронической крапивницей страдает до 1,8% взрослого и 0,1–3% детского населения, при этом по всему миру острая крапивница поражает от 8 до 20% населения. Длительность заболевания у взрослых составляет до 12 недель у 52,8%, до 6 месяцев у 18,5%, до 12 месяцев у 9,4%, до 5 лет у 8,7% и более 5 лет у 11,3% пациентов [1, 2].
Ведущую роль в патогенезе крапивницы и аллергического ринита, а также некоторых разновидностей кожного зуда играет гистамин. Соответственно, при этих нозологических формах антигистаминные средства являются основной линией терапии. Механизм их действия связан с блокадой Н1-гистаминовых рецепторов и препятствием высвобождению гистамина из тучных клеток и базофилов [3].
Эбастин (действующее вещество препаратов Кестин и Аллергостин) представляет собой противоаллергическое лекарственное средство, которое относится ко второму поколению лекарственных препаратов фармакотерапевтической группы блокаторов H1-гистаминовых рецепторов1.
Установлено, что эбастин помимо блокирования H1-рецепторов снижает уровень катионного белка эозинофилов в сыворотке крови и показатели эозинофилии периферической крови, уменьшает высвобождение гранулоцитарно-макрофагального колониестимулирующего фактора; ингибирует in vitro анти-IgE-индуцированное (иммуноглобулины класса Е, IgE) высвобождение простагландинов и лейкотриенов клетками назальных полипов.
Антигистаминное действие и фармакокинетика эбастина изучены в ряде клинических исследований [4, 5]. Эбастин представляет собой пролекарство, которое быстро метаболизируется в печени с образованием активного метаболита карэбастина [6, 7].
Компания ООО «НТФФ «Полисан»» (Россия) разработала лекарственную форму эбастина в виде таблеток, покрытых плёночной оболочкой.
В данной статье представлены результаты исследования биоэквивалентности препарата с торговым наименованием Аллергостин в сравнении с препаратом под торговым наименованием Кестин.
Цель исследования ― сравнительная оценка фармакокинетики и подтверждения биоэквивалентности препаратов Аллергостин, таблетки, покрытые плёночной оболочкой, 20 мг (ООО «НТФФ “Полисан”», Россия), и Кестин, таблетки, покрытые плёночной оболочкой, 20 мг (Алмирал С.А., Испания), у здоровых субъектов при однократном применении препарата натощак. В качестве дополнительной цели проведена оценка фармакокинетических параметров и относительной биодоступности активного метаболита карэбастина и исходного соединения эбастина после однократного приёма исследуемых препаратов внутрь натощак в дозировке 20 мг.
МАТЕРИАЛЫ И МЕТОДЫ
Дизайн исследования
Дизайн исследования был разработан с учётом российских рекомендаций по проведению исследований биоэквивалентности2 и международных руководств3.
Данное исследование биоэквивалентности являлось открытым сравнительным рандомизированным одноцентровым перекрёстным повторным клиническим с двумя периодами по оценке биоэквивалентности препаратов Аллергостин (эбастин, таблетки, покрытые плёночной оболочкой, 20 мг) и Кестин (эбастин, таблетки, покрытые плёночной оболочкой, 20 мг) при однократном приёме внутрь натощак у взрослых здоровых добровольцев мужского и женского пола.
Клинический этап исследования биоэквивалентности был проведён на базе центра ООО «НИЦ Эко-безопасность» в период с 23 апреля по 24 июня 2021 года. Всего было скринировано 33 человека, из них в соответствии с критериями включения были отобраны 26 здоровых добровольцев (по 13 в каждой группе) мужского и женского пола в возрасте от 19 до 37 лет (включительно). Все субъекты завершили участие в исследовании согласно протоколу, за исключением одного добровольца, который досрочно завершил участие в исследовании по причине отзыва информированного согласия после первого периода. Таким образом, в первом периоде препарат приняли 26 человек, во втором ― 25.
Исследуемую популяцию составили добровольцы мужского и женского пола, средний возраст которых составил в среднем 25,0 лет. Средние значения антропометрических данных: рост 172,0 см, масса тела 66,3 кг, индекс массы тела 22,4 кг/м2. По исходным демографическим и антропометрическим характеристикам статистически значимых различий между группами добровольцев не обнаружено.
Все добровольцы были разделены на 2 исследуемые группы: группа 1 (Г1) и группа 2 (Г2). Добровольцы получали исследуемые препараты согласно следующей последовательности: TR или RT (Т ― тестовый препарат Аллергостин, R ― референтный препарат Кестин). Добровольцы из Г1 на I этапе получали тестовый препарат (Т), из Г2 ― препарат сравнения (R). На II этапе, соответственно, наоборот.
На каждом из этапов добровольцы были госпитализированы одной когортой; все процедуры исследования (приём препарата, отбор крови, приём жидкости и пищи и пр.) выполнялись в соответствии со стандартными операционными процедурами клинического центра.
Отбор проб и пробоподготовка
Временные точки отбора биообразцов для оценки концентрации карэбастина и эбастина в плазме крови были выбраны таким образом, чтобы получить наиболее полные данные для каждого фрагмента фармакокинетической кривой. С этой целью был предусмотрен частый отбор образцов вблизи Tmax, а также не менее 3–4 точек в течение терминальной фазы. Таким образом, отбор биообразцов производился в следующих точках: перед приёмом тестового/референтного препарата и далее через 30 мин; 1 ч; 1 ч 20 мин; 1 ч 40 мин; 2 ч; 2 ч 20 мин; 2 ч 40 мин; 3 ч; 3 ч 20 мин; 3 ч 40 мин; 4 ч; 4 ч 20 мин; 4 ч 40 мин; 5 ч; 5 ч 30 мин; 6 ч; 7 ч; 8 ч; 10 ч; 12 ч; 18 ч; 24 ч; 48 ч; 72 ч после приёма препаратов.
Образцы крови объёмом 6 мл отбирались с помощью периферического катетера, установленного в кубитальную вену в течение 12 ч после приёма препарата. Далее отбор образцов крови осуществлялся посредством венепункции (с использованием вакуумных пробирок с К2 ЭДТА). Не позднее чем через 30 мин после отбора крови образцы центрифугировали при 3000 оборотах/мин с холодовым режимом +4±2°С в течение 10 мин для отделения плазмы. Каждый образец плазмы разделялся на две аликвоты путём переноса в пластиковые криопробирки и замораживался при температуре -70±10°C или ниже. Последующее хранение образцов также осуществлялось при температуре ≤-70°C.
Анализ концентрации действующих веществ в образцах
Биоэквивалентность оценивалась на основании полученных концентраций карэбастина и эбастина в плазме крови добровольцев с использованием валидированной методики высокоэффективной жидкостной хроматографии с тандемным масс-спектрометрическим детектированием в соответствии с действующими руководствами4. В качестве внутреннего стандарта эбастина и карэбастина использовали, соответственно, эбастин-d5 и карэбастин-d5. Анализ полученных образцов проводили на высокоэффективном жидкостном хроматографе Infinity 1260 (Agilent) с масс-спектрометрическим детектором G6470B (Agilent) с тройным квадруполем и ионизацией электроспреем.
Нижний предел количественного определения эбастина в плазме крови составил 0,1 нг/мл (линейный диапазон 0,1–15 нг/мл), для карэбастина ― 1 нг/мл (линейный диапазон 1–300 нг/мл). После ревалидации калибровочного диапазона нижний предел количественного определения эбастина составил 0,005 нг/мл. Ревалидация была выполнена с целью подтверждения отсутствия эффекта переноса в нулевых точках фармакокинетической кривой эбастина, поскольку ожидаемые значения максимальной концентрации (Сmax) эбастина не подтвердились. В исследовании значения максимальной концентрации (Сmax) эбастина варьировали от 0,110 до 6,18 нг/мл.
Этические принципы
Проведение исследования одобрено Министерством здравоохранения РФ (РКИ № 205 от 14.04.2020), а также Советом по этике при нём и локальным этическим комитетом исследовательского центра. Исследование проведено в полном соответствии с требованиями надлежащей клинической практики Международного совета по гармонизации (ICH GCP) E6 (R2), правилами надлежащей клинической практики Евразийского экономического союза, Хельсинкской декларацией Всемирной медицинской ассоциации (Форталеза, 2013). Все добровольцы подписали форму информированного согласия до начала процедур исследования.
Статистический анализ
Статистический анализ проведён при помощи программного пакета для статистического анализа Statistica 10.0, R 4.1.1 (Package «bear» 2.9.0) и Microsoft Office Excel 2013. Анализ фармакокинетических параметров и установление биоэквивалентности проводили в популяции всех добровольцев, у которых было пропущено не более 2 отборов образцов крови в каждом из периодов и не более 2 отборов подряд. Анализ показателей безопасности проводили в популяции всех участников, получивших хотя бы одну дозу тестового или референтного препарата.
На основании полученных значений концентраций карэбастина и эбастина в плазме крови добровольцев в предусмотренные настоящим протоколом временные интервалы были рассчитаны основные фармакокинетические показатели: Сmax (максимальная концентрация лекарственного вещества в крови добровольцев); Tmax (время достижения Сmax); AUC0-72 (суммарная площадь под кривой «концентрация-время» в интервале времени от 0 до 72 ч); T1/2 (период полувыведения); AUC0–∞ (площадь под кривой «концентрация-время» в интервале времени от 0 до бесконечности); kel (константа скорости терминальной элиминации); Cmax/AUC0-t (уровень скорости всасывания); MRT (время удержания препарата в крови).
В тексте нормально распределённые данные представлены в виде M (SD), асимметрично распределённые ― Me (Min; Max). Сравнительный анализ фармакокинетических параметров, не подчиняющихся закону нормального распределения, проводили с помощью непараметрического теста Вилкоксона для парных выборок (Wilcoxon test; нетрансформированные данные, двусторонний тест); нормально распределённых параметров ― с помощью параметрического t-критерия Стьюдента для парных выборок (t-test for dependent samples; нетрансформированные данные, двусторонний тест).
Установление биоэквивалентности сравниваемых препаратов производилось путём сопоставления границ доверительных интервалов (ДИ) для отношения геометрических средних показателей AUC (0–72) и Сmax после приёма исследуемого и референтного препаратов с установленными границами эквивалентности, равными 80,00–125,00%. Для оценки биоэквивалентности использовался дисперсионный анализ (ANOVA) логарифмически преобразованных показателей карэбастина и эбастина, необходимых для оценки биоэквивалентности (AUC и Сmax).
РЕЗУЛЬТАТЫ И ОБСУЖДЕНИЕ
Безопасность
На протяжении всего исследования как тестовый, так и референтный препараты хорошо переносились добровольцами. Показатели гематологического и биохимического анализа крови, а также анализа мочи и физиологических показателей у большинства добровольцев оставались в пределах референсных интервалов в течение всего исследования.
В ходе исследования было зарегистрировано всего 8 нежелательных явлений, связанных с изменением соматического статуса и лабораторных показателей добровольцев. По степени тяжести все 8 случаев (100%) из 8 отнесены к лёгкой степени тяжести по общим терминологическим критериям нежелательных явлений (Common Terminology Criteria for Adverse Events/CTCAE 5.0). Перечень нежелательных явлений представлен в табл. 1. По заключению исследователей, степень связи с исследуемыми препаратами установлена как «возможная». При сравнении частоты регистрации отдельных нежелательных явлений не выявлено достоверных различий (р >0,05) после приёма тестового и референтного препаратов, на основании чего можно сделать вывод об их схожей переносимости.
Таблица 1. Сравнительные характеристики нежелательных явлений в исследуемых группах / Table 1. Comparative characteristics of the frequencies of adverse events in the study groups
Нежелательные явления | Тестовый препарат n=25 | Референтный препарат n=26 | р* | ||||||
Абс., ед. | Отн., % | НГ ДИ, % | ВГ ДИ, % | Абс., ед. | Отн., % | НГ ДИ, % | ВГ ДИ, % | ||
Связанные с соматическими отклонениями | 3 | 12,0 | 2,5 | 31,2 | 5 | 19,2 | 6,6 | 39,4 | 0,703 |
Связанные с отклонениями по данным лабораторных и инструментальных исследований | 1 | 4,0 | 0,1 | 20,4 | 3 | 11,5 | 2,4 | 30,2 | 0,610 |
Связанные с нарушениями со стороны нервной системы | 2 | 8,0 | 1,0 | 26,0 | 2 | 7,7 | 0,9 | 25,1 | 1,000 |
Примечание. * p-значение при сравнении долей в группах исследуемого и референтного препаратов с применением точного теста Фишера (Fisher’s exact test). НГ/ВГ ДИ ― нижняя/верхняя граница доверительного интервала.
Note: * p-value when comparing proportions in study and reference groups using Fisher’s exact test. НГ/ВГ ДИ — upper / lower fiducial limit of the confidence interval.
Фармакокинетические параметры и оценка биоэквивалентности
Фармакокинетические параметры активного метаболита карэбастина в плазме крови добровольцев
Для демонстрации биоэквивалентности использовался основной активный метаболит эбастина ― карэбастин. В контексте руководства по исследованию биоэквивалентности5 эбастин рассматривается как исходное соединение (неактивное пролекарство), поскольку не имеет (или имеет очень низкий) вклад в клиническую эффективность [8–13]. Эбастин быстро всасывается и почти полностью метаболизируется в печени до активного метаболита ― карэбастина. Значения концентрации карэбастина в плазме (Cmax) в 50 раз выше, чем у эбастина. Таким образом, демонстрация биоэквивалентности исходного соединения затруднительна с точки зрения аналитики и возможна только при включении очень большого числа субъектов, поскольку эбастин имеет очень низкие концентрации в плазме крови, быстро и интенсивно метаболизируется, что приводит к сильно варьирующим концентрациям исходного соединения в плазме и, соответственно, более высокой вариабельности фармакокинетики.
Таким образом, эбастин соответствует критериям, при которых воздействие исходного соединения является низким и вариабельным, а воздействие активного метаболита намного выше, поэтому приемлемо устанавливать биоэквивалентность для основного активного метаболита карэбастина6. Соответственно, основой для оценки биоэквивалентности являлись концентрации активного метаболита карэбастина в плазме крови добровольцев. По результатам анализа концентрации карэбастина в плазме крови добровольцев были рассчитаны значения основных параметров фармакокинетики тестового и референтного препаратов (табл. 2). Как следует из результатов, значения фармакокинетических параметров после приёма тестового и референтного препаратов сопоставимы и достоверно не различаются. При этом параметры биологической доступности активного метаболита карэбастина после приёма препаратов Аллергостин (ИП) и Кестин (ПС) составили: f’ в среднем 1,03 (0,33) и f’’ в среднем 1,10 (0,24) относительных единиц.
Таблица 2. Значения фармакокинетических параметров после приёма тестового и референтного препаратов / Table 2. The values of pharmacokinetic parameters after test and reference drugs oral administration
Показатели | Тестовый препарат n=25 | Референтный препарат n=26 |
Cmax, нг/мл | 145,2 (50,6) | 149,1 (139,2) |
Тmax, ч | 5,0 (3,7; 10,0) | 5,5 (3,3; 8,0) |
AUC0-72, нг∙ч/мл | 3363,5 (916,5) | 3547,9 (1133,0) |
Т1/2, ч | 16,8 (3,2) | 16,9 (3,1) |
AUC0-∞, нг∙ч/мл | 3555,8 (937,9) | 3771,5 (1196,4) |
Kel, ч-1 | 0,041 (0,032; 0,076) | 0,040 (0,030; 0,070) |
Cmax/AUC0-t | 0,043 (0,007) | 0,043 (0,008) |
MRT, ч | 24,9 (4,0) | 25,6 (5,5) |
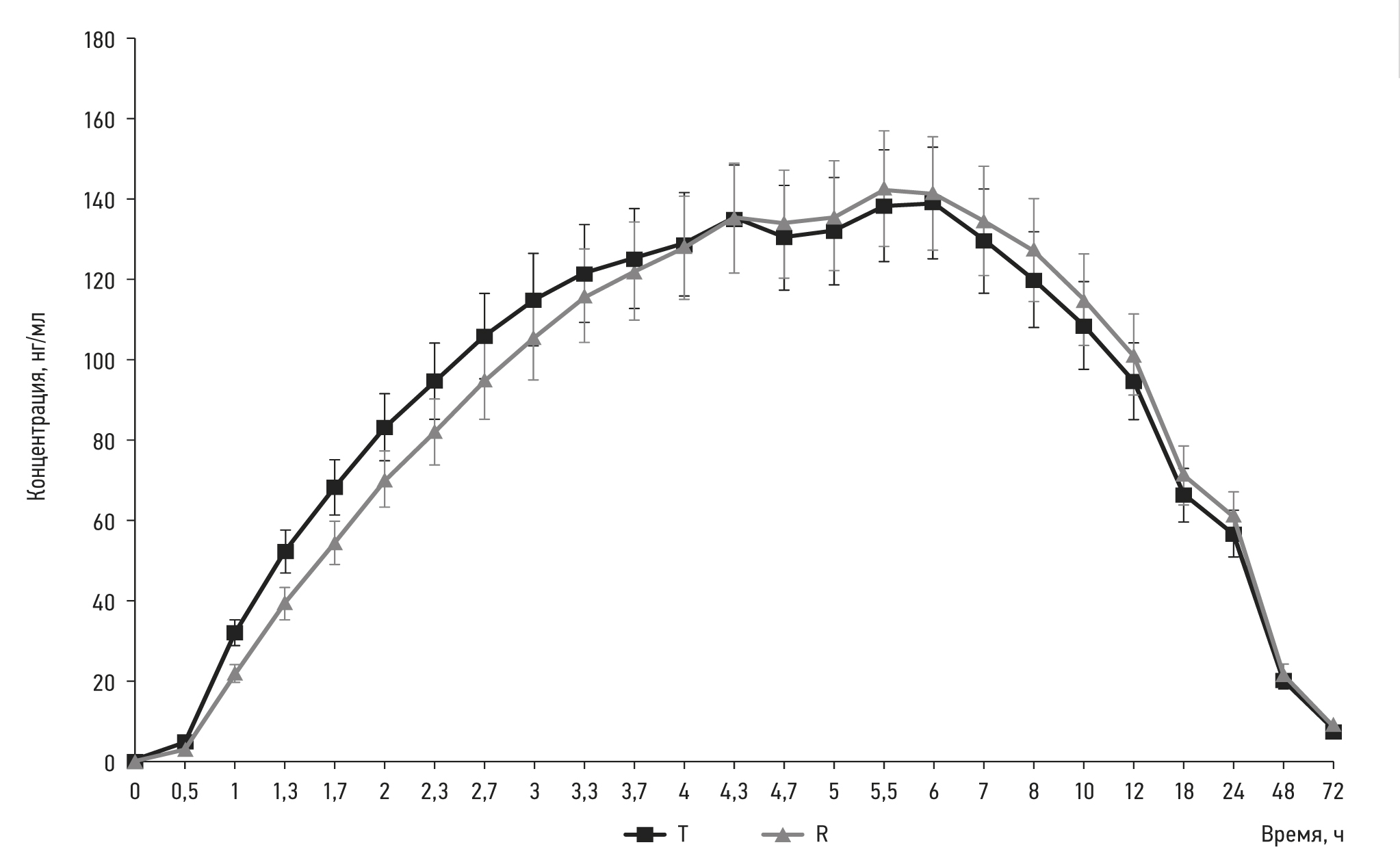
Усреднённые значения изменения концентрации активного метаболита карэбастина в линейных и полулогарифмических шкалах во времени (точки забора препарата) соответственно после однократного приёма изучаемых препаратов представлены на рис. 1 и 2. Как видно из представленных в графическом виде данных, фармакокинетические профили сравниваемых препаратов практически не отличались, особенно при логарифмически преобразованных значениях концентрации.
Рис. 1. Усреднённые графики зависимости концентрации активного метаболита карэбастина в плазме крови от времени (точки забора препарата) у добровольцев после приёма препаратов Аллергостин (T) и Кестин (R) на линейной шкале. / Fig. 1. Average plots of the dependence of the concentration of the active metabolite of carabastin in blood plasma on time (drug sampling points) in volunteers after taking Allergostin (T) and Kestin (R) on a linear scale.
Рис. 2. Усреднённые графики зависимости концентрации активного метаболита карэбастина в плазме крови от времени (точки забора препарата) у добровольцев после приёма препаратов Аллергостин (T) и Кестин (R) на полулогарифмической шкале. / Fig. 2. Average plots of the dependence of the concentration of the active metabolite of carabastin in blood plasma on time (drug sampling points) in volunteers after taking Allergostin (T) and Kestin (R) on a semi-logarithmic scale.
Оценка биоэквивалентности
Биоэквивалентность исследуемых препаратов оценивалась на основании фармакокинетических данных активного метаболита карэбастина с использованием ANOVA. Препараты признавались биоэквивалентными в том случае, если границы полученного ДИ для AUC0-t и Cmax находились в пределах от 80,00 до 125,00%.
Рассчитанные значения 90% ДИ для отношения средних геометрических значений AUC0-t и Cmax показали, что ДИ для AUC0-t активного метаболита карэбастина составил 88,32–107,73% (отношение средних 97,55%). Для Сmax активного метаболита карэбастина ДИ составил 85,84–113,37% (отношение средних 98,65%). Полученные ДИ для AUC0-t и Сmax не выходили за пределы, установленные протоколом исследования (80–125%), что свидетельствовало о биоэквивалентности воспроизведённого препарата Аллергостин, таблетки, покрытые плёночной оболочкой, 20 мг (ООО «НТФФ “Полисан”», Россия), и референтного препарата Кестин, таблетки, покрытые плёночной оболочкой, 20 мг (Алмирал С.А., Испания).
Результаты проведённого исследования позволили зарегистрировать препарат Аллергостин, таблетки, покрытые плёночной оболочкой, 20 мг (ООО «НТФФ “Полисан”», Россия), под номером ЛП-№(001179)-(РГ-RU).
ЗАКЛЮЧЕНИЕ
Проведено регистрационное клиническое исследование биоэквивалентности воспроизведённого препарата Аллергостин в сравнении с препаратом Кестин с участием взрослых здоровых субъектов исследования.
Показана высокая степень сходства индивидуальных и усреднённых фармакокинетических профилей исследуемых препаратов по активному метаболиту карэбастину. Воспроизведённый и референтный препараты характеризуются сходными значениями показателей относительной биодоступности и максимальной концентрации карэбастина. Доверительный интервал для отношений средних геометрических значений фармакокинетических параметров карэбастина полностью соответствует заданному диапазону. Показаны также благоприятный профиль безопасности и удовлетворительная переносимость препарата Аллергостин, сопоставимые с профилем препарата Кестин.
Таким образом, полученные в ходе данного исследования результаты позволили сделать заключение о биоэквивалентности воспроизведённого препарата Аллергостин, таблетки, покрытые плёночной оболочкой, 20 мг (ООО «НТФФ “Полисан”», Россия), относительно референтного препарата Кестин, таблетки, покрытые плёночной оболочкой, 20 мг (Алмирал С.А., Испания).
ДОПОЛНИТЕЛЬНАЯ ИНФОРМАЦИЯ
Источник финансирования. Авторы заявляют об отсутствии внешнего финансирования при проведении исследования.
Конфликт интересов. Авторы декларируют отсутствие явных и потенциальных конфликтов интересов, связанных с публикацией настоящей статьи.
Вклад авторов. Все авторы подтверждают соответствие своего авторства международным критериям ICMJE (все авторы внесли существенный вклад в разработку концепции, проведение исследования и подготовку статьи, прочли и одобрили финальную версию перед публикацией). Наибольший вклад распределён следующим образом: В.Б. Василюк ― концепция исследования, написание текста; М.В. Фарапонова ― дизайн исследования, сбор и обработка материалов, написание текста; А.Б. Верведа ― сбор и обработка материалов, написание текста; А.В. Фомичев, Г.И. Сыраева ― анализ полученных данных, написание текста; А.Л. Коваленко ― концепция исследования.
ADDITIONAL INFORMATION
Funding source. This study was not supported by any external sources of funding.
Competing interests. The authors declare that they have no competing interests.
Authors’ contribution. All authors made a substantial contribution to the conception of the work, acquisition, analysis, interpretation of data for the work, drafting and revising the work, final approval of the version to be published and agree to be accountable for all aspects of the work. V.B. Vasilyuk ― the concept of the study, writing the text; M.V. Faraponova ― study design, collection and processing of materials, writing the text; A.B. Verveda ― collection and processing of materials, writing the text; A.V. Fomichev, G.I. Syraeva ― analysis of the received data, writing the text; A.L. Kovalenko ― the concept of research.
1 Государственный реестр лекарственный средств [интернет]. Регистрационное удостоверение ЛС-001046 от 28.06.2010, Кестин® (эбастин), таблетки покрытые пленочной оболочкой, 20 мг, Алмирал С.А., Испания (https://grls.rosminzdrav.ru/Grls_View_v2.aspx?routingGuid=eaaa911d-fb7e-492e-b46c-3626bb2d89e2); регистрационное удостоверение ЛП-№(001179)-(РГ-RU) от 05.09.2022, Аллергостин® (эбастин), таблетки покрытые пленочной оболочкой, 10 мг и 20 мг, ООО «НТФФ “ПОЛИСАН”» (https://grls.rosminzdrav.ru/Grls_View_v2.aspx?routingGuid=8504740b-5a56-42c8-b6d2-2ba12377931e).
2 Приказ Министерства здравоохранения РФ от 01.04.2016 N 200н «Об утверждении правил надлежащей клинической практики» (https://www.garant.ru/products/ipo/prime/doc/71373446/); ГОСТ Р 52379-2005 Национальный стандарт Российской Федерации «Надлежащая клиническая практика» (https://docs.cntd.ru/document/1200041147).
3 Решение № 85 от 03.11.2016 «Об утверждении правил проведения исследований биоэквивалетности лекарственных препаратов в рамках Евразийского экономического союза» (https://docs.cntd.ru/ document/456026107); CPMP/EWP/QWP/1401/98 Rev.1. European Medicines Agency; 2010 (https://www.ema.europa.eu/en/documents/scientific-guideline/guideline-investigation-bioequivalence-rev1_en.pdf).
4 Решение № 85 от 03.11.2016 «Об утверждении правил проведения исследований биоэквивалетности лекарственных препаратов в рамках Евразийского экономического союза». Режим доступа: https://docs.cntd.ru/document/456026107.
5 CPMP/EWP/QWP/1401/98 Rev.1. European Medicines Agency; 2010. Режим доступа: (https://www.ema.europa.eu/en/documents/scientific-guideline/guideline-investigation-bioequivalence-rev1_en.pdf).
6 CPMP/EWP/QWP/1401/98 Rev.1. European Medicines Agency; 2010 (https://www.ema.europa.eu/en/documents/scientific-guideline/guideline-investigation-bioequivalence-rev1_en.pdf); Questions & Answers: Positions on specific questions addressed to the pharmacokinetics working party EMA/618604/2008 Rev. 13 Page 2/48 (https://pdf4pro.com/view/questions-amp-answers-positions-on-specific-questions-2e3840.html).
About the authors
Vasiliy B. Vasilyuk
The Limited Liability Company “Research Center Eco-safety”; North-Western State Medical University named after I.I. Mechnikov
Email: vasilyuk_vb@ecosafety.ru
ORCID iD: 0000-0003-2503-4402
SPIN-code: 1459-5548
MD, Dr. Sci. (Med.), Professor
Россия, Saint Petersburg; Saint PetersburgMariia V. Faraponova
The Limited Liability Company “Research Center Eco-safety”
Author for correspondence.
Email: faraponova_mv@ecosafety.ru
ORCID iD: 0000-0003-4212-5453
SPIN-code: 9006-2074
Россия, 65 Yuri Gagarin avenue, 196143 Saint Petersburg
Aleksey B. Verveda
The Limited Liability Company “Research Center Eco-safety”; Research Institute of Industrial and Maritime Medicine of Federal Medical Biological Agency
Email: verveda_ab@ecosafety.ru
ORCID iD: 0000-0003-4029-3170
SPIN-code: 5448-0433
MD, Cand. Sci. (Med.)
Россия, Saint Petersburg; Saint PetersburgAleksey V. Fomichev
The Limited Liability Company “Research Center Eco-safety”
Email: fomichev_av@ecosafety.ru
ORCID iD: 0000-0002-9640-7168
SPIN-code: 8550-5610
MD, Cand. Sci. (Med.)
Россия, Saint PetersburgGulnara I. Syraeva
The Limited Liability Company “Research Center Eco-safety”; Academician I.P. Pavlov First St. Petersburg State Medical University
Email: syraeva_gi@ecosafety.ru
ORCID iD: 0000-0001-6635-9786
SPIN-code: 9650-5671
Россия, Saint Petersburg; Saint Petersburg
Aleksey L. Kovalenko
Golikov Research Clinical Center of Toxicology
Email: alleokov@mail.ru
ORCID iD: 0000-0003-3695-2671
SPIN-code: 7216-8364
Dr. Sci. (Biol.), Cand. Sci. (Chem.)
Россия, Saint PetersburgReferences
- Danilycheva IV, Ilyina NI, Luss LV, et al.; Russian Association of Allergologists and Clinical Immunologists. Urticaria. Federal clinical guidelines. Moscow; 2018. 17 p. (In Russ).
- Greenberger PA. Chronic urticaria: new management options. World Allergy Organ J. 2014;7(1):31. doi: 10.1186/1939-4551-7-31
- Kozel MM, Sabroe RA. Chronic urticaria: Aetiology, management and current and future treatment options. Drugs. 2004;64(22): 2515–2536. doi: 10.2165/00003495-200464220-00003
- Gispert J, Antonijoan R, Barbanoj M, et al. Efficacy of ebastine, cetirizine, and loratadine in histamine cutaneous challenges. Ann Allergy Asthma Immunol. 2002;89(3):259–264. doi: 10.1016/S1081-1206(10)61952-7
- Vincent J, Liminana R, Meredith PA, et al. The pharmacokinetics, antihistamine and concentration-effect relationship of ebastine in healthy subjects. British J Clin Pharmacol. 1988;26(5):497–502. doi: 10.1111/j.1365-2125.1988.tb05288.x
- Saito J, Yakuwa N, Sandaiji N, et al. Ebastine during pregnancy and lactation in a patient with chronic urticaria: Ebastine and carebastine levels in maternal serum, cord blood, breast milk and the infant’s serum. J Eur Academy Dermatol Venereol. 2020;34(9): e496–e497. doi: 10.1111/jdv.16415
- Kang W, Liu KH, Ryu JY, et al. Simultaneous determination of ebastine and its three metabolites in plasma using liquid chromatography-tandem mass spectrometry. J Chromatogr B Analyt Technol Biomed Life Sci. 2004;813(1-2):75–80. doi: 10.1016/j.jchromb.2004.09.017
- Yamaguchi T, Hashizume T, Matsuda M, et al. Pharmacokinetics of the H1-receptor antagonist ebastine and its active metabolite carebastine in healthy subjects. Arzneimittelforschung. 1994; 44(1):59–64.
- Martinez-Tobed A, Tarrús E, Segura J, Roberts DJ. Pharmacokinetic studies of ebastine in rats, dogs and man. Drugs Today. 1992;28(Suppl B):57–67.
- Wiseman LR, Faulds D. Ebastine: A review of its pharmacological properties and clinical efficacy in the treatment of allergic disorders. Drugs. 1996;51(2):260–277. doi: 10.2165/00003495-199651020-00006
- Presa IJ. Antihistamínicos H1: Revisión. Alergol Immunol Clin. 1999;14(5):300–312.
- Rico S, Antonijoan RM, Barbanoj MJ. Ebastine in the light of CONGA recommendations for the development of third-generation antihistamines. J Asthma Allergy. 2009;(2):73-92. doi: 10.2147/jaa.s3108
- Wood-Baker R, Holgate ST. Dose-response relationship of the H1-histamine antagonist, ebastine, against histamine and metacholine-induced bronchoconstriction in patients with asthma. Agents Actions. 1990;30(1-2):284–286. doi: 10.1007/BF01969062
Supplementary files




